Jmenzago Week 5
From OpenWetWare
				
				
				Jump to navigationJump to search
				
				
Purpose
- The purpose of this activity is to critically analyze data from Markham et al. paper read during Week 3 using different bioinformatical tools.
Methods and Results
Activity 1: Looking at the NCBI Resources and HIV sequence data
Part 1: PubMed
- Search for the article using the PubMed ID
- Other ways to search for the article would be by title or author
 
- Other information available on PubMed regarding the article
- Similar articles
- Articles that cited this article
- Published nucleotide and protein sequences from this article
- Related information in MedGen
- The abstract of the paper
- Figures from the paper
- Links to the full text
 
Part 2: GenBank
- Click on the "nucleotide" section under "Related Information" on the PubMed page for the article.
- To obtain sequence information, select sequence of choice
- Example: HIV-1 isolate S12V3-1
- Accession number: AF089537
- Taken from Subject 12
- Subject source can be found under "Definition" on the GenBank page
- The subject number is in the naming convention used by Markham et al. where "S_" indicates the subject source
 
 
- Subject source can be found under "Definition" on the GenBank page
 
 
- Example: HIV-1 isolate S12V3-1
- Download FASTA format using "FASTA" link at top of page to access sequence data that can be used for analysis in other software
Part 3: Introduction to Phylogeny.fr
- Open http://www.phylogeny.fr/ and select "Phylogeny Analysis," then "One Click"
- Upload FASTA formats of desired sequences chosen in Part 2 for analysis then hit "Submit"
- Can just paste FASTA text into appropriate box
 
- Access aligned sequences under "3. Alignment" tab and export as Clustal format
- Clustal Format for aligned sequences:
 
AF089140.1      GATGTAGTAATTAGATCCGCCAATTTCACGAACAATGCTAAAACCATATTAGTACAGCTG
AF089537.1      GAGGTAGTAATTAGATCCAAGAATTTCACGGATAATGCTAAAATCATAATAGTACAGCTA
AF089234.1      GAGGTAGTAATTAGATCCAAAAATTTCTCGGACAATGCTAAAATCATAATAGTACATCTA
AF089493.1      GAGGTAGTAATTAGATCTGAAAATTTCACGGACAATGCTAAAACCATAATAGTACATCTG
AF089181.1      GAGGTAGTAATTAGATCTGAAAATTTCACGAACAATGCTAAAATTATAATAGTACAGCTG
                ** **************    ****** ** * **********  *** ******* ** 
AF089140.1      AATGAAACTGTAGTAATGAATTGTACAAGACCCGGCAACAATACAAGAAAAAGGGTAACT
AF089537.1      AATGAGACTGTAGAAATTAATTGTACAAGACCCAACAACAATACAAGAAAAAGTATACCT
AF089234.1      AATGAATCTGTAGAAATTAATTGTACAAGACCCGGCAACAATACAAGAAGAAGTATACAT
AF089493.1      AATAAAGCTGTAGAAATTAATTGCACAAGACCCAACAACAATACAAGAAGAAGTATAAAT
AF089181.1      AATGAATCTGTAGAAATTAATTGTACAAGACCCAACAACAATACACTAAGAAGTATACCT
                *** *  ****** *** ***** *********  **********  ** ***  **  *
AF089140.1      CTAGGACCAGGCAGAGTATACTATACAACAGGACAAATAATAGGAGATATGAGAAAAGCA
AF089537.1      ATAGGACCAGGCAGAGCATTTTATACAACAGGAGAAATAATAGGAGATATAAGACAAGCA
AF089234.1      ATAGGACCAGGCAGAGCATTTTATACAACAGGAGACATAATAGGAGATATAAGACAAGCA
AF089493.1      ATGGGACCAGGGAGAGCATTTTATGCAACAGGAGACATAATAGGAGATATAAGGCAAGCA
AF089181.1      ATAGGACCAGGGAGAGCATTTTATACAACAGG---CATAATAGGAGATATAAGGCAAGCA
                 * ******** **** **  *** *******    ************** **  *****
AF089140.1      CATTGTAACCTTAGTTGAGCAGGTTGGAATAACACTTTAGAAAGGATAGCTATAAAATTA
AF089537.1      CATTGTAACCTTAGTAGAGCAAAATGGAATGAAACTTTAAAACAGATAGTTATAAAATTA
AF089234.1      CATTGTAACATTAGTGAAGAAAAATGGAATGAAACTTTAAAAAAGATAGTTATAAAATTA
AF089493.1      CATTGTAACCTTAGTAGAACAAAATGGAATGACACTTTAAAACAGGCTGTTGCCAAATTA
AF089181.1      CATTGTAACATTAGTAGAACAAAATGGAATAACACTTTAAAACTGATAGTTAACAAATTA
                ********* *****  *  *   ****** * ****** **  *   * *   ******
AF089140.1      AGAGAACAATTTCAGAATAAAACAATAGCCTTTAATCAATCCTCA
AF089537.1      AAAGAACAATTTAGAAATAAAACAATAGTCCTTAGTCCATCCTCA
AF089234.1      AGAGAACAATTTGGGAATAAAACAATAGTATTTAATCCATCCTCA
AF089493.1      AGAGAACAATTTAGGAACAAAACAATAATCTTTACTCAATCCTCA
AF089181.1      AGAGAACAATTTGGGAATAAAACAATAATCTTTAATCAATCCTCA
                * **********   ** *********    *** ** *******
- Go to "6. Tree Rendering" to access generated phylogenetic tree
- Export tree taking a screenshot and cropping image in Word
- Take screenshot by hitting "PrtScr" on keyboard
- Could also export by using snipping tool on PC (this will eliminate the need to crop on Word)
 
- Phylogenetic tree for sequences above:
- Differences in clustal sequence alignment correlate with the topology of the phylogenetic tree
- Generally, when an invariant appears in the sequence, AF089181.1 and AF089493.1 have the same nucleotide change, and a similar pattern can be seen with AF089234.1 and AF089537.1
- This explains why these sequences were paired with each other on the tree
- However, not every invariant sees this pattern
- Genreally, AF089181.1 and AF089493.1 deviate more from this than AF089234.1 and AF089537.1, but these differences are outnumbered by the amount of nucleotides that show the pattern of paired invariance
 
 
Activity 2: Looking at the sources of HIV across subjects
Part 1: Looking at clustering across subjects
- Choose three sequences each from four subjects from the following links for analysis:
- Generate clustal aligned sequences and a phylogenetic tree for the chosen sequences using the instructions from Activity 1
| Subject | Clone # | 
| 1 | S1V1-3 | 
| S1V1-6 | |
| S1V1-9 | |
| 5 | S5V1-2 | 
| S5V1-4 | |
| S5V1-6 | |
| 6 | S6V1-1 | 
| S6V1-2 | |
| S6V1-3 | |
| 13 | S13V1-1 | 
| S13V1-2 | |
| S13V1-4 | 
- Clustal aligned sequences for sequences in Table 1:
S13V1-2         GAGATAGTAATTAGATCTGAAAATTTCACAAACAATGCTAAAATCATAATAGTACAGCTG
S13V1-4         GAGATAGTAATTAGATCTGAAAATTTCACAAACAATGCTAAAATCATAATAGTACAGCTG
S13V1-1         GAGATAGTAATTAGATCTGAAAATTTCACAAACAATGCTAAAATCATAATAGTACAGCTG
S6V1-1          GAAGTAGTAATTAGATCCGCCAATCTCACGGACAATGCTAAAATCATAATAGTGCATCAG
S6V1-3          GAAGTAGTAATTAGATCCGCCAATCTCACGGACAATGCTAAAATCATAATAGTGCATCTG
S6V1-2          GAAGTAGTAATTAGATCCGCCAATCACACGGACAATGCTAAAATCATAATAGTGCATCAG
S5V1-4          GAGGTAGTAATTAGATCCAAAAATTTCTCGGACAATGCTAAAATCATAATAGTACATCTA
S5V1-6          GAGGTAGTAATTAGATCCAAAAATTTCTCGGACAATGCTAAAATCATAATAGTACATCTA
S5V1-2          GAGGTAGTAATTAGATCCAAAAATTTCTCGGACAATGCTAAAATCATAATAGTACATCTA
S1V1-6          GAGGTAGTAATTAGATCCGAAAATTTCACGAACAATGCTAAAATCATAATAGTACAGCTG
S1V1-3          GAGGTAGTAATTAGATCCGAAAATTTCACGAACAATGCTAAAATCATAATAGTACAGCTG
S1V1-9          GAGGTAGTAATTAGATCCGAAAATTTCACGAACAATGCTAAAATCATAATAGTACAGCTG
                **  *************    ***  * *  ********************** ** *  
S13V1-2         AAGGAATCTGTAGAAATTAATTGTACAAGACCCGGCAACAATACAAGAAGAAGTATAAAT
S13V1-4         AAGGAATCTGTAGAAATTAATTGTACAAGACCTGGCAACAATACAAGAAGAAGTATAAAT
S13V1-1         AAGGAATCTGTAGAAATTAATTGTACAAGACCTGGCAACAATACAAGAAGAAGTATAAAT
S6V1-1          AATGAATCTGTAGAAATGAATTGTACAAGACCCAACAACAATACAAGAAAAGGTATACAT
S6V1-3          AATGAATCTGTAGAAATGAATTGTACAAGACCCAACAACAATACAAGAAAAGGTATACAT
S6V1-2          AATGAATCTGTAGAAATGAATTGTACAAGACCCAACAACAATACAAGAAAAGGTATACAT
S5V1-4          AATGAATCTGTAGAAATTAATTGTACAAGACCCGGCAACAATACAAGAAGAAGTATACAT
S5V1-6          AATGAGTCTGTAGAAATTAATTGTACAAGACCCGGCAACAATACAAGAAGAAGTATACAT
S5V1-2          AATGAATCTGTAGAAATTAATTGTACAAGACCCGGCAACAATACAAGAAGAAGTATACAT
S1V1-6          AATGAATCTGTAGAAATTAACTGTACAAGACCCAACAACAATACAAGAAAAAGTATACAT
S1V1-3          AATGAATCTGTAGAAATTAATTGTACAAGACCCAACAACAATACAAGAAAAAGTATACAT
S1V1-9          AATGAATCTGTAGAAATTAATTGTACAAGACCCAACAACAATACAAGAAAAAGTATACAT
                ** ** *********** ** ***********   ************** * ***** **
S13V1-2         ATAGGACCAGGGAGAGCATTTTATGCATCAAGAGGAATAATAGGAGATATAAGACAAGCA
S13V1-4         ATGGGACCAGGGAGAGCATTTTATGCATCAAGAGGAATAATAGGAGATATAAGACAAGCA
S13V1-1         ATAGGACCAGGGAGAGCATTTTATGCATCAAGAGGAATAATAGGAGATATAAGACAAGCA
S6V1-1          ATAGGACCAGGCAGAGCATTTTATGCAACAGGAGAAATAATAGGAGATATAAGACAAGCA
S6V1-3          ATAGGACCAGGCAGAGCATTTTATGCAACAGGAGAAATAATAGGAGATATAAGACAAGCA
S6V1-2          ATAGGACCAGGCAGAGCATTTTATGCAACAGGAGAAATAATAGGAGATATAAGACAAGCA
S5V1-4          ATAGGACCAGGCAGAGCATTTTATACAACAGGAGACATAATAGGAGATATAAGACAAGCA
S5V1-6          ATAGGACCAGGCAGAGCATTTTATACAACAGGAGACATAATAGGAGATATAAGACAAGCA
S5V1-2          ATAGGACCAGGCAGAGCATTTTATACAACAGGAGACATAATAGGAGATATAAGACAAGCA
S1V1-6          ATAGGACCAGGTAGAGCATTTTATACAACAGGAGACATAATAGGAGATATAAGACAAGCA
S1V1-3          ATAGGACCAGGTAGAGCATTTTATACAACAGGAGACATAATAGGAGATATAAGACAAGCA
S1V1-9          ATAGGACCAGGTAGAGCATTTTATACAACAGGAGACATAATAGGAGATATAAGACAGGCA
                ** ******** ************ ** ** ***  ******************** ***
S13V1-2         TATTGTAACATCAGTAAAGCAAAATGGGATAACACTTTAGGACAGGTAGCTGCAAAATTA
S13V1-4         TATTGTAACATCAGTAAAGCAAAATGGGATAACACTTTAGGACAGGTAGCTGCAAAATTA
S13V1-1         TATTGTAACATCAGTAAAGCAAAATGGGATAACACTTTAGGACAGGTAGCTGCAAAATTA
S6V1-1          CATTGTAACCTTAGTAGAGCACAATGGAATGCACATTTAAAAAGGATAGCTATAAAATTA
S6V1-3          CATTGTAACCTTAGTAGAGCACAATGGAATGACACTTTAAAAAGGATAGCTATAAAATTA
S6V1-2          CATTGTAACCTTAGTAGAGCACAATGGAATGACACTTTAAAAAGGATAGCTATAAAATTA
S5V1-4          CATTGTAACATTAGTGAAGAAAAATGGAATGAAACTTTAAAAAAGATAGTTATAAAATTA
S5V1-6          CATTGTAACATTAGTGAAGAAAAATGGAATGAAACTTTAAAAAAGATAGTTATAAAATTA 
S5V1-2          CATTGTAACATTAGTGAAGAAAAATGGAATGAAACTTTAAAAAAGATAGTTATAAAATTA
S1V1-6          TATTGTAACATTAGTAGAGCAGAATGGAATAACACTTTAAGACAGATAGTTATAAAATTA
S1V1-3          TATTGTAACATTAGTAGAGCAGAATGGAATAACACTTTAAAACAGATAGTTATAAAATTA
S1V1-9          TATTGTAACATTAGTAGAGCAGAATGGAATAACACTTTAAAACAGATAGTTATAAAATTA
                 ******** * ***  ** * ***** **     ****  *  * *** *  *******
S13V1-2         AGAGAACAATTTAGGAATGCTACAATAGTCTTTAATCAATCATCA
S13V1-4         AGAGAACAATTTAGGAATGCTACAATAGTCTTTAATCAATCATCA
S13V1-1         AGAGAACAATTTAGGAATGCTACAATAGTCTTTAATCAATCATCA
S6V1-1          AGAGAACAATTTAAGAATAAAACAATAGTCTTTAATCAATCCTCA
S6V1-3          AGAGAAGTATTTAAGAATAAAACAATAGTCTTTAATCAATCCTCA
S6V1-2          AGAGAACAATTTAAGAATAAAACAATAGTCTTTAATCAATCCTCA
S5V1-4          AGAGAACAATTTGGGAATAAAACAATAGTATTTAATTCATCCTCA
S5V1-6          AGAGAACAATTTGGGAATAAAACAATAGTATTTAATCCATCCTCA
S5V1-2          AGAGAACAATTTGGGAATAAAACAATAGTATTTAATCCATCCTCA
S1V1-6          AGAGAACACTTTGGGAATAAAACAATAGTCTTTAATCACTCCTCA
S1V1-3          AGAGAACACTTTGGGAATAAAACAATAGTCTTTAATCACTCCTCA
S1V1-9          AGAGAACACTTTGGGAATAAAACAATAGTCTTTAATCACTCCTCA
                ******   ***  ****   ******** ******   ** ***
- Phylogenetic tree for sequences in Table 1:
- All clones in the tree above cluster together
- This is likely because the sequences are from the subject's first visit and therefore have not had time to evolve into a genetically diverse population
 
