Moneil5 Week 6
Helpful Links
Assignment Pages:
- Week 1 Assignment
- Week 2 Assignment
- Week 3 Assignment
- Week 4 Assignment
- Week 5 Assignment
- Week 6 Assignment
- Week 7 Assignment
- Week 9 Assignment
- Week 10 Assignment
- Week 11 Assignment
- Week 12 Assignment
- Week 14/15 Assignment
Personal Journal Entries:
- Week 1
- Week 2
- Week 3
- Week 4
- Week 5
- Week 6
- Week 7
- Week 7 Re-visited
- Week 9
- Week 10
- Week 11
- Week 12
- Week 14/15
Shared Journal Entries:
Purpose
The purpose of this assignment is to delve deeper in modeling to better understand the processes occurring in the chemostat. This is meant to be done through further investigating and researching the relationship of different state variables and parameters on the population growth rate in yeast (project 1).
Methods/Workflow
- I started this assignment by reading through both top articles for the two categories of study
- After reading both I concluded that I wanted my subject to focus on "Gaining a Better Understanding of the Respiration/Fermentation Switch" because I find the challenge of modeling fermentation and respiration in the same model to be appealing
- In deciding to focus on subject 1, I began taking notes on the various papers which can be found at the following links:
- After reading the papers in depth, concluded that there needs to be a series of equations similar to the equations used in the Week 5 assignment, however some of the parameters must be re-written as state variables
- The assumption is also being made from this point forward that the system being modeled is in a chemostat
Results
Hypothesis
Based on the readings, I feel like the ammonia feed rate when it switches from becoming the limiting agent to being the agent in excess leads to making the glucose a limiting agent, which causes a metabolic shift in the yeast from undergoing fermentation (glucose in excess) to aerobic respiration (glucose is depleted/limiting)
State Variables
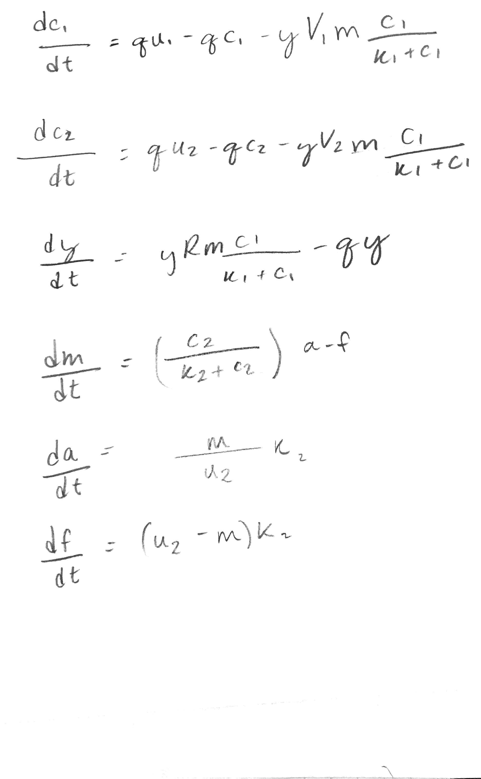
The state variables I am going to be looking at are c1, c2, y, m, a, and f:
- c1 = concentration of ammonia
- c2 = concentration of glucose
- y = concentration of yeast (yeast population)
- m = metabolic rate, aka conversion rate of glucose
- a = amount of aerobic respiration
- f = amount of fermentation
System of Differential Equations
My system of differential equations is based on the Model 2 Week 5 Assignment with some changes made to account for fermentation and aerobic respiration shifts. While possibly not accurate, based on my current understanding, this is my beast guess of how the system might work
Best attempt at the system of differential equations can be found here
Parameters
My paramters for this system of equations are:
- q = dilution rate
- u1 = ammonia concentration
- u2 = glucose concentration
- V1 = volume ammonia added
- V2 = volume glucose added
- K1 = carrying capacity relative to ammonia
- K2 = carrying capacity relative to glucose
Justifying My Model
As said previously, my model is my best attempt at writing out a system of equations. What I found in last week's assignment was that the model was fairly good at modeling the multiplicative nutrient use requirement, the major hang up on the model was that the fermentation vs. respiration aspect was not well modeled. So this week in reading the papers, I found that the conversion rate of glucose into yeast biomass was where the metabolism term could be best fit, so I substituted c2/(K2+c2) for the state variable m. dm/dt was then defined by the conversion rate, times aerobic respiration minus fermentation to show that there was a shift between rates of aerobic respiration and fermentation. Since I found in the papers that aerobic respiration likely increases as glucose concentration decreases, I had (m/u2)K represent the rate of aerobic respiration. Similarly, ina paper I found that when u2 is high, K is also high so I set the fermentation rate to be (u2-m)K
Acknowledgements
- Talked to Dr. Ftizpatrick about the nature of the assignment during the class period on 21 February 2017 in Seaver 120
- Except for what is noted above, this individual journal entry was completed by me and not copied from another source.
Margaret J. Oneil 00:14, 23 February 2017 (EST)
References
Albertin, W., Marullo, P., Aigle, M., Dillmann, C., de Vienne, D., Bely, M., & Sicard, D. (2011). Population Size Drives Industrial Saccharomyces cerevisiae Alcoholic Fermentation and Is under Genetic Control . Applied and Environmental Microbiology, 77(8), 2772–2784. http://doi.org/10.1128/AEM.02547-10
Brauer, M. J., Saldanha, A. J., Dolinski, K., & Botstein, D. (2005). Homeostatic Adjustment and Metabolic Remodeling in Glucose-limited Yeast Cultures. Molecular Biology of the Cell, 16(5), 2503–2517. http://doi.org/10.1091/mbc.E04-11-0968
Dahlquist, Kam D. (2017) BIOL398-05/S17:Week 6. Retrieved from http://www.openwetware.org/wiki/BIOL398-05/S17:Week_6 on 22 February 2017.
Fitzpatrick, Ben G. (2017) Biol 398/Math 388 Week 5 Assignment: Multiple Nutrients in the Chemostat Retrieved from http://www.openwetware.org/images/5/5f/Chemostat_multiple_nutrient_modeling.pdf on 22 February 2017
Van den Brink, J., Canelas, A. B., van Gulik, W. M., Pronk, J. T., Heijnen, J. J., de Winde, J. H., & Daran-Lapujade, P. (2008). Dynamics of Glycolytic Regulation during Adaptation of Saccharomyces cerevisiae to Fermentative Metabolism . Applied and Environmental Microbiology, 74(18), 5710–5723. http://doi.org/10.1128/AEM.01121-08