Tessa A. Morris Week 3
From OpenWetWare
				
				
				Jump to navigationJump to search
				
				
Part I
Vector u plotted against Vector v
 Figure 1 (above) displays the plot of vector v versus vector u. 
Part II
Part III
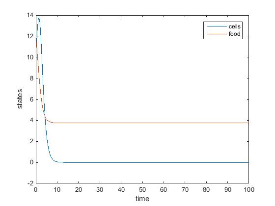
Nutrient/Colony Plot
 
 Figure 2 (above) is the plot of time versus state for the nutrient/colony model. 
Chemostat Plot
 
 Figure 3 (above) is the plot of time versus state for the chemostat model. 
Chemostat Halved Plot
 
 
 Figure 4 (above) shows the plot of time versus state for the chemostat model without being altered and the chemostat with the dilution adjusted. In this plot, run 2 signifies the run where the dilution (q) was reduced from 0.15 to 0.075.
Biomathematical Modeling Navigation
User Page: Tessa A. Morris 
Course Page: Biomathematical Modeling 
- Week 1
- Week 2
- Week 3
- Week 4
- Week 5
- Week 6: No Assignment
- Week 7
- Week 8: No Assignment
- Week 9
- Week 10
- Week 11
- Week 12
- Week 13
- Week 14
- Week 15
