IGEM:Imperial/Results/Growth Media/LB

From OpenWetWare
Jump to navigationJump to search

Return to the Chemostat Page

LB dilution

Aims

The aim of this experiment is to determine the media needed for the chemostat experiments. Also it should give us an idea of the OD we need to keep the prey cells at in the chemostat.

Theory

The OD of a culture in a chemostat will be slightly less than the OD at saturation in a batch culture so I am making serial dilutions of LB and measuring the final OD of the culture. Also I am measuring AHL concentrations at saturation. I am expecting the saturation OD to fall as the amount of LB decreaces. I am expecting AHL concentrations to fall as OD decreaces, however there should be a sudden drop in AHL due to the LuxPR promoter no longer becoming saturated, this is the OD we should keep our prey cells at in the final system.

Note: The LB should be diluted with filter sterilised 1%NaCl solution to keep the salt concentration constant while letting the LB components fall.

Limiting Nutrient: LB is not a defined medium so we don’t know what will limit growth in the chemostat so once I have found the OD I need to use I will take a medium which is too dilute to produce that OD then add Glycerol to the medium to get the desired OD, then I know that the culture is carbon limited by glycerol. Also this means that the variability between batches will be reduced as there is a known concentration of the limiting nutrient (glycerol) in the medium.

I chose glycerol because: There is a big bottle of it in our lab, It is not an efficient source of carbon so metabolite repression should not interfere with any of our promoters and it is not hazardous to work with.

Protocol

Make up LB using the recipie in the Lab

  • 10g ????
  • 10g NaCl
  • 5g Yeast Extract
  • Make up to 1 litere with distilled water
  • Autoclave

To make dilutions

  • Make a 1% NaCl solution (10g made up to 1 litere)
  • FILTER STERILISE IT
  • Add Portions of LB and NaCl solution to get the concentrations you want.
	        1 xLB  ½ x LB  ¼ x LB  1/6 x LB	 1/8 x LB   1/16 x LB
Amount of LB	 20ml	10ml	5ml	3.33 ml	  2.5ml	     1.75ml
Amount of NaCl	 0ml	10ml	15ml	16.67ml	  17.5ml    18.25ml

After Running these cultures overnight I was surprised to find the OD of the 1/16 LB culture was 1.04! So our LB must be very rich. So I made futher dilutions from the 1/16 stock

	       1/32 LB	1/64 LB	 1/128 LB 1/256 LB	
Amount of 
1/16 Culture	10ml	5ml	 2.5ml	  1.175ml	
Amount of 1%
NaCl solution	10ml	15ml	 17.5ml	 18.825ml	

The input of nutrient from the inoculums would affect the final concentration of LB so I re-suspended the cells to be inoculated in 1% NaCl then inoculated the cultures form that.

Results

At 9AM

	1 x LB	1/2 LB	1/4 LB	1/6 LB	1/8 LB	1/16 LB
OD	1.685	1.743	1.115	1.254	1.314	1.04
AHL						

I think that the cultures did not reach steady state, this explains the appalling data. Also I used the 5ml tubes instead of the 25ml ones so the cultures may not have been aerated sufficiently.

However I can tell from these results that the 1/16 LB culture can support a colony with an OD of at least 1 so I am repeating the experiment with lower dilutions.

At 5:30 pm

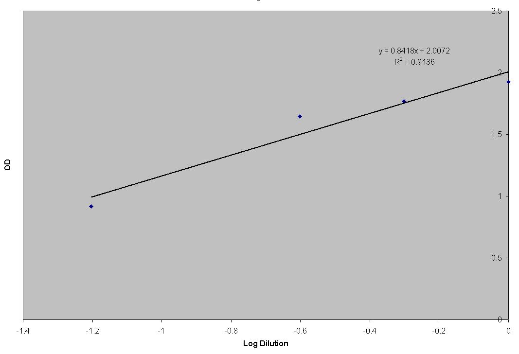
1 x LB 1/2 x LB 1/4 x LB 1/6 LB 1/8 X LB 1/16 x LB OD 1.925 1.767 1.645 0.918

If you log transform the dilution you get this graph

The trend line predicts that the culture that gives an OD of 0.3 will be 1/106

The AHL was not measured as I am sure the colonies will be at saturation so there is little point as the AHL assay is very time consuming. I will mesure the AHL concentration for the lower OD cultures. The R squared value is low but I think this is due to the low number of replicates

JohnChattaway 07:54, 1 September 2006 (EDT) JohnChattaway 13:22, 1 September 2006 (EDT)