Kasey E. O'Connor Week 5 Journal
From OpenWetWare
				
				
				Jump to navigationJump to search
				
				
Exploring Pathway Databases
Saccharomyces Genome Database
Human Homologues
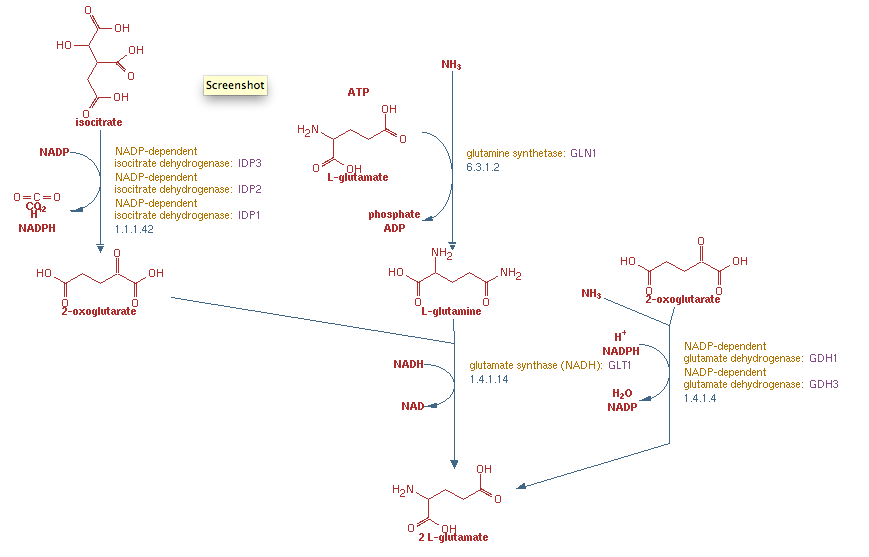
- GDH1 and GDH3 are homologous to 1NR1 and 1L1F in humans. Deficiency of these genes is linked to hyperinsulinism/hyperammonemia syndrome in humans.
- GDH2 is homologous to GLUD1 and GLUD2, both of which have a deficiency linked to hyperinsulinism/hyperammonemia syndrome in humans.
- GLN1 is homologous to 2OJW as well as 2QC8 in humans. A lack of these genes may be linked to neurodegenerative disorders.
Enzyme Encoding Genes
- GDH1: Expression is regulated by carbon and nitrogen sources, and is high in ethanol and glucose. GDH1 uses alpha-ketogluterate faster than GSH3, so under fermentive conditions, glutamate is synthesized.
- GDH3: Similarly to GDH1, expression is regulated by carbon and nitrogen sources. However, expression is induced by ethanol and repressed by glucose. In situations with limited carbon, GDH3 balances the synthesis of glutamate from alpha-ketogluterate and the energy used for metabolism.
- GDH2: Gene expression is regulated by the concentration of ammonia. As intracellular concentration increases, there is a decrease in expression. But, an increase in extracellular ammonia leads to an increased in the transcription and activity of GDH2.
- GLN1: The expression is regulated by the nitrogen source as well as by amino acid limitation.
- GLT1: Expression depends on the amount of nitrogen and glutamate that is accessible. In conditions with barely any amino acid, GLT1 activation is regulated by GCN4. depending upon the availability of nitrogen and glutamate in the medium. In amino acid starvation conditions, GLT1 expression is activated
Pathways and Reactions
- L-glutamate is in 56 pathways as a reactant or a product. It is also in 12 reactions that are not assigned to pathways.
- Nitrogen Pathway Image
- Parameters
The literature found on the SGD site for each enzyme gives informations on the parameters such as carbon concetrations and nitrogen concentrations in feed.
KEGG
- Nitrogen Pathway Image
[Pathway]
In this cycle, 12 of the genes are present in yeast cells. These are represented by the green highlighted boxes.
- New Information?
KEGG gives information on the amino acid and nucleotide sequence on the main page, which is different than SGD. It also provides a 3D image of the enzyme for further structural understanding.
Reactome
- Nitrogen Pathway Image
[[1]]
Useful Links
- BIOL398-03/S13 Homepage
- Kasey E. O'Connor
- Shared Class Journals
- Kasey E. O'Connor Week 1 Shared Journal
- Kasey E. O'Connor Week 2 Shared Journal
- Kasey E. O'Connor Week 3 Shared Journal
- Kasey E. O'Connor Week 4 Shared Journal
- Kasey E. O'Connor Week 5 Shared Journal
- Kasey E. O'Connor Week 6 Shared Journal
- Kasey E. O'Connor Week 8 Shared Journal
- Kasey E. O'Connor Week 9 Shared Journal
- Kasey E. O'Connor Week 11 Shared Journal
- Kasey E. O'Connor Week 12 Shared Journal
- Kasey E. O'Connor Week 13 Shared Journal
- Kasey E. O'Connor Week 14 Shared Journal
 
- Individual Journal
- Kasey E. O'Connor Week 2 Journal
- Kasey E. O'Connor Week 3 Journal
- Kasey E. O'Connor Week 4 Journal
- Kasey E. O'Connor Week 5 Journal
- Kasey E. O'Connor Week 6 Journal
- Kasey E. O'Connor Week 8 Journal
- Kasey E. O'Connor Week 9 Journal
- Kasey E. O'Connor Week 11 Journal
- Kasey E. O'Connor Week 12 Journal
- Kasey E. O'Connor Week 13 Journal
- Kasey E. O'Connor Week 14 Journal
 
- Assignments
- Research Projects
