OSDDMalaria:OSDD Malaria Paper 1
Open Source Drug Discovery for Malaria - Highly Potent Compounds Derived from the GSK Arylpyrrole Set
Vicky Avery
Felix Calderon
Sandra Duffy
Javier Gamo
Zoe Hungerford, School of Chemistry, The University of Sydney, NSW 2006, Australia
James Pham
Stuart Ralph
Matthew H. Todd, School of Chemistry, The University of Sydney, NSW 2006, Australia
Paul Willis
Paul Ylioja, School of Chemistry, The University of Sydney, NSW 2006, Australia
Additional authors - add alphabetically if you contribute something substantial. Please include some public place you can be contacted, e.g. a G+ account.
The licence for this page is CC BY 3.0
1) The article is open source, like Wikipedia. Anyone can add and edit. To contribute you will need to get an account on OWW (quick and easy). People contributing something lasting and substantial will be named authors. Final arbitration on what qualifies as authorship lies with Mat Todd, who is the corresponding author for this paper.
2) References for the papers described here may be found in full at the (pending page). Chemdraw files for the schemes are currently held in a Dropbox folder we can share with anyone who needs it. PNG files are hosted on this wiki site.
3) When editing remember to include a reason for your edit, to make it easier to revert back to an original version if needed.
4) This paper will eventually be submitted to a peer-reviewed open access journal. All data should be on this page, as would be expected for a paper submission, but links to the raw data (i.e. ELN pages) should also be provided.
Simultaneous edits: If you are intending to work for some time on editing the page, we'd recommend writing text elsewhere then pasting it in here, since there is a small but non-zero chance that you might simultaneously edit the same section as someone else, resulting in the chance of the loss of some information.
Schemes: Use Wiley/Angewandte settings for the .cdx files and add below as 300 dpi .png files [PLoS only accepts .eps and .tiff].
References: Please use the citation style below (click to see the page source for formatting details) and include a link to the DOI of the paper to that it may be checked easily.
Introduction
Possible background to include: lead-oriented synthesis paper (tenuous) and decline of R&D efficiency paper (good).
Malaria's continuing impact.
Emergence of resistance to artemisinin on the Thai-Myanmar border: http://www.thelancet.com/journals/lancet/article/PIIS0140-6736%2812%2960484-X/abstract.
Description of how the open project worked.
Synthesis
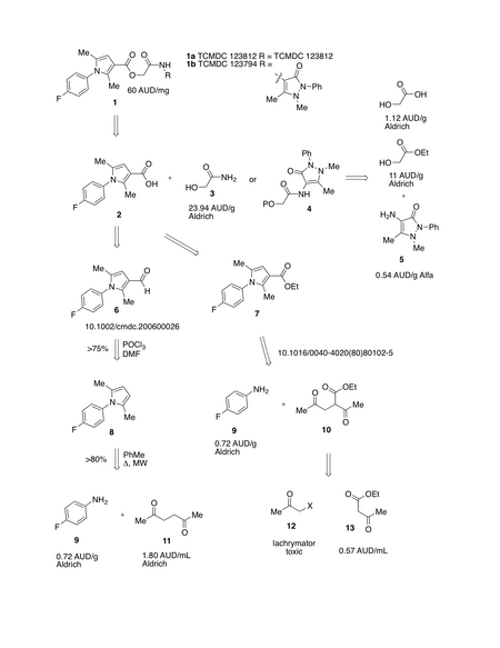
The initial targets were TCMDC-123812 and its 4-aminoantipyrine derivative TCMDC-123794. The aryl pyrrole core was obtained via a Paal-Knorr cyclisation using 4-fluoroaniline and 2,5-hexanedione. This gave multi-gram quantities of the pyrrole that could be furnished with an aldehyde in good yield using Vilsmeier-Haack conditions. Unfortunately, the subsequent oxidation of this aldehyde failed to give the desired carboxylic acid in synthetically useful yields. Instead ethyl 2-acetyl-4-oxopentanoate was synthesised and cyclised to the desired pyrrole ester. Hydrolysis followed by conversion to the acid chloride and coupling with glycolamide side chains (xxx and xxx) gave both TCMDC-123812 and TCMDC-123794 in xxx and xxx% yield respectively.

The 2-iminothiazolidinone analogues were obtained from the pyrrole aldehyde and 2-phenyliminothiazolidin-4-one using conditions used by Roberts. These could then be converted to the acyl, cyclohexyl and acetonitrile derivatives...
Evaluation
The first round of compounds were evaluated against 3D7 (drug-sensitive) and K1 (resistant). The screen was repeated in three different institutions using different assays. These identified 2-iminothiazolidinone aryl pyrroles as active anti-malarial compounds and confirmed GSK Tres Cantos data set compounds TCMDC-123812 and TCMDC-123794 as active, although less than previously reported. The parent ester and aldehyde compounds were found to be inactive against malaria, indicating that hydrolysis of TCMDC-123* does not result in increased activity, but could result in deactivation. HEK293
The second round focused on a wider range of 2-iminothiazolidinone analogues. A number of highly active compounds were identified but the most active compounds suffer from poor solubility and high logP. Also the 2-iminothiazolidinone component was shown to be inactive on its own (ZYH 23-1), indicating that both the aryl pyrrole and the 2-iminothiazolidinone are required for activity.
Conclusions
Acknowledgements
Experimental Details for Novel Compounds
Identities of compounds are here
The original lab notebook entries and data can be found here
Pyrroles
Pyrrole aldehydes
Pyrrole esters
Pyrrole amides
Pyrrole acids
Thiazolidinones
Pyrrole Thiazolidinones
Experimental Details for Biological Evaluation
Description of the biological evaluation can be found here
GSK Assay
Avery Assays
Bio21 Assays
Supporting Information Section
Insert details for known compounds here.
References
(Use PLoS style - see Gamo et al for an example, or the official guidelines are here. Arrange references below in alphabetical order of first author)
- Gamo FJ, Sanz LM, Vidal J, de Cozar C, Alvarez E et al (2010) Thousands of chemical starting points for antimalarial lead identification. Nature 465: 305-310 (DOI: 10.1038/nature09107)