Karina Alvarez Week 3
From OpenWetWare
				
				
				Jump to navigationJump to search
				
				
Part I
File:Pt1 Script.m
File:Vector Data.xlsx
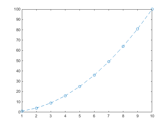
Plot of Vector v vs Vector u
Part II
Function
File:Karina Alvarez LogPlusX.m
Script
File:Karina Alvarez Script 2.m
Numerical Answer
ans=0.5671
Part III
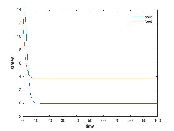
Nutrient Colony Model
Chemostat Model
Chemostat Model with Reduced Dilution Rate
Helpful Links
BIOL398-04/S15:Week 3
BIOL398-04/S15:Class Journal Week 3
Karina Alvarez Main Page: Karina Alvarez
Math 388-01 Course Page: BIOL398-04/S15
- Week 1
- Week 2
- Week 3
- Week 4
- Week 5
- Week 6
- Week 7
- Week 8
- Week 9
- Week 10
- Week 11
- Week 12
- Week 13
- Week 14
- Week 15