- Subjects 6 and 13 appear to be more diverse than 1 and 5
- In subjects 1 and 5, all clones are deemed as equally similar since they are all the final branch points for that subject
- In subjects 6 and 13, two of the three clones appear on an extra branch, indicating they are more closely related to each other than to the third clone, which suggests that these subjects clones are more diverse
 
- No subjects cluster together
- Because all the sequences cluster together with each other by their subjects, the subjects' strains at the time of their first visits are unrelated to each other. The topology of the tree suggests that subjects' 6 and 13 strains are more diverse than those of subjects' 1 and 5, as indicated by the presence of more branches for subjects 6 and 13. The generated phylogenetic tree also suggests that the strain from subject 1 is most closely related to the MRCA.
Part 2: Quantifying diversity within and between subjects
- Generate clustal alignment sequence for each subject selected in Activity 2: Part 2
- Sequence alignment for Subject 5
S5V4-7          GAGGTAGTAATTAGATCCCAAAATCTCTCAGACAATGCTAAAATCATAATAGTACATCTA
S5V4-1          GAGGTAGTAATTAGATCTCAAAATCTCTCAGACAATGCTAAAATCATAATAGTACATCTA
S5V4-2          GAGGTAGTAATTAGATCTCAAAATCTCTCAGACAATGCTAAAATCATAATAGTACATCTA
S5V4-6          GAGGTAGTAATTAGATCTCAAAATCTCTCAGACAATGCTAAAATCATAATAGTACATCTA
S5V3-3          GAGGTAGTAATTAGATCCAAAAATTTCACGGACAATGCAAAAATCATAATAGTACATCTA
S5V3-4          GAGGTAGTAATTAGATCCAAAAATTTCACTGACAATGCTAAAATCATAATAGTACATCTA
S5V4-3          GAGGTAGTAATTAGATCCATAAATTTCTCAGACAATGCTAAAATCATAATAGTACATCTA
S5V4-4          GAGGTAGTAATTAGATCCATAAATTTCTCAGACAATGCTAAAATCATAATAGTACATCTA
S5V4-5          GAGGTAGTAATTAGATCCATAAATTTCTCAGACAATGCTAAAATCATAATAGTACATCTA
S5V3-1          GAGGTAGTAATTAGATCCATAAATTTCTCAGACAATGCTAAAATCATAATAGTACATCTA
S5V3-2          GAGGTAGTAATTAGATCCATAAATTTCTCAGACAATGCTAAAATCATAATAGTACATCTA
S5V3-5          GAGGTAGTAATTAGATCCATAAATTTCTCAGACAATGCTAAAATCATAATAGTACATCTA
S5V5-4          GAGGTAGTAATTAGATCCACAAATTTCTCGGACAATGCTAAAATCATAATAGTACATCTA
S5V5-5          GAGGTAGTAATTAGATCCACAAATTTCTCGGACAATGCTAAAATCATAATAGTACATCTA
S5V5-1          GAGGTAGTAATTAGATCCAAAAATTTCTCGGACAATGCTAAAATCATAATAGTACATCTA
S5V5-3          GAGGTAGTAATTAGATCCACAAATTTCTCGGACAATGCTAAAATCATAATAGTACATCTA
S5V2-3          GAGGTAGTTATTAGATCCAAAAATTTCTCGGACAATGTAAAAATCATAATAGTACATCTA
S5V3-6          GAGGTAGTAATTAGATCCAAAAATTTCTCGGACAATGCTAAAATCATAATAGTACATCTA
S5V2-6          GAGGTAGTTATTAGATCCAAAAATTTCTCGGACAATGCTAAAATCATAATAGTACATCTA
S5V3-8          GAGGTAGTAATTAGATCCAAAAATTTCTCGGACAATGCTAAAATCATAATAGTACATCTA
S5V3-10         GAGGTAGTAATTAGATCCAAAAATTTCTCGGACAATGCTAAAATCATGATAGTACATCTA
S5V3-11         GAGGTAGTAATTAGATCCAAAAATTTCTCGGACAATGCTAAAATCATGATAGTACATCTA
S5V2-10         AAGGTAGTAATTAGATCCAAAAATTTCTCGGACAATGCTAAAATCATAATAGTACATCTA
S5V2-11         GAGGTAGTAATTAGATCCAAAAATTTCTCGGACAATGCAAAAATCATAATAGTACATCTA
S5V2-5          GAGGTAGTAATTAGATCCAAAAATTTCTCGGACAATGCTAAAATCATAATAGTACATCTA
S5V2-1          GAGGTAGTAATTAGATCCAAAAATTTCTCGGACAATGCTAAAATCATAATAGTACATCTA
S5V2-9          GAAGTAGTAATTAGATCCAAAAATTTCTCGGACAATGCTAAAATCATAATAGTACATCTA
S5V2-2          GAGGTAGTAATTAGATCCAAAAATTTCTCGGACAATGCTAAAATCATAATAGTACATCTA
S5V2-12         GAGGTAGTAATTAGATCCAAAAATTTCTCGGACAATGCTAAAATCATAATAGTACATCTA
S5V1-7          GAGGTAGTAATTAGATCCAAAAATTTCTCGGACAATGCTAAAATCATAATAGTACATCTA
S5V1-8          GAGGTAGTAATTAGATCCAAAAATTTCTCGGAAAATGCTAAAATCATAATAGTACATCTA
S5V1-3          GAGGTAGTAATTAGATCCAAAAATTTCTCGGACAATGCTAAAATCATAATAGTACATCTA
S5V1-5          GAGGTAGTAATTAGATCCAAAAATTTCTCGGACAATGCTAAAATCATAATAGTACATCTA
S5V2-7          GAGGTAGTAATTAGATCCAAAAATTTCTCGGACAATGCTAAAATCATAATAGTACATCTA
S5V3-7          GAGGTGGTAATTAGATCCAAAAATTTCTCGGACAATGCTAAAATCATAATAGTACATCTA
S5V2-8          GAAGTAGTAATTAGATCCAAAAATTTCTCGGACAATGCTAAAATCATAATAGTACATCTA
S5V3-9          GAGGTAGTAATTAGATCCAAAAATTTCTCGGACAATGCTAAAATCATAATAGTACATCTA
S5V1-1          GAGGTAGTAATTAGATCCAAAAATTTCTCGGACAATGCTAAAATCATAGTAGTACATCTA
S5V1-6          GAGGTAGTAATTAGATCCAAAAATTTCTCGGACAATGCTAAAATCATAATAGTACATCTA
S5V1-4          GAGGTAGTAATTAGATCCAAAAATTTCTCGGACAATGCTAAAATCATAATAGTACATCTA
S5V2-4          GAGGTAGTAATTAGATCCAAAAATTTCTCGGACAATGCTAAAATCATAATAGTACATCTA
S5V1-2          GAGGTAGTAATTAGATCCAAAAATTTCTCGGACAATGCTAAAATCATAATAGTACATCTA
S5V5-2          GAGGTAGTAATTAGATCCAAAAATTTCTCGGACAATGCTAAAATCATAATAGTACATCTA
                 * ** ** ********   **** ** * ** ****  ********  ***********
S5V4-7          AATGAATCTGTAGAAATTAATTGTACAGGACCCGGCAACAATACAAGAAGAAGTATACAT
S5V4-1          AATGAATCTGTAGAAATTAATTGTACAAGACCCGGCAACAATACAAGAAGAAGTATACAT
S5V4-2          AATGAATCTGTAGAAATTAATTGTACAAGACCCGGCAACAATACAAGAAGAAGTATACAT
S5V4-6          AATGAATCTGTAGAAATTAATTGTACAAGACCCGGCAACAATACAAGAAGAAGTATACAT
S5V3-3          AATGAATCTGTAGAAATTAATTGTACAAGACACGGCAACAACACAAGAAGAAGTATACAT
S5V3-4          AATGAATCTGTAGAAATTAATTGTACAAGACCCGGCAACAACACAAGAAGAAGTATACCT
S5V4-3          AATGAATCTGTAGAAATTAATTGTACAAGACCCGGCAACAATACAAGAAGAAGTATACAT
S5V4-4          AATGAATCTGTAGAAATTAATTGCATAAGACCCGGCAACAATACAAGAAGAAGTATACAT
S5V4-5          AATGAATCTGTAGAAATTAATTGCACAAGACCCGGCAACAATACAAGAAGAAGTATACAT
S5V3-1          AATGAATCTGTAGAAATTAATTGTACAAGACCCGGCAACAATACAAGAAGAAGTATACAT
S5V3-2          AATGAATCTGTAGAAATTAATTGTACAAGACCCGGCAACAATACAAGAAGAAGTATACAT
S5V3-5          AATGAATCTGTAGAAATTAATTGTACAAGACCCGGCAACAATACAAGAAGAAGTATACAT
S5V5-4          AATGAATCTGTAGAAATTAATTGTACAAGACCCGGCAACAATACAAGAAGAAGTATACAT
S5V5-5          AATGAATCTGTAGAAATTAATTGTACAAGACCCGGCAACAATACAAGAAGAAGTATACAT
S5V5-1          AATGAATCTGTAGAAATTAATTGTACAAGACCCGGCAACAATACAAGAAGAAGTATACAT
S5V5-3          AATGAATCTGTAGAAATTAATTGTACAAGACCCGGCAACAATACAAGAAGAAGTATACAT
S5V2-3          AATGAATCTGTAGAAATTAATTGCACAAGACCCGGCAACAATACAAGAAGAAGTATACCT
S5V3-6          AATGAATCTGTAGAAATTAATTGCACAAGACCCGGCAACAATACAAGAAGAAGTATACAT
S5V2-6          AATGAATCTGTAGAAATTAATTGTACAAGACCCGGCAACAATACAAGAAGAAGTATACAT
S5V3-8          AATGAATCTGTAGAAATTAATTGTACAAGACCCGGCAACAATACAAGAAGAAGTATAAAT
S5V3-10         AATGAATCTGTAGAAATTAATTGTACAAGACCCGGCAACAATACAAGAAGAAGTATACAT
S5V3-11         AATGAATCTGTAGAAATTAATTGTACAAGACCCGGCAACAATACAAGAAGAAGTATACAT
S5V2-10         AATGAATCTGTAGAAATTAATTGTACAAGACCCGGCAACAATACAAGAAGAAGTATACAT
S5V2-11         AATGAATCTGTAGAAATTAATTGTACAAGACCCGGCAACAATACAAGAAGAAGTATACCT
S5V2-5          AATGAATTTGTAGAAATTAATTGTACAAGACCCGGCAACAATACAAGAAGAAGTATACAT
S5V2-1          AATGAATTTGTAAAAATTAATTGTACAAGACCCGGCAACAATACAAGAAGAAGTATACAT
S5V2-9          AATGAATCTGTAGAAATTAATTGTACAAGACCCGGCAACAATACAAGAAGAAGTATAAAT
S5V2-2          AATGAATCTGTAGAAATTAATTGTGCAAGACCCGGCAACAATACAAGAAGAAGTATAAAT
S5V2-12         AATGAATCTGTAGAAATTAATTGTGCAAGACCCGGCAACAATACAAGAAGAAGTATAAAT
S5V1-7          AATGAATCTGTAGAAATTAATTGTACAAGACCCAGCAACAATACAAGAAGAAGTATACAT
S5V1-8          AATGAATCTGTAGAAATTAATTGTACAAGACCCGGCAACAATACAAGAAGAAGTATACAT
S5V1-3          AATGAATCTGTAGAAATTAATTGTACAAGACCCGGCAACAATACAAGAAGAAGTATACAT
S5V1-5          AATGAATCTGTAGAAATTAATTGTACAAGGCCCGGCAACAATACAAGAAGAAGTATACTT
S5V2-7          AATGAATCTGTAGAAATTAATTGTACAAGACCCGGCAACAATACAAGAAGAAGTATACCT
S5V3-7          AATGAATCTGTAGAAATTAATTGTACAAGACCCGGCAACAATACAAGAAGAAGTATACAT
S5V2-8          AATGAATCTGTAGAAATTAATTGTACAAGACCCGGCAACAATACAAGAAGAAGTATACAT
S5V3-9          AATGAATCTGTAGAAATTAATTGTACAAGACCCGGCAACAATACAAGAAGAAGTATACAT
S5V1-1          AATGAATCTGTAGAAATTAATTGTACAAGACCCGGCAACAATACAAGAAGAAGTATACAT
S5V1-6          AATGAGTCTGTAGAAATTAATTGTACAAGACCCGGCAACAATACAAGAAGAAGTATACAT
S5V1-4          AATGAATCTGTAGAAATTAATTGTACAAGACCCGGCAACAATACAAGAAGAAGTATACAT
S5V2-4          AATGAATCTGTAGAAATTAATTGTACAAGACCCGGCAACAATACAAGAAGAAGTATACAT
S5V1-2          AATGAATCTGTAGAAATTAATTGTACAAGACCCGGCAACAATACAAGAAGAAGTATACAT
S5V5-2          AATGAATCTGTAGAAATTAATTGTACAAGACCCGGCAACAATACAAGAAGAAGTATACAT
                ***** * **** **********   * * * * ******* ***************  *
S5V4-7          ATAGGGCCAAACAGAGCATTTTATACAACAGGAGACATAATAGGAGATATAAGACAAGCA
S5V4-1          ATAGGGCCAAACAGAGCATTTTATACAACAGGAGACATAATAGGAGATATAAGACAAGCA
S5V4-2          ATAGGGCCAAACAGAGCATTTTATACAACAGGAGACATAATAGGAGATATAAGACAAGCG
S5V4-6          ATAGGGCCAAACAGAGCATTTTATACAACAGGAGACATAATAGGAGATATAAGACAAGCA
S5V3-3          ATAGGACCAAACAGAGCATTTTATACAACAGGAGACGTAATAGGAGATATAAGACAAGCA
S5V3-4          ATAGGACCAGGCAGAGCATTTTATACAACAGGAGACATAATAGGAGATATAAGACAAGCA
S5V4-3          ATAGGACCAAACAGAGCATTTTATACAACAGGAGACATAATAGGAGATATAAGACAAGCA
S5V4-4          ATAGGACCAAACAGAGCATTTTATACAACAGGAGACATAATAGGAGATATAAGACAAGCA
S5V4-5          ATAGGACCAAACAGAGCATTTTATACAACAGGAGACATAATAGGAGATATAAGACAAGCA
S5V3-1          ATAGGACCAAACAGAGCATTCTATACAACAGGAGACATAATAGGAGATATAAGACAAGCA
S5V3-2          ATAGGACCAAACAGAGCATTCTATACAACAGGAGACATAATAGGAGATATAAGACAAGCA
S5V3-5          ATAGGACCAAACAGAGCATTCTATACAACAGGAGACATAATAGGAGATATAAGACAAGCA
S5V5-4          ATAGGACCAGGCAGAGCATTTTATACAACAGGAGACATAATAGGAGATATAAGACAAGCA
S5V5-5          ATAGGACCAGGCAGAGCATTTTATACAACAGGAGACATAATAGGAGATATAAGACAAGCA
S5V5-1          ATAGGACCAGGCAGAGCATTTTATACAACAGGAGACATAATAGGAGATATAAGACAAGCA
S5V5-3          ATAGGACCAGGCAGAGCATTTTATACAACAGGAGACATAATAGGAGATATAAGACAAGCA
S5V2-3          ATAGGACCAGGCAGAGCATTTTATACAACAGGAGACATAATAGGAGATATAAGACAAGCA
S5V3-6          ATAGGACCAAACAGAGCATTTTATACAACAGGAGACATAATAGGAGATATAAGACAAGCA
