Kristen M. Horstmann Week 3 Journal
From OpenWetWare
				
				
				Jump to navigationJump to search
				
				
Part One
Kristen M. Horstmann Matlab Script 
Kristen M. Horstmann Excel File 
Kristen M. Horstmann Graph TIFF
Part Two
Kristen M. Horstmann Matlab Function
 Kristen M. Horstmann Matlab Script
Numerical Answer: .5671
Part Three
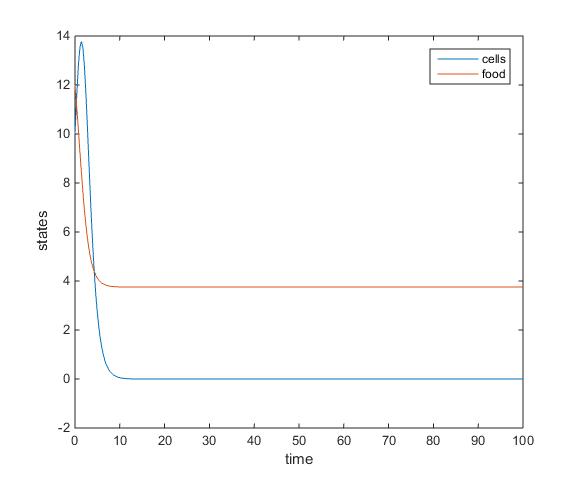
Nutrient Colony Graph
Chemostat Graph
Chemostat Graph with Halved Dilution
Template
Back to User: User: Kristen M. Horstmann 
- Week 1
- Week 2
- Week 3
- Week 4
- Week 5
- Week 6
- Week 7
- Week 8
- Week 9
- Week 10
- Week 11
- Week 12
- Week 13
- Week 14
- Week 15


