Kara M Dismuke Week 3 Journal
From OpenWetWare
				
				
				Jump to navigationJump to search
				
				
Part I
- MATLAB SCRIPT
- EXCEL WORKBOOK
- TIFF FILE
Part II
- MATLAB FUNCTION
- MATLAB SCRIPT
- NUMERICAL APPROX
- 0.0567
 
PART III
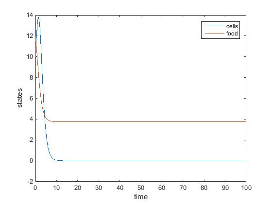
- Plot from Run 1 of Nutrient Colony Model
- Plot from Run 1 of Chemostat Script
- Plot Both Runs (second run- dilution is halved)
 
Template:Kara M Dismuke
Back to User: User: Kara M Dismuke 
- Week 1
- Week 2
- Week 3
- Week 4
- Week 5
- Week 6
- Week 7
- Week 8
- Week 9
- Week 10
- Week 11
- Week 12
- Week 13
- Week 14
- Week 15
- Helpful Pages