S5V2-6          ATAGGACCAGGCAGAGCATTTTATACAACAGGAGACATAATAGGAGATATAAGACAAGCA
S5V3-8          ATAGGACCAGGCAGAGCATTTTATACAACAGGAGACATAATAGGAGATATAAGACAAGCA
S5V3-10         ATAGGACCAGGCGGAGCATTTTATACAACAGGAGACATAATAGGAGATATAAGACAAGCA
S5V3-11         ATAGGACCAGGCGGAGCATTTTATACAACAGGAGACATAATAGGAGGTATAAGACAAGCA
S5V2-10         GTAGGACCAGGCAGAGCATTTTATACAATAGGAGACATAATAGGAGATATAAGACAAGCA
S5V2-11         ATAGGACCAGGCAGAGCATTTTATACAACAGGAGACATAATAGGAGATATAAGACAAGCA
S5V2-5          ATAGGACCAGGCAGAGCATTTTATACAACAGGAGACATAATAGGAGATATAAGACAAGCA
S5V2-1          ATAGGACCAGGCAGAGCATTTTATACAACAGGAGACATAATAGGAGATATAAGACAAGCA
S5V2-9          ATAGGACCAGGCAGAGCATTTTATACAACAGGAGACATAATAGGAGATATAAGACAAGCA
S5V2-2          ATAGGACCAGGCAGAGCATTTTATACAACAGGAGACATAATAGGAGATATAAGACAAGCA
S5V2-12         ATAGGACCAGGCAGAGCATTTTATACAACAGGAGACATAATAGGAGATATAAGACAAGCA
S5V1-7          ATAGGACCAGGCAGAGCATTTTATACAACAGGAGACATAATAGGAGACATAAGACAAGCA
S5V1-8          ATAGGACCAGGCAGAGCATTTTATACAACAGGAGACATAATAGGAGACATAAGACAAGCA
S5V1-3          ATAGGACCAGGCAGAGCATTTTATACAACAGGAGACATAATAGGAGACATAAGACAAGCA
S5V1-5          ATAGGACCAGGCAGAGCATTTTATACAACAGGAGACATAATAGGAGATATAAGACAAGCA
S5V2-7          ATAGGACCAGGCAGAGCATTTTATACAACAGGAGACATAATAGGAGATATAAGACAAGCA
S5V3-7          ATAGGACCAGGCAGAGCATTTTATACAACAGGAGACATAATAGGAGATATAAGACAAGCA
S5V2-8          ATAGGACCAGGCAGAGCATTTTATACAACAGGAGACATAATAGGAGATATAAGACAAGCA
S5V3-9          ATAGGACCAGGCAGAGCATTTTATACAACAGGAGACATAATAGGAGATATAAGACAAGCA
S5V1-1          ATAGGACCAGGCAGAGCATTTTATACAACAGGAGACATAATAGGAGATATAAGACAAGCA
S5V1-6          ATAGGACCAGGCAGAGCATTTTATACAACAGGAGACATAATAGGAGATATAAGACAAGCA
S5V1-4          ATAGGACCAGGCAGAGCATTTTATACAACAGGAGACATAATAGGAGATATAAGACAAGCA
S5V2-4          ATAGGACCAGGCAGAGCATTTTATACAACAGGAGACATAATAGGAGATATAAGACAAGCA
S5V1-2          ATAGGACCAGGCAGAGCATTTTATACAACAGGAGACATAATAGGAGATATAAGACAAGCA
S5V5-2          ATAGGACCAGGCAGAGCATTTTATACAACAGGAGACATAATAGGAGATATAAGACAAGCA
                 **** ***  * ******* ******* ******* *********  *********** 
S5V4-7          CATTGTAACATTAGTGAAGAAAAATGGAATGAAACTTTAAAAAAGATAGCTATAAAATTA
S5V4-1          CATTGTAACATTAGTGAAGAAAAATGGAATGAAACTTTAAAAAAGATAGCTATAAAATTA
S5V4-2          CATTGTAACATTAGTGAAGAAAAATGGAATGAAACTTTAAAAAAGATAGCTATAAAATTA
S5V4-6          CATTGTAACATTAGTGAAGAAAAATGGAATGAAACTTTAAAAAAGATAGCTATAAAATTA
S5V3-3          CATTGTAACATTAGTGAAGAAAAATGGAATGAAACCTTAAAAAAGATAGCTATAAAATTA
S5V3-4          CATTGTAACATTAGTGAAGAAAAATGGAATGAAACCTTAAAAAAGATAGCTATAAAATTA
S5V4-3          CATTGTAACATTAGTGAAGAAAAATGGAATGAAACCTTAAAAAAGATAGTTATAAAATTA
S5V4-4          CATTGTAACATTAGTGAAGAAAAATGGAATGAAACCTTAAAAAAGATAGTTATAAAATTA
S5V4-5          CATTGTAACATTAGTGAAGAAAAATGGAATGAAACCTTAAAAAAGATAGTTATAAAATTA
S5V3-1          CATTGTAACATTAGTGAAGAAGAATGGAATGAAACTTTAAAAAAGATAGTTATAAAATTA
S5V3-2          CATTGTAACATTAGTGAAGAAAAATGGAATGAAACTTTAAAAAAGATAGTTATAAAATTA
S5V3-5          CATTGTAACATTAGTGAAGAAAAATGGAATGAAACTTTAAAAAAGATAGTTATAAAATTA
S5V5-4          CATTGTAACATTAGTAAAGGAAAATGGAATGAAACTTTAAAAAAGATAGCTATAAAATTA
S5V5-5          CATTGTAACATTAGTGAAGGAAAATGGAATGAAACCTTAAAAAAGATAGCTATAAAATTA
S5V5-1          CATTGTAACATTAGTGAAGGAAAATGGAATGAAACTTTAAAAAAGATAGCTATAAAATTA
S5V5-3          CATTGTAACATTAGTGAAGGAAAATGGAATGAAACTTTAAAAAAGATAGCTATAAAATTA
S5V2-3          CATTGTAACATTAGTGAAGAAAAATGGAATGAAACCTTAAAAAAGATAGCTATAAAATTA
S5V3-6          CATTGTAACATTAGTGAAGAAAAATGGAATGAAACTTTAAAAAAGATAGTTATAAAATTA
S5V2-6          CATTGTAACATTAGTGAAGAAAAATGGAATGAAACCTTAAAAAAGATAGCTATAAAATTA
S5V3-8          CATTGTAACATTAGTGAAGAAAAATGGAATGAAACTTTAAAAAAGATAGCTATAAAATTA
S5V3-10         CATTGTAACATTAGTGAAGAAAAATGGAATGAAACTTTAAAAAAGATAGTTATAAAATTA
S5V3-11         CATTGTAACATTAGTGAAGAAAAATGGAATGAAACTTTAAAAAAGATAGTTATAAAATTA
S5V2-10         CATTGTAACATTAGTGAAGAAAAATGGAATGAAACTTTAAAAAAGATAGTTATAAAATTA
S5V2-11         CATTGTAACATTAGTGAAGAAAAATGGAATGAAACTTTAAAAAAGATAGTTATAAAATTA
S5V2-5          CATTGTAACATTAGTGAAGAAAAATGGAATGAAACTTTAAAAAAGATAGTTATAAAATTA
S5V2-1          CATTGTAACATTAGTGAAGAAAAATGGAATGAAACTTTAAAAAAGATAGTTATAAAATTA
S5V2-9          CATTGTAACATTAGTGAAGAAAAATGGAATGAAACTTTAAAAAAGATAGTTATAAAATTA
S5V2-2          CATTGTAACATTAGTGAAGAAAAATGGAATGAAACTTTAAAAAAGATAGTTATAAAATTA
S5V2-12         CATTGTAACATTAGTGAAGAAAAATGGAATGAAACTTTAAAAAAGATAGTTATAAAATTA
S5V1-7          CATTGTAACATTAGTGAAGAAAAATGGAATGAAACTTTAAAAAAGATAGTTATAAAATTA
S5V1-8          CATTGTAACATTAGTGAAGAAAAATGGAATGAAACTTTAAAAAAGATAGTTATAAAATTA
S5V1-3          CATTGTAACATTAGTGAAGAAAAATGGAATGAAACTTTAAAAAAGATAGTTATAAAATTA
S5V1-5          CATTGTAACATTAGTGAAGAAAAATGGAATGAAACTTTAAAAAAGATAGTTATAAAATTA
S5V2-7          CATTGTAACATTAGTGAAGAAAAATGGAATGAAACCTTAAAAAAGATAGTTATAAAATTA
S5V3-7          CATTGTAACATTAGTGAAGAAAAATGGAATGAAACTTTAAAAAAGATAGTTATAAAATTA
S5V2-8          CATTGTAACATTAGTGAAGAAAAATGGAATGAAACTTTAAAAAAGATAGTTATAAAATTA
S5V3-9          CATTGTAATATTAGTGAAGAAAAATGGAATGAAACTTTAAAAAAGATAGTTATAAAATTA
S5V1-1          CATTGTAACATTAGTGAAGAAAAATGGAATGAAACTTTAAAAAAGATAGTTATAAAATTA
S5V1-6          CATTGTAACATTAGTGAAGAAAAATGGAATGAAACTTTAAAAAAGATAGTTATAAAATTA
S5V1-4          CATTGTAACATTAGTGAAGAAAAATGGAATGAAACTTTAAAAAAGATAGTTATAAAATTA
S5V2-4          CATTGTAACATTAGTGAAGAAAAATGGAATGAAACTTTAAAAAAGATAGTTATAAAATTA
S5V1-2          CATTGTAACATTAGTGAAGAAAAATGGAATGAAACTTTAAAAAAGATAGTTATAAAATTA
S5V5-2          CATTGTAACATTAGTGAAGAAAAATGGAATGAAACTTTAAAAAAGATAGTTATAAAATTA
                ******** ****** *** * ************* ************* **********
S5V4-7          AGAGAACAATTTGAGAATAA---AACAATAGTATTTAATTCATCCTCA
S5V4-1          AGAGAACAATTTGAGAATAA---AACAATAGTATTTAACTCATCCTCA
S5V4-2          AGAGAACAATTTGAGAATAA---AACAATAGTATTTAATTCATCCTCA
S5V4-6          AGAGAACAATTTGAGAATAA---AACAATAGTATTTAATTCATCCTCA
S5V3-3          AGAGAACAATTTGAGAATAA---AACAATAGTATTTAATCCATCCTCA
S5V3-4          AGAAAACAATTTGGGAATAA---AACAATAGTATTTAATCCATCCTCA
S5V4-3          AGAGAACAATTTAAGAATAA---AACAATAGTATTTAAGTCATCCTCA
S5V4-4          AGAGAACAATTTAAGAATAA---AACAATAGTATTTAAGTCATCCTCA
S5V4-5          AGAGAACAATTTAAGAATAA---AACAATAGTATTTAAGTCATCCTCA
S5V3-1          AGAGAACAATTTAGGAATAA---AACAATAGTATTTAATTCATCCTCA
S5V3-2          AGAAAACAATTTGGGAATAA---AACAATAGTATTTAATCCATCCTCA
S5V3-5          AGAGAACAATTTAGGAATAA---AACAATAGTATTTAATCCATCCTCA
S5V5-4          AGAGAACAATTTAGGAATAA---AACAATAGTCTTTAATTCATCCTCA
S5V5-5          AGAGAACAATTTAGGAATAA---AACAATAGCATTTAATCCATCCTCA
S5V5-1          AGAGAACAATTTAGGAATAA---AACAATAGCATTTAATTCATCCTCA
S5V5-3          AGAGAACAATTTAGGAATAA---AACAATAGCATTTAATTCATCCTCA
S5V2-3          AGAGAACAATTTGTGAATAA---AACAATAGTATTTAATCCATCCTCA
S5V3-6          AGAAAACAATTTGGGAATAA---AACAATAGTATTTAATTCATCCTCA
S5V2-6          AGAGAACAATTTGTGAATAA---AACAATAGTATTTAATCCATCCTCA
S5V3-8          AGAGAACAATTTGTGAATAA---AACAATAGTATTTAATCCATCCTCA
S5V3-10         AGAGAACAATTTGAGAATAA---AACAATAGTATTTAATTCATCCTCA
S5V3-11         AGAGAACAATTTGAGAATAA---AACAATAGTATTTAATCCATCCTCA
S5V2-10         AGAGAACAATTTGGGAATAAAACAACAATAGTATTTAATTCATCCTCA
S5V2-11         AGAGAACAATTTGGGAATAA---AACGATAGTATTTAATTCATCCTCA
S5V2-5          AGGGAACAATTTGGGAATAA---AACAATAGTATTTAATTCATCCTCA
S5V2-1          AGAGAACAATTTGGGAATAA---AACAATAGTATTTAATTCATCCTCA
S5V2-9          AGAGAACAATTTGGGAATAA---AACAATAGTATTTAATCCATCCTCA
S5V2-2          AGAGAACAATTTGGGAATAA---AACAATAGTATTTAATCCATCCTCA
S5V2-12         AGAGAACAATTTGGGAATAA---AACAATAGTATTTAATTCATCCTCA
S5V1-7          AGAGAACAATTTGGGAATAA---AACAATAGTATTTAATTCATCCGCA
S5V1-8          AGAGAACAATTTGGGAATAA---AACAATAGTATTTAATTCATCCGCA
S5V1-3          AGAGAACAATTTGGGAATAA---AACAATAGTATTTAATTCATCCGCA
S5V1-5          AGAGAACAATTTGGGAATAA---AACAATAGTATTTAATCCATCCTCA
S5V2-7          AGAGAACAATTTGGGAATAA---AACAATAGTATTTAATTCATCCTCA
S5V3-7          AGAAAACAATTTGGGAATAA---AACAATAGTATTTAATCCATCCTCA
S5V2-8          AGAGAACAATTTGGGAATAA---AACAATAGTATTTAATTCATCCTCA
S5V3-9          AGAGAACAATTTGGGAATAA---AACAATAGTATTTAATTCATCCTCA
S5V1-1          AGAGAACAATTTGGGAATAA---AACAATAGTATTTAATCCATCCTCA
S5V1-6          AGAGAACAATTTGGGAATAA---AACAATAGTATTTAATCCATCCTCA
S5V1-4          AGAGAACAATTTGGGAATAA---AACAATAGTATTTAATTCATCCTCA
S5V2-4          AGAGAACAATTTGGGAATAA---AACAATAGTATTTAATTCATCCTCA
S5V1-2          AGAGAACAATTTGGGAATAA---AACAATAGTATTTAATCCATCCTCA
S5V5-2          AGAGAACAATTTGGGAATAA---AACAATAGTATTTAATCCATCCTCA
                **  ********  ******   *** ****  *****  ***** **
- Sequence alignment for Subject 10
S10V6-2         GAGGTAGTAATTAGATCTGAAAATTTCACGGACAATGCTAAAACCATAATAGTACATCTG
S10V5-3         GAGGTAGTAATAAGATCTAAAAATTTCACGGACAATGCTAAAACCATAATAGTACAGCTG
S10V4-8         GAGGTAGTAATTAGATCTGAAAACTTCACGGACAATGCTAAAACCATAATAGTACAGCTG
S10V4-15        GAGGTAGTAATTAGATCTGAAGATTTCACGGACAATGCTAAAACCATAATAGTACAGCTG
S10V5-4         GAGGTAGTAATTAGATCTGAAAATTTCACGGACAATGCTAAA---ATAATAGTACAGCTG
S10V4-11        GAGGTAGTAATTAGATCTGAAAATTTCACGGACAATGCTAAAACCATAATAGTACAGCTG
S10V5-7         GAGGTAGTAATTAGATCTGAAAATTTCACGGACAATGCTAAAACCATAATAGTACAGCTG
S10V5-9         GAGGTAGTAATTAGATCTGAAAATTTCACGGACAATGCTAAAACCATAATAGTACAGCTG
S10V5-10        GAGGTAGTAATTAGATCTGAAAATTTCACGGACAATGCTAAAACCATAATAGTACAGCTG
S10V4-3         GAGGTAGTAATTAGATCTGAAAATTTCACGGACAATGCTAAAACCATAATAGTACAGCTG
S10V4-12        GAGGTAGTAATTAGATCTGAAAATTTCACGGACAATGCTAAAACCATAATAGTACAGCTG
S10V4-13        GAGGTAGTAATTAGATCTGAAAATTTCACGGACAATGCTAAAACCATAATAGTACAGCTG
