IGEM:Imperial/Results/Growth Media/Glycerol

From OpenWetWare
Jump to navigationJump to search

Return to the Chemostat Page

Glycerol Dilution

Glycerol Dilution experiment

Aims

The aim of this experiment is to determine the media needed for the chemostat experiments

Introduction

I will use a media based on M9 and LB media which should provide large amounts of all nutrients apart from carbon. The carbon will come from Glycerol. I can vary the concentration of Glycerol to control the OD. I am expecting a minus glycerol medium to give a low OD (as the yeast extract will contain a small amount carbon.) I am using a concentration of LB which was worked out using the LB experiments.

Media 

To make 1 litere

Glycerol 20% - 0.065%
Tryptone 		- 0.01%
Yeast Extract 	- 0.05%
(0.1M) MgSO4  	- 8ml
(0.5M) CaCl2  	- 80ul
NaCl 			- 2.5g
NH4Cl 		- 5g

To autoclave separately
 
Na2HPO4 	- 33.906g
KH2PO4 	- 15g

Method

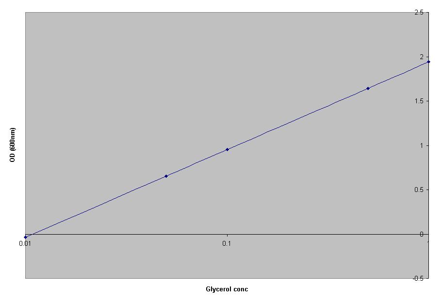
The glycerol concentrations were varied at 0% 0.065% 0.25% 0.5% 1% 5% 10% 20%

2ml liquid cultures of each media were inoculated with 5ul of “prey cells.” The Prey cell inoculum was at an OD600 of 1.9 and the cells were spun down and re-suspended in 1%NaCl solution to prevent any of the LB media from the inoculum being added to the test media. The test cultures were then allowed to grow for 16 hours to reach stationary phase. Their optical density at 600nm was measured and recorded. A transfer function of OD in terms of glycerol was then derived from this data.

Results

Data output (Log transformed Glycerol conc. Axis.) I decided to remove the data points inside the red rectangles from the analysis as there appears to be a diferent effect occouring. The zero glycerol control is impossible to display on a log axis so cannot be used to help generate any meaningful statistical results. The high glycerol results (in the top red rectangle) appear unreliable. The slight downward trend may be a result of other factors than carbon limitation such as reduced motility as a result of the viscous nature of the media. The high glycerol can also cause osmotic stress. Also other limiting factors such as nitrogen concentration may be having an effect at high glycerol concentrations. I chose to use only the remaining results in the green box for further analysis.

Only the results where carbon availability is the main factor affecting the growth yield of the E.coli has been selected for further analysis. Excel was used to fit a trend line to the data. The R2 value is low (below 0.95). This is acceptable for our purposes as it gives an idea of the accuracy to which the yield can be predicted from Glycerol concentration (using this data) and a high level of accuracy is not required. Also the low R2 value could be due to the low number of points used. Replication should be considered if this experiment is to be repeated.

Predicting the optical density in the chemostat. The graph below has been produced from the formula of the trend line given above to allow someone to chose the glycerol concentration they wish to use. The result will not be exactly as predicted by this line due to the high degree of variability in the data on which it is based. However it will provide a guide as to the concentrations of glycerol to use. To achive concentrations below 0.141 the LB will have to be diluted. If an OD above 2 is required then the concentrations of other components of the media will need to be increased. Also there are issues with growing flagellate bacteria in viscous media so if very high ODs are required then another carbon source should be considered. If ODs slightly above 2 are needed then it may be possible to negate the effect of the viscous media by increasing the stirring rate of the chemostat.