IGEM:IMPERIAL/2009/M3/Assays/F2620
From OpenWetWare
				
				
				Jump to navigationJump to search
				
				
Promoter characterisation 2 (F2620 paper)
Aims
- To fully characterise promoters which can then be used to characterise genes
- By linking to the BBa_E0240 testing construct (RBS-GFP-TT), a quantitative measurement of the fluorescence over time can be directly obtained. This will then be converted to the absolute transcriptional activity of the promoter (PoPS).
- PoPS can be then used as an input signal for downstream devices. Data analysis will include the use of the obtained transfer function and Hill equations, as well as determining PoPS output relative to measured values of GFP molecules per cell per second.
Overview
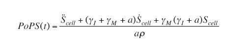
where 
PoPS(t) is the time dependent rate of mRNA synthesis 
Scell is the GFP synthesis rate per cell  (GFP over time / Cell no) 
gammaI is the degradation rate of immature GFP (incorporating degradation and dilution due to cell growth)
gammaM is the degradation rate of mRNA
a is the maturation rate of GFP
rho is the constant rate of protein synthesis per mRNA