S10V5-2         GAGGTAGTAATTAGATCTGAAAATTTCACGGACAATGCTAAAACCATAATAGTACAGCTG
S10V5-5         GAGGTAGTAATAAGATCTGAAAATTTCACGGACAATGCTAAAACCATAATAGTACAGCTG
S10V5-6         GAGGTAGTAATAAGATCTGAAAATTTCACGGACAATGCTAAAACCATAATAGTACAGCTG
S10V5-8         GAGGTAGTAATCAGATCTGAAAATTTCACGGACAATGCTAAAACCATAATAGTACAGCTG
S10V4-6         GAGGTAGTAATTAGATCTGAAAATTTCACGGACAATGCTAAAACCATAATAGTACAGCTG
S10V4-1         GAGGTAGTAATTAGATCTGAAAATTTCACGGACAATGCTAAAACCATAATAGTACAGCTG
S10V5-1         GAGGTAGTAATTAGATCTGAAAATTTCACGGACAATGCTAAAACCATAATAGTACAGCTG
S10V4-2         GAGGTAGTAATTAGATCTGAAAATTTCACGGACAATGCTAAAACCATAATAGTACAGCTG
S10V4-14        GAGGTAGTAATTAGATCTGAAAATTTCACGGACAATGCTAAAACCATAATAGTACAGCTG
S10V6-7         GAGGTAGTAATTAGATCTGAAAATTTCACGGACAATGCTAAAACCATAATAGTACATCTG
S10V4-5         GAGGTAGTAATTAGATCTGAAAATTTCACGGACAATGCTAAAACCATAATAGTACAGCTG
S10V4-16        GAGGTAGTAATTAGATCTGAAAATTTCACGGACAATGCTAAAACCATAATAGTATAGCTG
S10V6-6         GAGGTAGCAATTAGATCTGAAAATTTCACGGACAATGCTAAAACCATAATAGTACATCTG
S10V4-9         GAGGTAGTAATTAGATCTGAAAATTTCACGGACAATGCTAAAACCATAATAGTACAGCTG
S10V6-3         GAGGTAGTAATTAGATCTGAAAATTTCACGGACAATGCTAAAACCATAATAGTACAGCTG
S10V6-9         GAGGTAGTAATTAGATCTGAAAATTTCACGGACAATGCTAAAACCATAATAGTACATCTG
S10V6-10        GAGGTAGTAATTAGATCTGAAAATTTCACGGACAATGCTAAAACCATAATAGTACATCTG
S10V6-1         GAGGTAGTAATTAGATCTGAAAATTTCACGGACAATGCTAAAACCATAATAGTACATCTG
S10V2-2         GAGATAGTAATTAGATCTGAAAATTTCACGGACAATGCTAAAATCATAATAGTACAGCTG
S10V6-8         GAGGTAGTAATTAGATCTGAAAATTTCACGGACAATGCTAAAACCATAATAGTACATCTG
S10V4-4         GAGGTAGTAATTAGATCTGAAAATTTCACGGACAATGCTAAAACCATAATAGTACAGCTG
S10V1-5         GAGGTAGTAATTAGATCTGAAAATTTCACGGACAATGCTAAAACCATAATAGTACAGCTG
S10V2-1         GAGGTAGTAATTAGATCTGAAAATTTCACGGACAATGCTAAAACCATAATAGTACAGCTG
S10V2-3         GAGGTAGTAATTAGATCTGAAAATTTCACGGACAATGCTAAAACCATAATAGTACAGCTG
S10V2-6         GAGGTAGTAATTAGATCTGAAAATTTCACGGACAATGCTAAAATCATAATAGTACAGCTG
S10V2-4         GAGGTAGTAATTAGATCTGAAAATTTCACGGACAATGCTAAAATCATAATAGTACAGCTG
S10V1-2         GAGGTAGTAATTAGATCTGAAAATTTCACGGACAATGCTAAAACCATAATAGTACAGCTG
S10V1-3         GAGGTAGTAATTAGATCTGAAAATTTCACGGACAATGCTAAAACCATAATAGTACAGCTG
S10V1-4         GAGGTAGTAATTAGATCTGAAAATTTCACGGACAATGCTAAAACCATAATAATACAGCTG
S10V1-6         GAGGTAGTAATTAGATCTGAAAATTTCACGGACAATGCTAAAACCATAATAGTACAGCTG
S10V1-7         GAGGTAGTAATTAGATCTGAAAATTTCACGGACAATGCTAAAACCATAATAGTACAGCTG
S10V1-1         GAGGTAGTAATTAGATCTGAAAATTTCACGGACAATGCTAAAACCATAATAGTACAGCTG
S10V2-5         GAGGTAGTAATTAGATCTGAAAATTTCACGGACAATGCTAAAACCATAATAGTACAGCTG
S10V4-7         GAGGTAGTAATTAGATCTGAAAATTTCACGGACAATGCTAAAACCATAATAGTACAGCTG
S10V4-10        GAGGTAGTAATTAGATCTGAAAATTTCACGGACAATGCTAAAACCATAATAGTACAGCTG
S10V6-4         GAGGTAGTAATTAGATCTGAAAATTTCACGGACAATGCTAAAACCATAATAGTACATCTG
S10V6-5         GAGGTAGTAATTAGATCTGAAAATTTCACGGACAATGCTAAAACCATAATAGTACATCTG
                *** *** *** ****** ** * ******************   ****** ** * ***
S10V6-2         AATAAATCTGTAGAAATTAATTGCACAAGACCCAATAACAATACAAGAAGAAGTATAAAT
S10V5-3         AATAAATCTGTAGAAATTAATTGCACAAGACCCAACAACAATACAAGAAGAAAAATAAGT
S10V4-8         AATAAATCTGTAGAAATTAATTGCACAAGACCCAACAACAATACAAGAAGAAGAATAAGT
S10V4-15        AATAAATCTGTAGAAATTAATTGCACAAGACCCAACAACAATACAAGAAGAAGAATAAGT
S10V5-4         AATAAAGCTGTAGAAATCAATTGCACAAGACCCAACAACAATAAAAAAAGAAGAATAAGT
S10V4-11        AATAAAGCTGTAGAAATTAATTGCACAAGACCCAACAACAATACAAGAAGAAGAATAAGT
S10V5-7         AATAAAGCTGTAGAAATTAATTGCACAAGACCCAGCAACAATACAAGAAGAAGTATAAAT
S10V5-9         AATAAAGCTGTAGAAATTAATTGCACAAGACCCAACAGCAATACAAGAAGAAGAATAAGT
S10V5-10        AATAAAGCTGTAGAAATTAATTGCACAAGACCCAACAACAATACAAGACGAAGAATAAGT
S10V4-3         AATAAAGCTGTAGAAATTAATTGCACAAGACCCAACAACAATACAAGAAGAAGAATAAGT
S10V4-12        AATAAAGCTGTAGAAATTAATTGCACAAGACCCAACAACAATAGAAGAAGAAGAATAAGT
S10V4-13        AATAAAGCTGTAGAAATTAATTGCACAAGACCCAACAACAATAGAAGAAGAAGAATAAGT
S10V5-2         AATAAAGCTGTAGAAATTAATTGCACAAGACCCAACAACAATAGAAGAAGAAGAATAAGT
S10V5-5         AATAAAGCTGTAGAAATTAATTGCACAAGACCCAACAACAATAAAAGAAGAAGAATAAGT
S10V5-6         AATAAAGCTGTAGAAATTAATTGCACAAGACCCAACAACAATAAAAGAAGAAGAATAAGT
S10V5-8         AATAAAGCTGTAGAAATTAATTGCACAAGACCCAACAACAATAGAAGAAGAAGAATAAGT
S10V4-6         AATAAAGCTGTAGAAATTAATTGCACAAGACCCAACAACAACACAAGAAGAAGAATAAGT
S10V4-1         AATAAAGCTGTAGAAATTAATTGCACAAGACCCAACAACAATACAAGAAGAAGAATAAGT
S10V5-1         AATAAAGCTGTAGAAATTAATTGCACAAGACCCAACAACAATACAAGAAGAAGAATAAGT
S10V4-2         AATAAAGCTGTAGAAATTAATTGCACAAGACCCAACAACAATACAAGAAGAAGAATAAGT
S10V4-14        AATAAAGCTGTAGAAATTAATTGCACAAGACCCAACAACAATACAAGAAGAAGAATAAGT
S10V6-7         AATAAAGCTGTAGAAATTAATTGCACAAGACCCAACAACAATACAAGAAGAAGTATAAAT
S10V4-5         AATGAATCTGTAGAAATTAATTGCACAAGACCCAACAACAATACAAGAAGAAGCATACAT
S10V4-16        AATGAATCTGTAGAAATTAATTGCACAAGACCCAACAACAATACAAGAAGAAGTATAAAT
S10V6-6         AATAAATCTGTAGAAATTAATTGCACAAGACCCAACAACAATACAAGAAGAAGTATAAAT
S10V4-9         AATAAATCTGTAGAAATTAATTGCACAAGACCCAACAACAATACAAGAAGAAGTATAAAT
S10V6-3         AATAAATCTGTAGAAATTAATTGCACAAGACCCAACAACAATACAAGAAGAAGTATAAAT
S10V6-9         AATAAATCTGTAGAAATTAATTGCACAAGACCCAACAACAATACAAGAAGAAGTATAAAT
S10V6-10        AATAAATCTGTAGAAATTAATTGCACAAGACCCAACAACAATACAAGAAGAAGTATAAAT
S10V6-1         AATAAATCTGTAGAAATTAATTGCACAAGACCCAACAACAATACAAGAAGAAGTATAAAT
S10V2-2         AATAAATCTGTAGAAATTAATTGCACAAGACCCAACAACAATACAAGAAGAAGTATAAAT
S10V6-8         AATAAATCTGTAGAAATTAATTGCACAAGACCCAACAACAATACAAGAAGAAGTATAAAT
S10V4-4         AATAAATCTGTAGAAATTAATTGCACAAGACCCAACAACAATACAAGAAGAAGTATAAAT
S10V1-5         AATAAATCTGTAGAAATTAATCGCACAAGACCCAACAACAATACAAGAAGAAGTATAAAT
S10V2-1         AATAAATCTGTAGAAATTAATTGCACAAGACCCAACAACAATACAAGAAGAAGTATAAAT
S10V2-3         AATAAATCTGTAGAAATTAATTGCACAAGACCCAACAACAATACGAGAAGAAGTATAAAT
S10V2-6         AATAAATCTGTAGAAATTAATTGCACAAGACCCAACAACAATACAAGAAGAAGTATAAAT
S10V2-4         AATAAATCTGTAGAAATTAATTGCACAAGACCCAACAACAATACAAGAAGAAGTATAAAT
S10V1-2         AATAAATCTGTAGAAATTAATTGCACAAGACCCAACAACAATACAAGAAGAAGTATAAAT
S10V1-3         AATAAATCTGTAGAAATTAATTGCACAAGACCCAACAACAATACAAGAAGAAGTATAAAT
S10V1-4         AATAAATCTGTAGAAATTAATTGCACAAGACCCAACAACAATACAAGAAGAAGTATAAAT
S10V1-6         AATAAATCTGTAGAAATTAATTGCACAAGACCCAACAACAATACAAGAAGAAGTATAAAT
S10V1-7         AATAAATCTGTAGAAATTAATTGCACAAGACCCAACAACAATACAAGAAGAAGTATAAAT
S10V1-1         AATAAATCTGTAGAAATTAATTGCACAAGACCCAACAACAATACAAGAAGAAGTATAAAT
S10V2-5         AATAAATCTGTAGAAATTAATTGCACAAGACCCAACAACAATACAAGAAGAAGTATAAAT
S10V4-7         AATAAATCTGTAGAAATTAATTGCACAAGACCCAACAACAATACAAGAAGAAGTATAAAT
S10V4-10        AATAAATCTGTAGAAATTAATTGCACAAGACCCAACAACAATACAAGAAGAAGTATAAAT
S10V6-4         AATGAATCTGTAGAAATTAATTGCACAAGACCCAACAACAATAAAAGAAAAAGAATCAAT
S10V6-5         AATAAATCTGTAGAAATTAATTGCACAAGACCCAACAACAATAAAAGAAAAAGAATAACT
                *** ** ********** *** ************  * *** *  * *  **  **   *
S10V6-2         ATGGGACCAGGGAGAGCATTCTATACAACAGGAGACATAATAGGAGATATAAGGCAAGCA
S10V5-3         ATGGGACCAGGGAGAGTACTTTATACAACAGGAGAAATATTAGGAGATATAAGGCAAGCA
S10V4-8         ATGGGACCAGGGAGAGTACTTTATACAACAGGAGAAATAATAGGAGATATAAGGCAAGCA
S10V4-15        ATGGGACCAGGGAGAGTACTTTATACAACAGGAGAAATAATAGGAGATATAAGGCAAGCA
S10V5-4         ATGGGACCAGGGAGAGTACTTTATACAACAGGAGAAATAATAGGAGATATAAGGCAAGCA
S10V4-11        ATGGGACCAGGGAGAGTATTTTATACAACAGGAGAAATAATAGGAGATATAAGGCAAGCA
S10V5-7         ATGGGACCAGGGAGAGTATTGTATACAACAGGAGAAATAATAGGAGATATAAGGCAAGCA
S10V5-9         ATGGGACCAGGGAGAGTATTTTATACAACAGGAGAAATAATAGGAGATATAAGGCAAGCA
S10V5-10        ATGGGACCAGGGAGAGTATTGTATACAACAGGAGAAATAATAGGAGATATAAGGCAAGCA
S10V4-3         ATGGGACCAGGGAGAGTACTTTATACAACAGGAGAAATAATAGGAGATATAAGGCAAGCA
S10V4-12        ATGGGACCAGGGAGAGTATTTTATACAACAGGAGAAATGATAGGAGATATAAGGCAAGCA
S10V4-13        ATGGGACCAGGGAGAGTATTTTATACAACAGGAGAAATAATAGGAGATATAAGGCAAGCA
S10V5-2         ATGGGACCAGGGAGAGTATTTTATACAACAGGAGAAATAATAGGAGATATAAGGAAAGCA
S10V5-5         ATGGGACCAGGGAGAGTATTGTATACAACAGGAGAAATAATAGGAGATATAAGGCAAGCA
S10V5-6         ATGGGACCAGGGAGAGTATTGTATACAACAGGAGAAATAATAGGAGATATAAGGCAAGCA
S10V5-8         ATGGGACCAGGGAGAGTATTGTATACAACAGGAGAAATAATAGGAGATATAAGGCAAGCA
S10V4-6         ATGGGACCAGGGAGAGTATTGTATACAACAGGAGAAATAATAGGAGATATAAGGCAAGCA
S10V4-1         ATGGGACCAGGGAGAGTATTGTATACAACAGGAGAAATAATAGGAGATATAAGGCGAGCA
S10V5-1         ATGGGACCAGGGAGAGTATTGTATACAACAGGAGAAATAATAGGAGATATAAGGCGAGCA
S10V4-2         ATGGGACCAGGGAGAGTATTGTATACAACAGGAGAAATAATAGGAGATATAAGGCAAGCA
S10V4-14        ATGGGACCAGGGAGAGTATTGTATACAACAGGAGAAATAATAGGAGATATAAGGCAAGCA
S10V6-7         ATGGGACCAGGGAGAGCATTTTATGCAACAGGAGACATAATAGGAGATATAAGGCAAGCA
S10V4-5         ATGGGACCAGGGAGAGCATTTTATGCAACAGGAGAAATAATAGGAGATATAAGGCAAGCA
S10V4-16        ATGGGACCAGGGAGAGCATTCTATACAACAGGAGAAATAATAGGAGATATAAGGCAAGCA
S10V6-6         ATGGGACCAGGGAGAGCATTTTATGCAACAGGAGACATAATAGGAGATATAAGGCAAGCA
S10V4-9         ATGGGACCAGGGAGAGCATTCTATACAACAGGAGACATAATAGGAGATATAAGGCAAGCA
S10V6-3         ATGGGACCAGGGAGAGCATTGTATACAACAGGAGACATAATAGGAGATATAAGGCAAGCA
S10V6-9         ATGGGACCAGGGAGAGTATTTTATGCAACAGGAGAAATAATAGGAGATATAAGGCAAGCA
S10V6-10        ATGGGACCAGGGAGAGCATTTTATGCAACAGGAGAAATAATAGGAGATATAAGGCAAGCA
S10V6-1         ATGGGACCAGGGAGAGCATTTTATGCAACAGGAGAAATAATAGGAGATATAAGGCAAGCA
S10V2-2         ATGGGACCAGGGAGAGCATTTTATACAACAGGAGAAATAATAGGAGATATAAGGCAAGCA
S10V6-8         ATGGGACCAGGGAGAGTATTTTATACAACAGGAGAAATAATAGGAGATATAAGGCAAGCA
