BIOL398-04/S15:Week 7
This journal entry is due on Tuesday, March 3 at midnight PST (Monday night/Tuesday morning). NOTE that the server records the time as Eastern Standard Time (EST). Therefore, midnight will register as 03:00. NOTE: the shared journal assignment is due at midnight on Thursday, February 5 (Wednesday night/Thursday morning), later than the regular deadline for this week.
Individual Journal Assignment
- Store this journal entry as "username Week 7" (i.e., this is the text to place between the square brackets when you link to this page).
- Create the following set of links. (HINT: These links should all be in your personal template that you created for the Week 1 Assignment; you should then simply invoke your template on each new journal entry.)
- Link to your journal entry from your user page.
- Link back from your journal entry to your user page.
- Link to this assignment from your journal entry.
- Don't forget to add the "BIOL398-04/S15" category to the end of your wiki page.
- Your electronic lab notebook detailing the work you did on your mathematical model goes on this page.
Partners
Tuesday
- Lucia & Lauren
- Karina & Natalie
- Will & Jeffrey
Thursday
- Alyssa & Tessa
- Kristen & Kara
Research Project
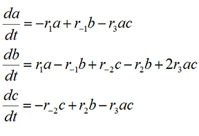
We are focused in this project on Nitrogen metabolism in S. Cerevisiae as discussed in “The Concentration of Ammonia Regulates Nitrogen Metabolism in Saccharomyces cerevisiae,” by terSchure et al. We have successfully modeled two curves in Figure 1 A of the paper, namely biomass and residual ammonia. This modeling is at the level of the chemostat. We have also discussed models of metabolic activity within the cell, examining alpha-ketogluterate, glutamine, and glutamate. In this project we will consider a simplified model of the three reaction metabolic system:
A denotes alpha-ketogluterate, B denotes glutamate, and C denotes glutamine. Please refer to the Journal Club slides provided by Professor Dahlquist. Let’s start with the simplest possible model for these reactions.
Your Week 7 individual journal entry will consist of your electronic laboratory notebook containing your notes on this project and your preparations for the research presentation (see below). Each student will complete his or her own electronic lab notebook on their individual journal page for this week.
Presentation Guidelines
- You and your partner together will prepare a 15-20 minute PowerPoint presentation that will present your mathematical model of nitrogen metabolism in yeast. Please follow these guidelines when creating your presentation. You will need approximately 15 slides (1 slide per minute) for your presentation. You will be graded according to this rubric.
- Upload your slides to the OpenWetware wiki by the Week 7 journal assignment deadline. Each member of your group should have a link to the same PowerPoint file. The students presenting on Thursday still need to upload your slides by the Tuesday midnight deadline. You may make changes to your slides in advance of your presentation, but you will be graded on what you upload by the journal deadline.
- Your presentation should cover the following content:
- Background, purpose, and significance of the model
- Include a figure and description of the central nitrogen metabolism pathway
- A list and explanation of the state variables needed to model the process of interest.
- Your system of differential equations that model the dynamics.
- An explanation of the terms in your equations.
- A list and explanation of all the parameters your model requires for numerical simulation.
- Analysis of the steady-state.
- Simulation of the dynamics with graphical output
- Set all parameters equal to 1 and run it
- Modify only one parameter, e.g., r3, and compare the results to the previous run
- A discussion of your results and how they relate to the Journal of Bacteriology and Microbiology papers by ter Schure et al. (1995).
- The Journal of Bacteriology paper closes with the puzzling sentence "If the ammonia concentration is the regulator, this may imply that S. cerevisiae has an ammonia sensor which could be a two-component sensing system for nitrogen…" What do you make of this sentence? What could these two components be?
- Background, purpose, and significance of the model
Shared Journal Assignment
NOTE: the shared journal assignment is due at midnight on Thursday, March 5 (Wednesday night/Thursday morning), later than the regular deadline for this week.
- Store your shared journal entry in the shared Class Journal Week 7 page. If this page does not exist yet, go ahead and create it (congratulations on getting in first :) )
- Link to your journal entry from your user page.
- Link back from the journal entry to your user page.
- Sign your portion of the journal with the standard wiki signature shortcut (
~~~~). - Add the "BIOL398-04/S15" category to the end of the wiki page (if someone has not already done so).
Read and Reflect
- Now that we have closed out the first section of the course and your first modeling project, read the article Lander, AD (2010) The Edges of Understanding. BMC Biology 8:40.
- What distinction does Lander draw between modeling to "discover new knowledge" and modeling for "understanding"?
- Which point of view resonates with you more? Why?
- Discuss your answers to the above two questions with regard to the research project you just completed.
