Matthew E. Jurek Week 2
From OpenWetWare
Jump to navigationJump to search
Matthew E. Jurek BIOL398-03/S13
Assignment Page
- BIOL398-03/S13:Week_2
- BIOL398-03/S13:Week 3
- BIOL398-03/S13:Week 4
- BIOL398-03/S13:Week_5
- BIOL398-03/S13:Week_6
- BIOL398-03/S13:Week_8
- BIOL398-03/S13:Week_9
- BIOL398-03/S13:Week_11
- BIOL398-03/S13:Week_12
- BIOL398-03/S13:Week_13
- BIOL398-03/S13:Week_14
User Page
- Matthew E. Jurek Week 2
- Matthew E. Jurek Week 3
- Matthew E. Jurek Week 4
- Matthew E. Jurek Week 5
- Matthew E. Jurek Week 6
- Anthony J. Wavrin/Matthew E. Jurek Metabolic Pathways Project
- Matthew E. Jurek Week 8
- Matthew E. Jurek Week 9
- Matthew E. Jurek Week 11
- Matthew E. Jurek Week 12
- Matthew E. Jurek Week 13
- Matthew E. Jurek Week 14
- Final Presentation
Part 1
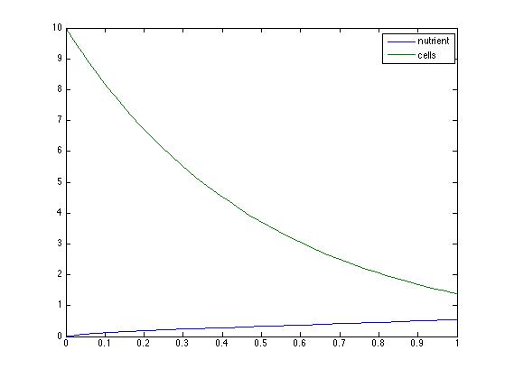
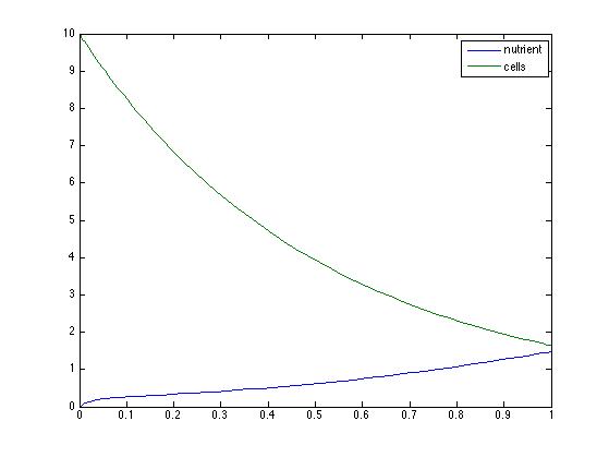
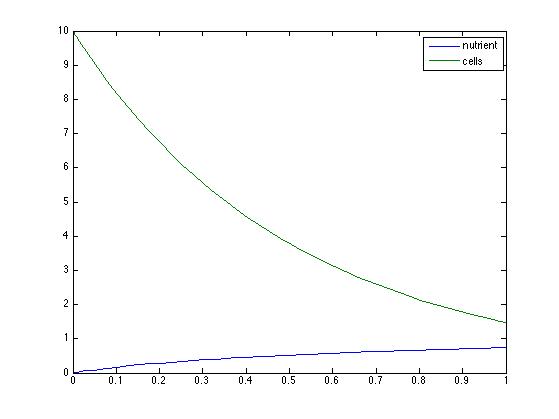
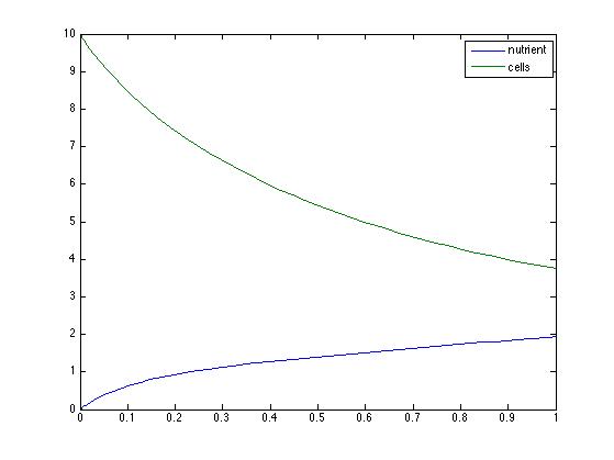
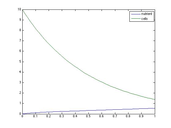
- Initially, the model was launched without nutrients (initial concentration= 0). Obviously the cells died as seen in the following image, No Nutrients. The inflow rate was increased and the cells died faster, Increased Inflow. Initially this was surprising, however it appears the increased inflow forces viable cells out quicker resulting in a greater death rate. This would explain the difference between the death of those cells in the presence of no nutrients, versus those in the presence of an increased flow. Next, the nutrient saturation was adjusted, leaving the inflow rate the same as the previous trial. It was thought the increase in nutrient saturation would decrease cell death, however this was not necessarily the case. The death rate is very similar to the previous trial, but the nutrient level is slightly higher, Increased Nutrient Saturation. With the increased nutrient saturation, the cells life-span is not much different than those seen in the previous image. There is a slight difference in the amount of nutrients as the saturation is higher. Seeing that the cell death was similar amongst the 3 initial trials, impeding this process became the focus. The nutrients coming into the chemostat were increased which had a positive impact on cell life, More Nutrients Coming In. This change had the greatest impact on cell life compared to the previous three trials. There are a handful of variables to this system and understanding how each variable works within the system is crucial to understanding how the entire system works. As expected, nutrients play a key role in survival. Increasing the nutrient saturation rate and increasing the nutrients entering the system both had a positive impact on the life of the cells within the system. One unexpected result was the inflow rate. Increasing this without accounting for more nutrients had a negative impact on the cells. It appears an increased inflow flushes out cells within the system leading to a greater death rate. Decreasing the inflow rate while increasing the nutrients available and increasing the efficiency rate would have the greatest impact on cell viability.