S10V4-4         ATGGGACCAGGGAGAGTATTTTATACAACAGGAGAAATAATAGGAGATATAAGGCAAGCA
S10V1-5         ATGGGGCCAGGGAGAGCATTTTATACAACAGGAGAAATAATAGGAGATATAAGGCAAGCA
S10V2-1         ATGGGACCAGGGAGAGCACTTTATACAACAGGAGAAATAATAGGAGATATAAGGCAAGCA
S10V2-3         ATGGGACCAGGGAGAGCATTTTATACAACAGGAGAAGTAATAGGAGATATAAGGCAAGCA
S10V2-6         ATGGGACCAGGGAGAGCATTTTATACAACAGGAGAAATAATAGGAGATATAAGGCAAGCA
S10V2-4         ATGGGACCAGGGAGAGCATTTTATACAACAGGAGAAATAATAGGAGATATAAGGCAAGCA
S10V1-2         ATGGGACCAGGGAGAGCATTATATACAACAGGAGAAATAATAGGAGATATAAGGCAAGCA
S10V1-3         ATGGGACCAGGGAGAGCATTTTATACAACAGGAGAAATAACAGGAGATATAAGGCAAGCA
S10V1-4         ATGGGACCAGGGAGAGCATTTTATACAACAGGAGAAATAATAGGAGATATAAGGCAAGCA
S10V1-6         ATGGGACCAGGGAGAGCATTTTATACAACAGGAGGAATAATAGGAGATATAAGGCAAGCA
S10V1-7         ATGGGACCAGGGAGAGCATTTTATACAACAGGAGAAATAATAGGAGATATAAGGCAAGCA
S10V1-1         ATGGGACCAGGGAGAGCATTTTATACAACAGGAGAAATAATAGGAGATATAAGGCAAGCA
S10V2-5         ATGGGACCAGGGAGAGCATTTTATACAACAGGAGAAATAATAGGAGATATAAGGCAAGCA
S10V4-7         ATGGGACCAGGGAGAGCATTTTATACAACAGGAGAAATAATAGGAGATATAAGGCAAGCA
S10V4-10        ATGGGACCAGGGAGAGCATTTTATACAACAGGAGAAATAGTAGGAGATATAAGGCAAGCA
S10V6-4         ATGGGACCAGGGAGAGTATTGTATACAACAGGAGAAATAATAGGAGATATAAGGCAAAGA
S10V6-5         ATGGGACCAGGGAGAGCATTGTATACAACAGGAGAAATAATAGGAGATATAAGGCAAAGA
                ***** ********** * * *** *********   *   *************  *  *
S10V6-2         CATTGTAACCTTAGTAGAACAGAATGGAATGACACTTTAAAACAGGCTGTCGACAAATTA
S10V5-3         CATCGTAACCTTAGTAGAACAGAATGGAATGACACTTTAAAACAGGTAGTTGACAAATTA
S10V4-8         CACTGTAGCCTTAGTAGAACAAAATGGCATGACACTTTAAAACAGGTAGTTGACAAGTTA
S10V4-15        CATTGTAACCTTAGTAGAACAAAATGGCATGACACTTTAAAACAGGTAGTTGACAAGTTA
S10V5-4         CATTGTAACCTTAGTAGAACAAAATGGAATGACACTTTAAAACAGGTAGTTAACAAATTA
S10V4-11        CATTGTAACCTTAGTAGAACAAAATGGAATGACACTTTAAAACAGGTAGTTGACAGGTTA
S10V5-7         CATTGTAACCTTAGTAGAACAGAATGGAATGACACTTTAAAACAGGTAGTTGACAAATTA
S10V5-9         CATTGTAACCTTAGTTGAACGAAATGGAATGACACTTTAAAACAGGTAGTTGACAAATTA
S10V5-10        CATTGTAACCTTAGTTGAACGAAATGGAATGACACTTTAAAACAGGTAGTTGACAAATTA
S10V4-3         CATTGTAACCTTAGTAGAACAGAATGGAATGACACTTTAAAACAGGTAGTTGACAAATTA
S10V4-12        CATTGTAACCTTAGTAGAACAAAATGGAATGACACTTTAAAACAGGTAGTTGACAAATTA
S10V4-13        CATTGTAACCTTAGTAGAACAAAATGGAATGACACTTTAAAACAGGTAGTTGACAAATTA
S10V5-2         CATTGTAACCTTAGTAGAACAAAATGGAATGACACTTTAAAACAGGTAGTTGACAAATTA
S10V5-5         CATTGTAACCTTAGTAGAACAAAATGGAATGACACTTTAAAACAGGTAGTTAACAAATTA
S10V5-6         CATTGTAACCTTAGTAGAACAAAATGGAATGACACTTTAAAACAGGTAGCTGACAAATTA
S10V5-8         CATTGTAACCTTAGTAGAACAAAATGGAATGACACTTTAAAACAGGTAGCTGACAAATTA
S10V4-6         CATTGTAACCTTAGTAGAACAAAATGGAATGACACTTTAAAACAGGTAGTTGACAAATTA
S10V4-1         CATTGTAACCTTAGTAGAACAAAATGGAATGACACTTTAAAACAGGTAGTTGACAAATTA
S10V5-1         CATTGTAACCTTAGTAGAACAAAATGGAATGACACTTTAAAACAGGTAGTTAACAAATTA
S10V4-2         CATTGTAACCTTAGTAGAACAAAATGGAATGACACTTTAAAACAGGTAGTTGACAAATTA
S10V4-14        CATTGTAACCTTAGTAGAACAAAATGGAATGACACTTTAGAACAGGTAGTTGACAAATTA
S10V6-7         CATTGTAACCTTAGTAGAACAAAATGGAATGACACTTTAAAACAGGCTGTTGCCAAATTA
S10V4-5         CATTGTAACCTTAGTAGAACAAAATGGAATGACACTTTAAAACAGGTAGTTGACAAATTA
S10V4-16        CATTGTAACCTTAGTAGAACAAAATGGCATGACACTTTAAAACAGGTAGTTGACAAGTTA
S10V6-6         CATTGTAACCTTAGTAGAACAAAATGGAATGACACTTTAAAACAAGTAGTTGACAAATTA
S10V4-9         CATTGTAACCTTAGTAGAACAAAATGGCATGACACTTTAAAACAGGTAGTTGACAAATTA
S10V6-3         CATTGTAACATTAGTAGAACAGAATGGAATGACACTTTAAAACAGGTAGTTGACAAATTA
S10V6-9         CATTGTAACCTTAGTAGAACAAAATGGAATGACACTTTAAAACAGGTAGTTGCCAAATTA
S10V6-10        CATTGTAACCTTAGTAGAACAAAATGGAATGACACTTTAAAACAGGTAGTTGACAAATTA
S10V6-1         CATTGTAACCTTAGTAGAACAAAATGGAATGACACTTTAAAACAGGTAGTTGCCAAATTA
S10V2-2         CATTGTAACCTTAGTAGAACAAAATGGAACGACACTTTAAAACAGGTAGTTGACAAATTA
S10V6-8         CATTGTAACCTTAGTAGAACAAAATGGAATGACACTTTAAAACAGGTAGTTGACAAATTA
S10V4-4         CATTGTAACCTTAGTAGAACAAAATGGAATGACACTTTAAAACAGGTAGTTGACAAATTA
S10V1-5         CATTGTAACCTTAGTAGAACAAAATGGAATGACACTTTAAAACAGGTAGTTGACAAATTA
S10V2-1         CATTGTAACCTTAGTAGAACAAAATGGAATGACACTTTAAAACAGGTAGTTGACGAATTA
S10V2-3         CATTGTAACCTTAGTAGAACAAAATGGAATGACACTTTAAAACAGGTAGTTGACAAATTA
S10V2-6         CATTGAAACCTTAGTAGAACAAAATGGAATGACACTTTAAAACAGGTAGTTGACAAATTA
S10V2-4         CATTGTAACCTTAGTAGAACAAAATGGAATGACACTTTAAAACAGGTAGTTGACAAATTA
S10V1-2         CATTGTAACCTTAGTAGAACAAAATGGAATGACACTTTAAAACAGGTAGTTGACAAATTA
S10V1-3         CATTGTAACCTTAGTAGAACAAAATGGAATGACACTTTAAAACAGGTAGTTGACAAATTA
S10V1-4         CATTGTAACCTTAGTAGAACAAAATGGAATGACACTTTAAAACAGGTAGTTGACAAATTA
S10V1-6         CATTGTAACCTTAGTAGAACAAAATGGAATGACACTTTAAAACAGGTAGTTGACAAATTA
S10V1-7         CATTGTAACCTTAGTAGAACAAAATGGAATGACACTTTAAAACAGGTAGTTGACAAATTA
S10V1-1         CATTGTAACCTTAGTAGAACAAAATGGAATGACACTTTAAAACAGGTAGTTGACAAATTA
S10V2-5         CATTGTAACCTTAGTAGAACAAAATGGAATGACACTTTAAAACAGGTAGTTGACAAATTA
S10V4-7         CATTGTAACCTTAGTAGAACAAAATGGAATGACACTTTAAAACAGGTAGTTGACAAATTA
S10V4-10        CATTGTAACCTTAGTAGAACAAAATGGAATGACACTTTAAAACAGGTAGTTGACAAATTA
S10V6-4         TATTGTAACCTTAGTAGAACAGAATGGAATGACACTTTAAAACAAGTAGTTGACAAATTA
S10V6-5         TATTGTAACCTTAGTAGAACAAAATGGAATGACACTTTAAAACAGGGTGCTGACAAATTA
                 *  * * * ***** ****  ***** * ********* **** *  *    *   ***
S10V6-2         AGAGAACAATTTAGGAACAAAACAATAATCTTTAATCAATCCTCA
S10V5-3         AGAGAACAATTTAGGAATAAAACAATAATCTTTAATCAATCCTCA
S10V4-8         AGAGAACAATTTAGGAATAAAACAATAATCTTTAATCAATCCTCA
S10V4-15        AGAGAACAATTTAGGAATAAAACAATAATCTTTAATCAATCCTCA
S10V5-4         AGAGAACAATTTAGGAATAAAACAATAATCTTTAATCAATCCTCA
S10V4-11        AGAGAACAATTTAGGAATAAAGCAATAATCGTTAATCAATCCTCA
S10V5-7         AGAGAACAATTTAGGAATAAAACAATAATCTTTAATCAATCCTCA
S10V5-9         AGAGAACAATTTAGGAATAAAACAATAATCTTTAATCAATCCTCA
S10V5-10        AGAGAACAATTTAGGAATAAAACAATAATCTTTAATCAATCCTCA
S10V4-3         AGGGAACAATTTAGGAATAAAACAATAATCTTTAATCAATCCTCA
S10V4-12        AGAGAACAATTTAGGAATAAAACAATAATCTTTAATCAATCCTCA
S10V4-13        AGGGAACAATTTAGGAATAAAACAATAATCTTTAATCAATCCTCA
S10V5-2         AGAGAACAATTTAGGAATAAAACAATAATCTTTAATCAATCCTCA
S10V5-5         AGGGAACAATTTAGGAATAAAACAATAATCTTTAATCAATCCTCA
S10V5-6         AGAGAACAATTTAGGAATAAAACAATAATCTTTAATCAATCCTCA
S10V5-8         AGAGAACAATTTAGGAATAAAACAATAATCTTTAATCAATCCTCA
S10V4-6         AGGGAACAATTTAGGAATAAAACAATAATCCTTAATCAATCCTCA
S10V4-1         AGGGAACAATTTAGGAATAAAACAATAATCTTTAATCAATCCTCA
S10V5-1         AGGGAACAATTTAGGAATAAAACAATAATCTTTAATCAATCCTCA
S10V4-2         AGAGAACAATTTAGGAATAAAACAATAATCTTTAATCAATCCTCA
S10V4-14        AGAGAACAATTTAGGAATAAAACAATAATCTTTAATCAATCCTCA
S10V6-7         AGAGAACAATTTAGGAACAAAACAATAATCTTTACTCAATCCTCA
S10V4-5         AGAGAACAATTTAGGAATAAAACAATAATCTTTAAGCAATCCTCA
S10V4-16        AGAGAACAATTTAGGAATAAAACAATAATCTTTAATCAATCCTCA
S10V6-6         AGAGAACAATTTAGGAACAAAACAATAATCTTTAATCAATCCTCA
S10V4-9         AGGGAACAATTTAGGAATAAAACAATAATCTTTAATCAATCCTCA
S10V6-3         AGAGAACAATTTAGGAATAAAACAATAATCTTTAATCAATCCTCA
S10V6-9         AGAGAACAATTTAGGAATAAAACAATAATCTTTACTCAATCCTCA
S10V6-10        AGAGAACAATTTAGGAATAAAACAATAATCTTTACTCAATCCTCA
S10V6-1         AGAGAACAATTTAGGAATAAAACAATAATCTTTACTCAATCCTCA
S10V2-2         AGAGAGCAATTTAGGAATAAAACAATAATCTTTAATCAATCCTCA
S10V6-8         AGAGAACAATTTAGGAATAAAACAATAATCTTTAATCAATCCTCA
S10V4-4         AGGGAACAATTTAGGAATAAAACAATAATCTTTAATCAATCCTCA
S10V1-5         AGAGAACAATTTAGGAATAAAACAATAATCTTTAATCAATCCTCA
S10V2-1         AGAGAACAATTTAGGAATAAAACAATAATCTTTAATCAATCCTCA
S10V2-3         AGAGAACAATTTAGGAATAAAACAATAATCTTTAATCAATCCTCA
S10V2-6         AGAGAACAATTTAGGAATAAAACAATAATCTTTAATCAATCCTCA
S10V2-4         AGAGAACAATTTAGGAATAAAACAATAATCTTTAATCAATCCTCA
S10V1-2         AGAGAACAATTTAGGAATAAAACAATAATCTTTAATCAATCCTCA
S10V1-3         AGAGAACAATTTAGGAATAAAACAATAATCTTTAATCAATCCTCA
S10V1-4         AGAGAACAATTTAGGAATAAAACAATAATCTTTAATCAATCCTCA
S10V1-6         AGAGAACAATTTAGGAATAAAACAATAATCTTTAATCAATCCTCA
S10V1-7         GGAGAACAATTTAGGAATAAAACAATAATCTTTAATCAATCCTCA
S10V1-1         AGAGAACAATTTAGGAATAAAACAATAATCTTTAATCAATCCTCA
S10V2-5         AGAGAACAATTTAGGAATAAAACAATAATCTTTAATCAATCCTCA
S10V4-7         AGAGAACAATTTAGGAATAAAACAATAATCTTTAATCAATCCTCA
S10V4-10        AGAGAACAATTTAGGAATAAAACAATAATCTTTAATCAATCCTCA
S10V6-4         AGAGAACAATTTAGGAATAAAACAATAATCTTTAATCAATCCTCA
S10V6-5         AGAGAACAATTTAGGAATAAAACAATAATCTTTAATCAATCCTCA
                 * ** *********** *** ******** ***  *********
- Sequence alignment for Subject 13
S13V4-1         GAGATAGTAATCAGATCTGAAAATTTCACAAACAATGCTAAAATCATAATAGTACAGCTG
S13V4-3         GAGATAGTAATCAGATCTGAAAATTTCACAAACAATGCTAAAATCATAATAGTACAGCTG
S13V4-2         GAGATAGTAATTAGATCTGAAAATTTCACAAACAATGCTAAAATCATAATAGTACAGCTG
S13V4-4         GAGATAGTAATTAGATCTGAAAATTTCACAAACAATGCTAAAATCATAATAGTACAGCTG
S13V3-6         GAGATAGTAATTAGATCTGAAAATTTCACAAACAGTGCTAAAATCATAATAGTACAGCTG
S13V5-3         GAGATAGTAATTAGATTTGAAAATTTCACAAACAATGCTAAAATCATAATAGTACAGCTG
S13V1-3         GAGATAGTAATTAGATCTGAAAATTTCACAAACAATGCTAAAATCATAATAGTACAGCTG
S13V1-4         GAGATAGTAATTAGATCTGAAAATTTCACAAACAATGCTAAAATCATAATAGTACAGCTG
S13V2-2         GAGATAGTAATTAGATCTGAAAATTTCACAAACAATGCTAAAATCATAATAGTACAGCTG
S13V3-1         GAGATAGTAATTAGATCTGAAAATTTCACAAACAATGCTAAAATCATAATAGTACAGCTG
S13V3-4         GAGATAGTAATTAGATCTGAAAATTTCACAAACAATGCTAAAATCATAATAGTACAGCTG
S13V3-5         GAGATAGTAATTAGATCTGAAAATTTCACAAACAATGCTAAAATCATGATAGTACAGCTG
