Talk:20.109(S12):Aptamer binding assay (Day7)

From OpenWetWare
Jump to navigationJump to search


20.109(S12): Laboratory Fundamentals of Biological Engineering

Home        Schedule Spring 2012        Assignments       
RNA Engineering        Protein Engineering        Cell Engineering              

Binding Data Files

Group T/R zip data file W/F zip data file
Red Media:S12-M1-TR_Red.csv Media:S12-M1-WF_Red.csv
Orange Media:S12-M1-TR_Orange.csv Media:S12-M1-WF_Orange.csv
Yellow Media:S12-M1-TR_Yellow.csv Media:S12-M1-WF_Yellow.csv
Green Media:S12-M1-TR_Green.csv Media:S12-M1-WF_Green.csv
Blue Media:S12-M1-TR_Blue.csv Media:S12-M1-WF_Blue.csv
Pink Media:S12-M1-TR_Pink.csv Media:S12-M1-WF_Pink.csv
Purple Media:S12-M1-TR_Purple.csv Media:S12-M1-WF_Purple.csv


Binding Data Results Summary

T/R

* Be sure to post the values you got after baseline correction, not the raw data (if your curves didn't line up)!
* Order: heme, 6-5, 8-12, "pre" mix, post low wash, post high wash
* Recommended syntax for A405 column: "#1 ; #2; #3 <br> #4; #5; #6"


Group Corrected A405 values* Pre % 8-12: expected, measured Post % 8-12: fewer washes, more washes (measured) Additional comments
Syntax sample 0.1; 0.2; 0.3
0.4; 0.5; 0.6
10%, 12% 40%, 50% (4, 24 washes) We used Grey group's 6-5 because we didn't have any.
Pink 0.14025053 (heme)
0.1422987 (6-5 pre)
0.21195409 (8-12 pre) 0.13888393 (mix pre)
0.16228816 (4 wash)
0.17831185 (24 wash)
0.5%, -0.049% 28.70% (4 wash), 51.70% (24 wash) We started with a 0.5% 8-12 mixture and washed with 4 and 24 washes to measure enrichment
Binding Curves - Pink
Orange 0.034495637(heme)
0.03498132(pre6-5)
0.045843026(pre8-12)
0.03623888(pre-mix)
0.041412034 (4 Wash)
0.040929238(24 Wash)
1%, 11.5% 59.2% (4 Washes), 54.7% (24 Washes) We started with a 1% 8-12 mixture and washed with 4 and 24 washes to measure enrichment.
We also generated very little RNA (~.3nmol), and thus had to dilute everything down to this amount.
Binding Curves - Orange
Yellow 0.155;0.160212;0.2070;
0.1642;0.1768;0.1776
0.25%, 8.6% 35%, 37%(4 and 24 washes) We started with 0.25% 8-12 mixture and washed with 4 and 24 washes
Red 0.218110 (heme)
0.211707 (6-5 pre)
0.277449 (8-12 pre)
0.215079 (mix pre)
0.237636 (4 wash)
0.256438 (24 wash)
2% (expected)
5.13% (measured)
39.44% (4 washes)
62.91% (24 washes)
Started with 2% 8-12 mixture and washed with 4 and 24 washes.
Binding Curves - Red
Green 0.182316407(heme)
0.174965575(6-5 pre)
0.257898369(8-12 pre)
0.178721126 (mix pre)
0.185683139 (8 wash)
0.192153301(36 wash)
1% (expected),4.52 %(measured) 12.92, 20.72 % (8 and 36 washes) Started with 1% 8-12 mixture and washed with 8 and 36 washes.
Purple 0.084126; 0.085602645; 0.13737727;
0.09304013; 0.14838624; 0.12533093
10% (expected), 14.37% (measured) 121.1 % (4 washes), 76.7% (24 washes) Started with 10% 8-12 mixture and washed with 4 and 24 washes.
Binding Curves - Purple
Blue 0.0415141 (heme)
0.040754 (6-5 pre)
0.068389 (8-12 pre)
0.05368(mix pre)
0.066094(10 wash)
0.067595 (30 wash)
10% (expected), 46.77% (measured) 91.69% (10 washes), 97.13% (30 washes) Started with 10% 8-12 mixture and washed with 10 and 30 washes.


W/F

* Be sure to post the values you got after baseline correction, not the raw data (if your curves didn't line up)!
* Order: heme, 6-5, 8-12, "pre" mix, post low wash, post high wash
* Recommended syntax for A405 column: "#1 ; #2; #3 <br> #4; #5; #6"


Group Corrected A405 values* Pre % 8-12: expected, measured Post % 8-12: fewer washes, more washes (measured) Additional comments
Syntax sample 0.1; 0.2; 0.3
0.4; 0.5; 0.6
10%, 12% 40%, 50% (4, 24 washes) We used Grey group's 6-5 because we didn't have any.
Purple 0.116802; 0.114059; 0.189595
0.11671; 0.148567 (4degC); 0.161949 (22degC)
2%, 3.51% 45.89% (4degC), 63.39% (22degC) We varied temperature (4deg, 22degC), keeping 20 washes constant.
Binding Curves - Purple
Orange 0.172318067; 0.240679354; 0.174157415
0.188253912 (4 washes); 0.18944774(24 washes)
0.5%, 2.69% 23.31% (4 washes), 25.05% (24 washes) We lowered the pre-selection % of 8-12 keeping average wash conditions of 4 and 24 washes.
Binding Curves - Orange
Blue 0.139942214; 0.136271253; 0.220732734
0.147463577; 0.179008305 (8 Washes); 0.170598522 (16 Washes)
10.0%, 14.0% 53.4% (8 Washes), 42.9% (16 Washes)
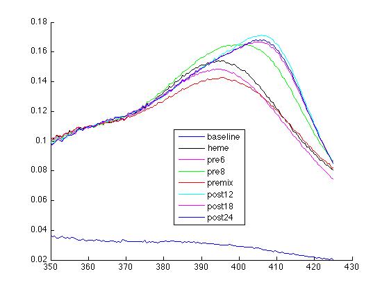
Red .1380; .1326; .1620
.1320; 1709 (12 washes); .1669 (18 washes); .1678 (24 washes)
10%,negative percentage more than 100% for all three wash conditions (12, 18, 24)
Green 0.101436131 (heme)
0.116573468 (6-5 pre)
0.175222094 (8-12 pre)
0.143155725 (mix pre)
0.141258046 (24 wash)
50%, 44.26% 41.1% (24 wash) We lost our other sample (4 washes) due to a problem in either the wash step or the RTPCR step, so we had just one sample.
Binding Curves - Green
Yellow 0.1091; 0.1751; 0.2597
0.1728; 0.1868; 0.2064
1%, -2.6% (wrong) 14% (4 washes), 37% (24 washes) Something has definitely gone wrong! We aren't sure what yet, but you may want to exclude our data from your analysis :/
Binding Curves (Yellow)
Pink 0.16402881 (blank)
0.18001003(heme)
0.17570107 (pre 6-5)
0.22806994 (pre 8-12)
0.18219722 (pre mix)
0.19595873 (2 wash) 0.19819184 (34 wash)
10%, 12.4% 38.7% (2 wash), 42.9% (34 wash)
Binding Curves (Pink)