Kevin Matthew McKay week 4
From OpenWetWare
				
				
				Jump to navigationJump to search
				
				
- BIOL398-03/S13:Week 4
- user:Kevin Matthew McKay
 
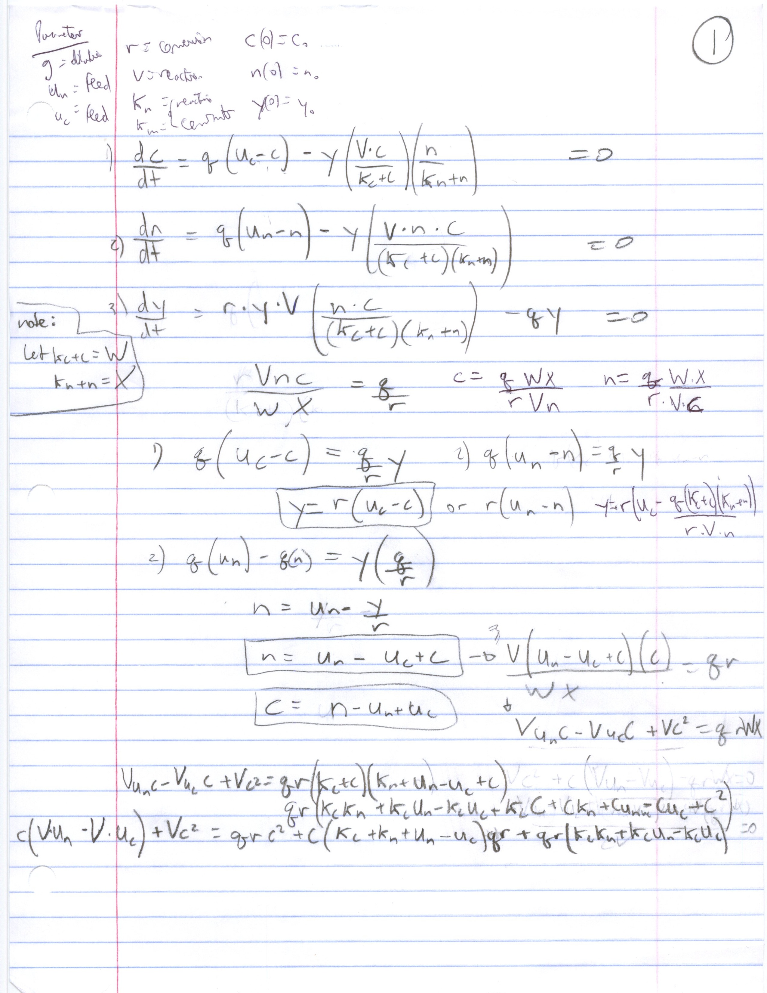
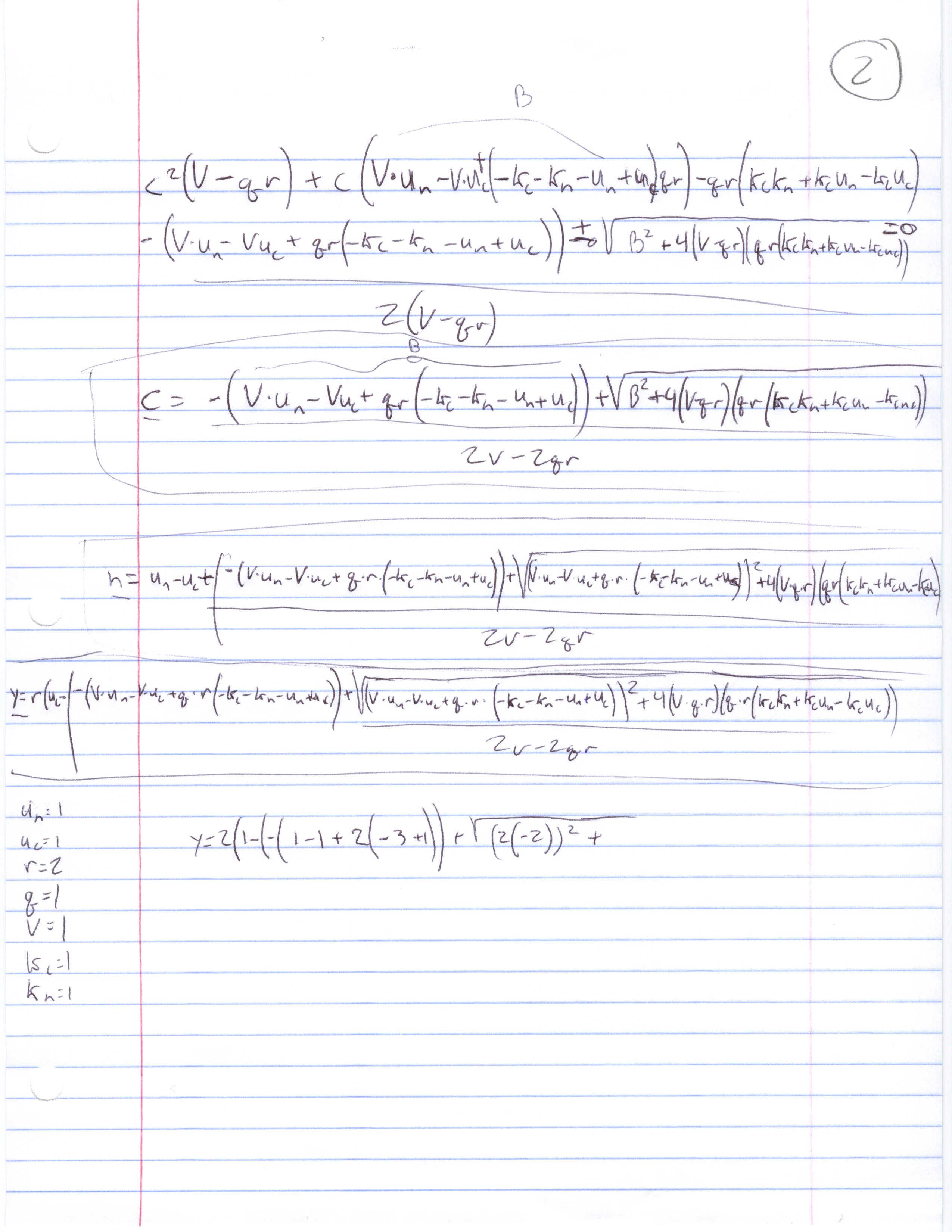
- Image is Laura Terada's graph, (my MATLAB was not working)
- Parameters - Values - q - 0.15 - u - 120 - r - 1 - K - 5 - V - 0.5 - Questions- Steady state values (final page has all 3 equations for c. n, and y)
- Click on a large page and it will link to a smaller more readable page (could not figure out how to resize)
 
     
 - How do the steady states depend on the feed rates?
- As feed rates increase, corresponding state variable values increase, but level out at a certain point.
 
 - How would changing the equation change the dynamics or steady state?
- Well depending on how small either n or c was, the rate of change of steady state could become larger if n or c was very small (below 1) because multiplying by a number below 1 would decrease the larger steady state variable value.
 
 
- Steady state values (final page has all 3 equations for c. n, and y)