S13V3-7         GAGATAGTAATTAGATCTGAAAATTTCACAAACAATGCTAAAATCATAATAGTACAGCTG
S13V5-2         GAGATAGTAATTAGATCTGAAAATTTCACAAACAATGCTAAAATCATAATAGTACAGCTG
S13V5-5         GAGATAGTAATTAGATCTGAAAATTTCACAAACAATGCTAAAATCATAATAGTACAGCTG
S13V1-2         GAGATAGTAATTAGATCTGAAAATTTCACAAACAATGCTAAAATCATAATAGTACAGCTG
S13V2-1         GAGATAGTAATTAGATCTGAAAATTTCACAAACAATGCTAAAATCATAATAGTACAGCTG
S13V3-2         GAGATAGTAATTAGATCTGAAAATTTCACAAACAATGCTAAAATCATAATAGTACAGCTG
S13V5-1         GAGATAGTAATTAGATCTGAAAATTTCACAAACAATGCTAAAATCATAATAGTACAGCTG
S13V1-1         GAGATAGTAATTAGATCTGAAAATTTCACAAACAATGCTAAAATCATAATAGTACAGCTG
S13V3-3         GAGATAGTAATTAGATCTGAAAATTTCACAAACAATGCTAAAATCATAATAGTACAGCTG
S13V4-5         GAGATAGTAATTAGATCTGAAAATTTCACAAACAATGCTAAAATCATAATAGTACAGCTG
S13V4-6         GAGATAGTAATTAGATCTGAAAATTTCACAAACAATGCTAAAATCATAATAGTACAGCTG
S13V4-7         GAGATAGTAATTAGATCTGAAAATTTCACAAACAATGCTAAAATCATAATAGTACAGCTG
S13V5-6         GAGATAGTAATTAGATCTGAAAATTTCACAAACAATGCTAAAACCATAATAGTACAGCTG
S13V5-4         GAGATAGTAATTAGATCTGAAAATTTCACAAACAATGCTAAAATCATAATAGTACAGCTG
                *********** **** ***************** ******** *** ************
S13V4-1         AAGGAATCTGTAGAGATTAATTGTACAAGACCCGGCAACAATACAAGAAGAAGTATACAT
S13V4-3         AAGGAATCTGTAGAGATTAATTGTACAAGACCCGGCAACAATACAAGAAGAAGTATACAT
S13V4-2         AAGGAATCTGTAGAAATTAATTGTACAAGACCCGGCAACAATACAAGAAGAAGTATAAAT
S13V4-4         AAGGAGTCTGTAGAAATTAATTGTACAAGACCCGGCAACAATACAAGAAGAAGTATAAAT
S13V3-6         AAGGAATCTGTAGAAATTAATTGTACAAGACCCGGCAACAATACAAGAAGAAGTATAAAT
S13V5-3         AAGGAATCTGTAGAAATTAATTGTACAAGACCCGGCAACAATACAAGAAGAAGTATAAAT
S13V1-3         AAGGAATCTGTAGAAATTAATTGTACAAGACCTGGCAACAATACAAGAAGAAGTATAAAT
S13V1-4         AAGGAATCTGTAGAAATTAATTGTACAAGACCTGGCAACAATACAAGAAGAAGTATAAAT
S13V2-2         AAGGAATTTGTAGAAATTAATTGTACAAGACCCGGCAACAATACAAGAAGAAGTATAAAT
S13V3-1         AAGGAATCTGTAGAAATTAATTGTACAAGACCCGGCAACAATACAAGAAGAAGTATAAAT
S13V3-4         AAGGAATCTGTAGAAATTAATTGTACAAGACCCGGCAACAATACAAGAAGAAGTATAAAT
S13V3-5         AAGGAATCTGTAGAAATTAATTGTACAAGACCCGGCAACAATACAAGAAGAAGTATAAAT
S13V3-7         AAGGAATCTGTAGAAATTAATTGTACAAGACCCGGCAACAATACAAGAAGAAGTATAAAT
S13V5-2         AAGGAATCTGTAGAAATTAATTGTACAAGACCCGGCAACAATACAAGAAGAAGTATAAAT
S13V5-5         AAGGAATCTGTAGAAATTAATTGTACAAGACCCGGCAACAATACAAGAAGAAGTATAAAT
S13V1-2         AAGGAATCTGTAGAAATTAATTGTACAAGACCCGGCAACAATACAAGAAGAAGTATAAAT
S13V2-1         AAGGAATCTGTAGAAATTAATTGTACAAGACCCGGCAACAATACAAGAAGAAGTATAAAT
S13V3-2         AAGGAATCTGTAGAAATTAATTGTACAAGACCCGGCAACAATACAAGAAGAAGTATAAAT
S13V5-1         AAGGAATCTGTAGAAATTAATTGTACAAGACCCGGCAACAATACAAGAAGAAGTATAAAT
S13V1-1         AAGGAATCTGTAGAAATTAATTGTACAAGACCTGGCAACAATACAAGAAGAAGTATAAAT
S13V3-3         AAGGAATCTGTAGAAATTAATTGTACAAGACCTGGCAACAATACAAGAAGAAGTATAAAT
S13V4-5         AAGGAATCTGTAGAAATTAATTGTACAAGACCCGGCAACAATACAAGAAGAAGTATAAAT
S13V4-6         AAGGAATCTGTAGAAATTAATTGTACAAGACCCGGCAACAATACAAGAAGAAGTATACAT
S13V4-7         AAGGAATCTGTAGAAATTAATTGTACAAGACCCGGCAACAATACAAGAAGAAGTATAAAT
S13V5-6         AAGGAATCTGTAGAAATTAATTGTACAAGACCCGGCAACAATACAAGAAGAAGTATAAAT
S13V5-4         AAGGAATCTGTAGAAATTAATTGTACAAGACCCGGCAACAATACAAGAAGAAGTATAAAT
                ***** * ****** ***************** ************************ **
S13V4-1         ATAGGACCAGGGAGAGCATTTTATGCATCAAAAGGAATAATAGGAGATATAAGACAAGCA
S13V4-3         ATAGGACCAGGGAGAGCATTTTATGCATCAAAAGGAATAATAGGAGATATAAGACAAGCA
S13V4-2         ATAGGACCAGGGAGAGCATTTTATGCATCAAAAGGAATAATAGGAGATATAAGACAAGCA
S13V4-4         ATAGGACCAGGGAGAGCATTTTATGCATCAAAAGGAATAATAGGAGATATAAGACAAGCA
S13V3-6         ATAGGACCAGGGAGAGCATTTTATGCATCAAGAGGAATAATAGGAGATATAAGACAAGCA
S13V5-3         ATAGGACCAGGGAGAGCATTTTATGCATCAAGAGGAATAATAGGAGATATAAGACAAGCA
S13V1-3         ATAGGACCAGGGAGAGCATTCTATGCATCAAGAGGAATAATAGGAGATATAAGACAAGCA
S13V1-4         ATGGGACCAGGGAGAGCATTTTATGCATCAAGAGGAATAATAGGAGATATAAGACAAGCA
S13V2-2         ATAGGACCAGGGAGAGCATTTTATGCATCAAGAGGAATAATAGGAGATATAAGACAAGCA
S13V3-1         ATAGGACCAGGGAGAGCGTTTTATGCATCAAGAGGAATAATAGGAGATATAAGACAAGCA
S13V3-4         ATAGAACCAGGGAGAGCATTTTATGCATCAAGAGGAATAATAGGAGATATAAGACAAGCA
S13V3-5         ATAGGACCAGGGAGAGCATTTTATGCATCAAGAGGAATAATAGGAGATATAAGACAAGCA
S13V3-7         ATAGGACCAGGGAGAGCATTTTATGCATCAAGAGGAATAATAGGAGATATAAGACAAGCA
S13V5-2         ATAGGACCAGGGAGAGCATTTTATGCATCAAGAGGAATAATAGGAGATATAAGACAAGCA
S13V5-5         ATAGGACCAGGGAGAGCATTTTATGCATCAAGAGGAATAATAGGAGATATAAGACAAGCA
S13V1-2         ATAGGACCAGGGAGAGCATTTTATGCATCAAGAGGAATAATAGGAGATATAAGACAAGCA
S13V2-1         ATAGGACCAGGGAGAGCATTTTATGCATCAAGAGGAATAATAGGAGATATAAGACAAGCA
S13V3-2         ATAGGACCAGGGAGAGCATTTTATGCATCAAGAGGAATAATAGGAGATATAAGACAAGCA
S13V5-1         ATAGGACCAGGGAGAGCATTTTATGCATCAAGAGGAATAATAGGAGATATAAGACAAGCA
S13V1-1         ATAGGACCAGGGAGAGCATTTTATGCATCAAGAGGAATAATAGGAGATATAAGACAAGCA
S13V3-3         ATAGGACCAGGGAGAGCATTTTATGCATCAAGAGGAATAATAGGAGATATAAGACAAGCA
S13V4-5         ATAGGACCAGGGAGAGCATTTTATGCATCAAGAGGAATAATAGGAGATATAAGACAAGCA
S13V4-6         ATAGGACCAGGGAGAGCATTTTATGCATCAAGAGGAATAATAGGAGATATAAGACAAGCA
S13V4-7         ATAGGACCAGGGAGAGCATTTTATGCATCAAGAGGAATAATAGGAGATATAAGACAAGCA
S13V5-6         ATAGGACCAGGGAGAGCATTTTATGCATCAAGAGGAATAATAGGAGATATAAGACAAGCA
S13V5-4         ATAGGACCAGGGAGAGCATTTTATGCATCAAGAGGAATAATAGGAGATATAAGACAAGCA
                ** * ************ ** ********** ****************************
S13V4-1         TATTGTAACATCAGTAAAGCAAAATGGGATAACACTTTAAGACAGGTAGCTGCAAAATTA
S13V4-3         TATTGTAACATCAGTAAAGCAAAATGGGATAACACTTTAAGACAGGTAGCTGCAAAATTA
S13V4-2         TATTGTAACATCAGTAAAGCAAAATGGGATAACACTTTAAGAAAGGTAGCTGCAAAATTA
S13V4-4         TATTGTAACATCAGTAAAGCAAAATGGGATAACACTTTAAGAAAGGTAGCTGCAAAATTA
S13V3-6         TATTGTAACATCAGTAAAGCAAAATGGGATAACACTTTAGGACAGGTAGCTGCAAAATTA
S13V5-3         TATTGTAACATCAGTAAAGCGAAATGGGATAACACTTTAGGACAGGTAGCTGCAAAATTA
S13V1-3         TATTGTAACATCAGTAAAGCAAAATGGGATAACACTTTAGGACAGGTAGCTGCAAAATTA
S13V1-4         TATTGTAACATCAGTAAAGCAAAATGGGATAACACTTTAGGACAGGTAGCTGCAAAATTA
S13V2-2         TATTGTAACATCAGTAAAGCAAAATGGGATAACACTTTAGGACAGGTAGCTGCAAAATTA
S13V3-1         TATTGTAACATCAGTAAAGCAAAATGGGATAACACTTTAGGACAGGTAGCTGCAAAATTA
S13V3-4         TATTGTAACATCAGTAAAGCAAAATGGGATAACACTTTAGGACAGGTAGCTGCAAAATTA
S13V3-5         TATTGTAACATCAGTAAAGCAAAATGGGATAACACTTTAGGACAGGTAGCTGCAAAATTA
S13V3-7         TATTGTAACACCAGTAAAGCAAAATGGGATAACACTTTAGGACAGGTAGCTGCAAAATTA
S13V5-2         TATTGTAACATCAGTAAAGCAAAATGGGACAACACTTTAGGACAGGTAGCTGCAAAATTA
S13V5-5         TATTGTAACATCAGTAAAGCAAAATGGGATAACACTTTAGGACAGGTAGCTGCAAAATTA
S13V1-2         TATTGTAACATCAGTAAAGCAAAATGGGATAACACTTTAGGACAGGTAGCTGCAAAATTA
S13V2-1         TATTGTAACATCAGTAAAGCAAAATGGGATAACACTTTAGGACAGGTAGCTGCAAAATTA
S13V3-2         TATTGTAACATCAGTAAAGCAAAATGGGATAACACTTTAGGACAGGTAGCTGCAAAATTA
S13V5-1         TATTGTAACATCAGTAAAGCAAAATGGGATAACACTTTAGGACAGGTAGCTGCAAAATTA
S13V1-1         TATTGTAACATCAGTAAAGCAAAATGGGATAACACTTTAGGACAGGTAGCTGCAAAATTA
S13V3-3         TATTGTAACATCAGTAAAGCAAAATGGGATAACACTTTAGGACAGGTAGCTGCAAAATTA
S13V4-5         TATTGTAACATCAGTAAAGCAAAATGGGATAACACTTTAAGACAGGTAGCTGCAAAATTA
S13V4-6         TATTGTAACATCAGTAAAGCAAAATGGGATAACACTTTAAGACAGGTAGCTGCAAAATTA
S13V4-7         TATTGTAACATCAGTAAAGCAAAATGGGATAACACTTTAAGACAGGTAGCTGCAAAATTA
S13V5-6         TATTGTAACATCAGTAAAGCAAAATGGGATAACACTTTAAGACAGGTAGCTGCAAAATTA
S13V5-4         TATTGTAACATCAGTAAAGCAAAATGGGATAACACTTTAAGACAGGTAGCTGCAAAATTA
                ********** ********* ******** ********* ** *****************
S13V4-1         AGAGGACAATTTGGGAATGCTACAATAGTCTTTAATCAATCATCA
S13V4-3         AGAGAACAATTTGGGAATGCTACAATAGTCTTTAATCAATCATCA
S13V4-2         AGAGAACAATTTGGGAATGCTACAATAGTCTTTAATCAATCATCA
S13V4-4         AGAGAACAATTTGGGAATGCTACAATAGTCTTTAATCAATCATCA
S13V3-6         AGAGAACAATTTAGGAATGCTACAATAGTCTTTAGTCAATCATCA
S13V5-3         AGAGAACAATTTAGGAATGCTACAATAGTCTTTAATCAATCATCA
S13V1-3         AGAGAACAATTTAGGAATGCTACAATAGTCTTTAATCAATCATCA
S13V1-4         AGAGAACAATTTAGGAATGCTACAATAGTCTTTAATCAATCATCA
S13V2-2         AGAGAACAATTTAGGAATGCTACAATAGTCTTTAATCAATCATCA
S13V3-1         AGAGAACAATTTAGGAATGCTACAATAGTCTTTAATCAATCATCA
S13V3-4         AGAGAACAATTTAGGAATGCTACAATAGTCTTTAATCAATCATCA
S13V3-5         AGAGAACAATTTAGGAATGCTACAATAGTCTTTAATCAATCATCA
S13V3-7         AGAGAACAATTTAGGAATGCTACAATAGTCTTTAATCAATCATCA
S13V5-2         AGAGAACAATTTAGGAATGCTACAATAGTCTTTAATCAATCATCA
S13V5-5         AGAGAACAATTTAAGAATGCTACAATAGTCTTTAATCAATCATCA
S13V1-2         AGAGAACAATTTAGGAATGCTACAATAGTCTTTAATCAATCATCA
S13V2-1         AGAGAACAATTTAGGAATGCTACAATAGTCTTTAATCAATCATCA
S13V3-2         AGAGAACAATTTAGGAATGCTACAATAGTCTTTAATCAATCATCA
S13V5-1         AGAGAACAATTTAGGAATGCTACAATAGTCTTTAATCAATCATCA
S13V1-1         AGAGAACAATTTAGGAATGCTACAATAGTCTTTAATCAATCATCA
S13V3-3         AGAGAACAATTTAGGAATGCTACAATAGTCTTTAATCAATCATCA
S13V4-5         AGAGAACAATTTGGGAATGCTACAATAGTCTTTAATCAATCATCA
S13V4-6         AGAAAACAATTTGGGAATGCTACAATAGTCTTTAATCAATCATCA
S13V4-7         AGAAAACAATTTGGGAATGCTACAATAGTCTTTAATCAATCATCA
S13V5-6         AGAGAACAATTTAGGAATGCTACAATAGTCTTTAATCAATCATCA
S13V5-4         AGAGAACAATTTAGGAATGCTACAATAGTCTTTAATCAATCATCA
                ***  *******  ******************** **********
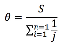
- Quantify the data by calculating the average pairwise genetic distance (theta) using the following equation

