Sahil Patel Week 11

From OpenWetWare
Jump to navigationJump to search

Electronic Lab Notebook

Purpose

  • The purpose of this assignment was to prepare a chemostat simulation in MATLAB and compare the computations to a steady state outcome.

Methods

  • The parameter values used were:
    • q = 0.10 (1/hr)
    • u = 5 (g/L)
    • E=1.5
    • r=0.8 (1/hr)
    • K = 8 (g)
  • The formulas y = qK/(r-q) and x = (u-y)/E were taken from the document provided and were used to solve for cell biomass and nutrient mass at equilibrium
  • The MATLAB files chemostat_script.m and chemostat_dynamics.m that were provided were used to simulate the system dynamics
    • Files were analyzed and compared to original results

Results

  • What are the steady states of cell biomass and nutrient mass?
    • cell biomass: 2.57g
    • nutrient mass: 1.14g
  • Assuming a 2 liter chemostat, what are the steady state concentrations of cells and nutrient?
    • cell concentration: 1.29 g/L
    • nutrient concentration: 0.57 g/L
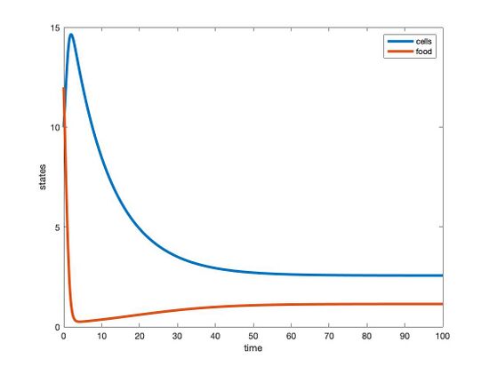
  • Simulation of system dynamics using MATLAB

  • The graph reached a steady state equilibrium at around the 50 hr mark.
  • The steady states were around the same as the calculated results.

Conclusion

MATLAB was used to create a graph simulating the system dynamics of a chemostat which analyzed the cell biomass and nutrient mass. The steady state was reached at around 50 hours into the experiment nearly matching our calculations. These results show that a chemostat can be used to create a useful environment for a culture which includes a balanced inflow and outflow.

Acknowledgments

  • My homework partner, Desiree, and I communicated via text about our assignment.
  • Except for what is noted above, this individual journal entry was completed by me and not copied from another source.

References

  • Dahlquist, K. & Fitpatrick, B. (2019). "BIOL388/S19: Week 11" Biomathematical Modeling, Loyola Marymount University. Accessed from:Week 11 Assignment Page

Other Assignments

BIOL368 Assignments

Week 1: Instructions, Class Journal and User Page

Week 2: Instructions, Class Journal and Individual Assignment

Week 3: Instructions, Class Journal and Individual Assignment

Week 4: Instructions, Class Journal and Individual Assignment

Week 5: Instructions, Class Journal and Individual Assignment

Week 6: Instructions, Class Journal and Individual Assignment

Week 8: Instructions, Class Journal and Individual Assignment

Week 9: Instructions, Class Journal and Individual Assignment

Week 10: Instructions, Class Journal and Individual Assignment

Week 11: Instructions, Class Journal and Individual Assignment

Week 13: Instructions, Class Journal and Individual Assignment

Week 14: Instructions, Class Journal and Individual Assignment

BIOL388 Assignments

Week 1: Instructions, Class Journal and User Page

Week 2: Instructions, Class Journal and Individual Assignment

Week 3: Instructions, Class Journal and Individual Assignment

Week 4/5: Instructions, Class Journal and Individual Assignment

Week 6: Instructions, Class Journal and Individual Assignment

Week 7: Instructions, Class Journal and Individual Assignment

Week 9: Instructions, Class Journal and Individual Assignment

Week 10: Instructions, Class Journal and Individual Assignment

Week 11: Instructions, Class Journal and Individual Assignment

Week 12: Instructions, Class Journal and Individual Assignment

Week 14/15: Instructions and Individual Assignment

Template for Assignments Sahil Patel

Sahil Patel (talk) 18:28, 10 April 2019 (PDT)