Part 2
- The following equation was used to create a logistic growth model N X R (1-N/a X C)). This is noted as this equation differs from the one used in Part 1. The logistic model incorporates the carrying capacity. Initially the system was launched with a constant for carrying capacity of 1, Constant for Carrying Capacity of 1. Next, the carrying capacity constant was increased to 100. This resulted in no change, Constant for Carrying Capacity of 100. All other variables, aside from the carrying capacity constant were kept the same. The population is limited by the amount of nutrients available. Although the carrying capacity was increased by a great magnitude, the amount of nutrients remained the same. Thus, the graphs appear the same. Next the overall efficiency was increased as the constant for carrying capacity was readjusted to 1. This resulted in a greater viability amongst the cells, Increased Efficiency. With a low carrying capacity and a high efficiency, the cells were able to use the nutrients more effectively than the previous trials. Using that same setup, the efficiency was increased to 5. This resulted in an extremely successful cell population, Efficiency of 5. Even as the nutrients decrease, the cells continue to replicate indicating the success of the increased efficiency. The increased efficiency of 5 was then tested with an increase in the inflow rate. The results were similar, however the cells illustrate a more drastic replication, Increased Inflow. The increase in volume within the chemostat enhanced the overall replication of the cells within the chemostat. This also would lead to a quicker death as an increase of liquid through the system would flush cells. Finally the inflow rate was greatly increased which produced an interesting result, Extreme Inflow. The large increase in inflow meant the system quickly reached its carrying capacity and then remained constant. This illustrates the relationship between cells and nutrients within a logistic model. No matter the parameters, the cells grow in a mirror-like fashion to the nutrients available. There is a log growth amongst the cells as the nutrients increase. The cells can only grow as rapidly as the carrying capacity allows, as seen in Extreme Inflow.
- Yeast is interesting because one of its own products is toxic to itself. Yeast is valuable for a number of reasons, including the production of alcohol (some may argue). Ironically, alcohol can poison yeast, which yeast itself produces. As a result. Yeast stuck in a chemostat could end up regulating their own life cycle. Once the alcohol products reach a certain level, the yeast would be killed. A new model could include a variable for products. In this case, the variable would represent alcohol production. As this number was increased within the model, there would also be a decrease in the number of cells. This would be an interesting model as the product was killing the creator.