Lucia I. Ramirez Week 3
From OpenWetWare
				
				
				Jump to navigationJump to search
				
				
Click  here to view assignment. 
Return back to user page: Lucia I. Ramirez. 
Part I
- MATLAB script for vectors
- Squarevalues.xls
- Graph's TIFF file
Part II
- Function File
- Script File
- My Numerical Answer: 0.5671
Part III
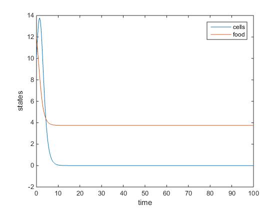
- Plot 1: Nutrient/Colony Model
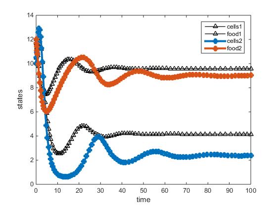
- Plot 2: Chemostat Model
- Run 1 Chemostat original model and Run2 Model with Dilution rate cut in half
Back to User page:  Lucia I. Ramirez
Journals/Assignments
Week 1
Week 2
Week 3
Week 4
Week 5
Week 6
- Assignment
- Week 6 Individual Journal Not Assigned
- Class Journal Entry
Week 7
Week 8
Week 9
Week 10
Week 11
Week 12
Week 13
Week 14
Week 15



