Streptomyces:Research

From OpenWetWare
Jump to navigationJump to search

Our research outline

Streptomyces @ UEA

Home        Research        Research Groups        Publications        Resources        Meetings        Links        Contact

<html> <script type="text/javascript" language="javascript"> var sc_project=2419278; var sc_invisible=1; var sc_partition=22; var sc_security="abf914b3"; </script> <script type="text/javascript" language="javascript" src="http://www.statcounter.com/counter/counter.js"></script><noscript><a href="http://www.statcounter.com/" target="_blank"><img src="http://c23.statcounter.com/counter.php?sc_project=2419278&java=0&security=abf914b3&invisible=0" alt="web metrics" border="0"></a> </noscript> <a href=http://www.theresonly1.eu> </a> <a href=http://www.theresonly1.co.uk> </a> <a href=http://www.rahart.eu> </a> <a href=http://www.jimandsarah.plus.com> </a> <a href=http://www.uea.ac.uk/~b101> </a> <a href=http://www.uea.ac.uk/~tdc07rfu> </a> </html>

Research

Gabriella Kelemen

Key Research Interests

Our main research interest is studying bacterial development of Streptomyces coelicolor, a Gram-positive, filamentous bacterium. Unlike most bacteria that divide by binary fission, in Streptomyces coelicolor long, multigenomic filaments are formed with ocasional septa and regular branching. Cell division is completed only during sporulation when 50-100 sporulation septa are laid down synchronously in the aerial hyphae generating unigenomic spore compartments.

Current Projects Include:

  • The role of specific RNA polymerase holoenzymes controlling development and stress response
  • Global characterisation of spore maturation and germination
  • Cytoskeletal proteins
  • Chromosome organisation during hyphal growth



Matt Hutchings

Key Research Interests

We are interested in how bacteria interact with the environment and how they sense and respond to environmental signals. All bacteria contain a cell envelope which consists of at least one cell membrane and (in most cases) a cell wall. Bacteria interact with their environment using cell surface proteins which are anchored either in the cell wall or the cell membrane. We are characterising two classes of these proteins in the filamentous bacteria Streptomyces. The first class are called sensor kinases and they span the membrane and transmit signals from the outside to the inside of the cell. They pass these signals to cognate response regulator proteins inside the cell and these bring about a response to the original signal, usually by altering gene expression. The second class are called lipoproteins and are attached by a lipid modification to the outside of the cell membrane. They have diverse roles including the scavenging of nutrients, surface attachment, virulence, respiration and the assembly of secreted proteins. We are looking into their roles in signal transduction and virulence in these soil bacteria.


Richard Bowater

Key Research Interests

Having trained as a biochemist, my research interests have broadened out to encompass methodologies that involve biophysical chemistry, microbiology and molecular biology. More recently, I have even dabbled with bioinformatics and structural biology! The research focus of my group is macromolecular interactions of bacterial DNA repair proteins and we have focused attention on DNA ligases. Our experiments are performed in vitro or in bacterial model organisms.

Current Projects Include:

  • physiological functions of DNA ligases in bacteria
  • RNA ligases of bacteria and viruses
  • Application of novel approaches to assay the integrity of the backbone of nucleic acids
  • DNA repair pathways of Ferroplasma acidarmanus - this archaea grows at 40 °C in the most acidic environment on earth (pH <1)!
  • Relationship between DNA metabolism and genetic instability of DNA repeats



Rebecca Goss

Key Research Interests

The group is interested in the biosynthesis of natural products and in how these biosynthetic pathways may be harnessed to generate natural products of our own design. Many natural products are of medicinal importance. We are also interested in determining the molecular mode of action of drug molecules. It is our aim to couple these two interests, manipulating biosynthetic pathways to expediently access series of otherwise synthetically intractable natural product analogues, which can be utilised in structure activity determination.

Current Projects Include:

  • New halo-tryptophan "natural" products

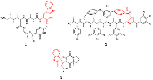
The antibiotic pacidamycin (Figure 1) (Streptomyces coeruleorubidus), the HIV-1 integrase inhibitor complestatin (Figure 2) (Streptomyces lavendulae), and the potential antitumor agent spirotryprostatin (Figure 3) (Aspergillus fumigatus) all contain a tryptophan moiety. It is envisaged that synthesising and feeding halogenated tryptophans to the producing microorganisms will produce novel halogenated analogues of these compounds, with potentially improved bioactivities and bioavailabilities.

Figures 1, 2 & 3.


  • Generation of novel fluorinated rapamycin analogues via a directed biosynthetic strategy

Due to its efficacy in binding proteins FKBP12 and the rapamycin associated binding protein (FRAP), rapamycin (Figure 4) (Sirolimus) is used clinically as an immunosuppressant. Crystal structure analyses have shown that a crucial hydrogen bond exists between Gln53 of FKBP12 and the hydroxyl group on the substituted cyclohexane ring of rapamycin. Glu54 is also proximal to this moiety. Modifications to the cyclohexane ring will alter these bonding interactions and could potentially have a beneficial affect on rapamycin's immunosuppressive properties. Rapamycin is biosynthesised by Streptomyces hygroscopicus. This organism has demonstrated low substrate specificity in its selection of a starter unit, the substituted cyclohexane carboxylic acid. A range of fluorinated cyclohexanoic acids are being synthesised for incorporation studies into rapamycin. Similar studies are being performed with the polyketide antibiotic erythromycin. Crystallographic studies of novel rapamycin analogues with FKBP12 and FRAP will be undertaken.

Figure 4.