- S is given by counting the number of positions where there is at least 1 nucleotide difference across the clones for a subject
- Indicated by the lack of a "*" on the clustal alignment
 
| Subject | Number of Clones | S | Theta | 
|---|---|---|---|
| 5 | 43 | 2 | 13.33 | 
| 10 | 49 | 2 | 16.74 | 
| 13 | 26 | 2 | 6.49 | 
Activity 3: Defining your HIV evolution research project
- Do HIV-1 strains that lead to rapid progression exhibit similar mutations in similar concentrated areas along the env gene that define the progression state of the virus?
- Analyzing and comparing the HIV-1 clones of the first and last visits of subjects will reveal a common mutation that will distinguish rapid progressors from nonprogressors.
- This research project will analyze sequences of the clones from the first and last visits of some rapid progressors (subjects 4, 10, 11, 15, 3, and 1) and nonprogressors (subjects 2, 12, and 13). By comparing the sequences, if there is a location where mutations occur more frequently in rapid progressors, it will be highlighted and could be targeted b=for more efficient treatment since mutations in that location on the sequence could be a characteristic of rapid progression.
Scientific Conclusion
The purpose of this activity was to use various bioinformatical tools to analyze data from Markham et al. The activity showed that there are multiple ways to analyze, compare, and quantify genetic data. For example, sequences can be aligned to highlight differences among strains, which can be quantified by S and theta values. Phylogenetic analysis could be used to show the evolutionary relationship between strains.
Acknowledgements
- My homework partner for the week was Drew Cartmel
- We helped each other during class format some items on our pages like pictures, tables, and FASTA files.
- We worked together during class to refine our research question and plan out how we will answer it
- We consulted with Kam D. Dahlquist, Ph.D. in class to refine our research question
 
