ICSynBio:TS Jacobian
From OpenWetWare
Jump to navigationJump to search
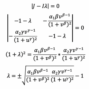
Toggle Switch Analysis: Jacobian and Eigenvalues
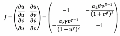
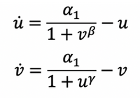
System
The system for which the derivation can be found here is below:
The system for which the derivation can be found here is below: