BME100 f2014:Group32 L5

From OpenWetWare
Jump to navigationJump to search
BME 100 Fall 2014 Home
People
Lab Write-Up 1 | Lab Write-Up 2 | Lab Write-Up 3
Lab Write-Up 4 | Lab Write-Up 5 | Lab Write-Up 6
Course Logistics For Instructors
Photos
Wiki Editing Help


OUR TEAM

Name: Isaiah Gonzales
Name: Fahhad Ashour
Name: Blake Bosold
Name: Royal Boggs
Name: Neal Viswanath
Name: Nava Nozari


LAB 5 WRITE-UP

Procedure

Smart Phone Camera Settings

  • Type of Smartphone: iphone
    • Flash: no flash
    • ISO setting: 800
    • White Balance: Auto
    • Exposure: 2
    • Saturation:326 ppi.
    • Contrast: 800:1

Calibration
Instructions:

  1. Using the Blue LED switch, turn on the excitation light.
  2. With your smart phone turn on the camera and check the settings. If the settings can be adjusted, do so accordingly as described above.
  3. Place the smart phone in the cradle at a right angle from the slide. If necessary, adjust the height of the fluorimeter using the plastic trays. The camera should take a picture of the drop sideways as to make filtering the blue light easier using ImageJ.
  4. Without making the image blurry, adjust the distance between the smartphone/cradle and the first two rows of the slide so that it as close as possible.
  5. Using the ruler provided in lab, measure the distance between the smart phone cradle and drop. Be careful not to move any equipment when measuring the distance as this could result in a significant difference from one image to the next.
  • Distance between the smart phone cradle and drop = 7 cm


Solutions Used for Calibration

Initial concentration of Calf Thymus DNA Solution (ug/mL) Volume of the DNA solution (uL) Volume of the SYBR Green I Solution (uL) Final DNA in the SYBR Green Solution (ug/mL)
5 80 80 2.5
2 80 80 1
1 80 80 0.5
0.5 80 80 0.25
0.25 80 80 0.125
0 80 80 0



Placing Samples onto the Fluorimeter

  1. Using the pipettor, place a 80 microliter drop of SYBR GREEN I in the middle of the first two rows of the slide. Then add 80 microliters of one of the calf thymus (water blank) solutions listed in the table above. This is now considered a "drop" or "sample."
  2. Move the slide so that the blue LED light is focused by the drop to the middle of the black fiber optic fitting on the other side of the drop.
  3. Adjust the timer on the camera to take a picture after covering the fluorimeter and camera with the light box. The light box should remove as much stray light as possible.
  4. Take three pictures of the drop.
  5. Remove the box. Do not move the smartphone. To adjust for movement, use the ruler to return to the previous distance.
  6. Remove the 160 microliter drop from the surface using the pipettor and move the slide to the next position.
  7. Repeat steps 1-6 for the other concentrations of calf thymus DNA.
  8. If mistakes are made, rerun the calibration.


Fluorimeter Set Up Image

Data Analysis

Representative Images of Negative and Positive Samples


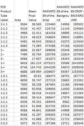
Image J Values for All Calibrator Samples






Calibration curve

PCR Results Summary

  • Our positive control PCR result was 38.11931047 μg/mL
  • Our negative control PCR result was 25.04827766 μg/mL

Observed results

  • Patient 39917 : The images for this patient did not glow a bright green and were usually dark blue or light blue as is reflected by the light. There was a shadowy air bubble for the PCR reaction solution that was perhaps trapped inside of the drop. The solution values for the three different images that were analyzed were: 19.59540867, 21.48631432, 24.92983236 μg/mL respectively.
  • Patient 34918 : The images for this patient as well did not glow green and were just a clear color with the blue led light reflected onto it. There was a bubble of the sample in the center as well. The solution values for these three different images were: 27.50419844, 19.51289755, 23.46186438 μg/mL respectively.

Conclusions

  • Patient 39917 : Because these images did not glow and the values calculated for the initial PCR solutions product concentrations was directly in line with the negative sample initial PCR product concentration, these samples were negative as well.
  • Patient 34918 : This sample is negative by the same reasoning: the images did not glow a bright green indicating that there was a reaction happening in solution and the values calculated for the initial PCR solution product concentrations was inline with the negative sample initial PCR product concentrations.




SNP Information & Primer Design

Background: About the Disease SNP

Disease SNP is a DNA sequence variation occurring commonly within a population in which a single nucleotide — A, T, C or G — in the genome (or other shared sequence) differs between members of a biological species or paired chromosomes. For example, two sequenced DNA fragments from different individuals, AAGCCTA to AAGCTTA, contain a difference in a single nucleotide. This usually occurs in non coding regions more frequently than in coding regions, where the natural selection is fixing the alleles i.e where mutation takes place. This is the cause of several different diseases including Alzheimer, also causes blood diseases and many others. The disease in this experiment is variation rs16991654 located on 34370656 where a thymine has been mutated into cytosine is associated with the disease congenital long QT syndromes.


Primer Design and Testing

Primers are designed and used in PCR reactions to bind to a specific region of DNA to allow for amplification, if the specific section of DNA the primer is designed to attached to is not present the PCR amplification cannot happen. For any section of DNA to be amplified you need at least two primers, one to attach to the 3' strand of DNA and another to attach to the 5' strand. In this lab the primer design was for the disease SNP variation rs16991654 in the human genome. The 5' primers begins its sequence on the origin of the disease SNP variation at location 34370656 on the human genome where a thymine has been mutated to a cytosine, then are the regular base pairs for 19 base pairs. The 3' primer begins its sequence on 34370676 on the human genome where it continues for 19 base pairs and ends on the disease SNP. The primers can be validated using the UCSC In-Silico PCR website. Once inputted the two non-diseased primers, with the mutated cytosine on the location 34370676 being a normal thymine, can be tested to be a match the sequence of rs16991654.


Picture of location 34370656 on the human genome

http://puu.sh/cNmoF/087fef31bb.png

Picture of the completed testing of non-mutated primers using the USCS In-Silico PCR website

http://puu.sh/cNmMl/10416dfa7f.png