- I followed the protocol on BIOL368/S20:Week_5 to complete this page
- Code for Table 1 in Activity 2: Part 1 copied from this page (Table 2)
- Image for equation to calculate theta was taken from this page
- Links to complete sequences from first visits of patients from Markham et al. taken from this page
 
- All HIV-1 sequence data comes from the research done by Markham et al.
- Except for what is noted above, this individual journal entry was completed by me and not copied from another source.
Jmenzago (talk) 23:19, 19 February 2020 (PST)
References
- Markham, R. B., Wang, W. C., Weisstein, A. E., Wang, Z., Munoz, A., Templeton, A., ... & Yu, X. F. (1998). Patterns of HIV-1 evolution in individuals with differing rates of CD4 T cell decline. Proceedings of the National Academy of Sciences, 95(21), 12568-12573. doi: 10.1073/pnas.95.21.12568
- NCBI.gov. (2020). HIV-1 isolate S12V3-1 from USA envelope glycoprotein (env) gene, partial cds. Retrieved February 19, 2020 from https://www.ncbi.nlm.nih.gov/nuccore/AF089537.1?report=genbank
- NCBI.gov. (2020). HIV-1 isolate S12V3-1 from USA envelope glycoprotein (env) gene, partial cds. Retrieved February 19, 2020 from https://www.ncbi.nlm.nih.gov/nuccore/AF089537.1?report=fasta
- NCBI.gov. (2020). HIV-1 isolate S3V5-9 from USA envelope glycoprotein (env) pseudogene, partial sequence. Retrieved February 19, 2020 from https://www.ncbi.nlm.nih.gov/nuccore/AF089140.1?report=fasta
- NCBI.gov. (2020). HIV-1 isolate S10V6-7 from USA envelope glycoprotein (env) gene, partial cds. Retrieved February 19, 2020 from https://www.ncbi.nlm.nih.gov/nuccore/AF089493.1?report=fasta
- NCBI.gov. (2020). HIV-1 isolate S5V5-2 from USA envelope glycoprotein (env) gene, partial cds. Retrieved February 19, 2020 from https://www.ncbi.nlm.nih.gov/nuccore/AF089234.1?report=fasta
- NCBI.gov. (2020). HIV-1 isolate S4V3-18 from USA envelope glycoprotein (env) gene, partial cds. Retrieved February 19, 2020 from https://www.ncbi.nlm.nih.gov/nuccore/AF089181.1?report=fasta
- OpenWetWare. (2020). BIOL368/S20:Week 5. Retrieved February 19, 2020, from https://openwetware.org/wiki/BIOL368/S20:Week_5
- Phylogeny.fr. (2020). Retrieved February 19, 2020 from http://www.phylogeny.fr/.