ICSynBio:TS Analysis 01
Toggle Switch Analysis
Introduction
The motivation for the analysis below is to have an understanding of the conditions that can give a working genetic toggle switch. One important feature of the Toggle Switch is bistability- having two stable steady states- thus we look for the steady points of the system. Bistability is not always achieved, and depends on the parameters. We first look at an example of when the selected parameters lead to bistability and give a toggle switch. This is followed by an example where the set of parameters give mono-stability and this does not define a toggle switch. Further to this the importance of cooperativity for the toggle switch model is discussed. We then discuss and visualise parameter sensitivity via bifurcation diagrams. We also look at flow diagrams to understand the behaviour of the system around these steady points.
The simulations below have been done via Jupyter notebooks and the code can be found at: https://colab.research.google.com/drive/103AxiByb8octTdOuE_8aY4yKioacK3Hu
Plotting of Nullclines and fixed points
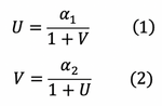
It is difficult to analytically solve the above equations to get the steady state concentrations.
Therefore to understand the behaviour of the model we can plot the Nullclines- the curves corresponding to each of above derivatives being equal to 0. Where each of these lines intersect we get the steady state points, as the change of concentrations with respect to time for each protein here is 0.
We can also numerically solve for the solutions using Python.
For the parameters:
alpha1 = 10, alpha2 = 10, beta = 2, gamma = 2
The plot of the nullclines and numerical solutions is:
Dynamic Analysis
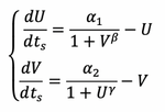
To further understand the behaviour at and near the fixed points, the Jacobian Matrix and Eigenvalues can be evaluated at the fixed points.
For the parameters above, the fixed points as well as the eigenvalues have been calculated via Python:
- For the point at (0.1,9.9) the real parts of both eigenvalues are negative, meaning that this point is a stable attractive node.
- The is also the case for the point at (9.9,0.1)
- For the point at (2.0,2.0) the real part of one eigenvalue is positive and the other is negative. This point is stable in one direction but unstable in the other (Saddle Point).
Conclusion: For the Pparameters chosen above, we get the behaviour of a toggle switch because there are two stable steady states- bistability is achieved.
Monostability
For the following parameters:
alpha1 = 10, alpha2 = 4, beta = 2, gamma = 2
The plot of the nullclines and fixed point is:
Therefore with this set of Parameters we get one fixed point which is not sufficient to give a toggle switch.
Cooperativity
The parameters beta and gamma represent the cooperativity of the promotors of the respective repressors. The toggle switch promotors we use will have a given cooperativity.
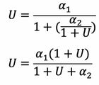
For our Model, if beta and gamma are equal to 1, it can be shown that we cannot ever achieve bistability. The model becomes:
Therefore:
Substituting equation 2 into equation 1 gives:
Which rearranging gives the quadratic expression:
From inspection we know that the equation above will have only one acceptable (positive) solution, thus bistability can never be achieved.
Therefore we can conclude that cooperativity is needed to get a Toggle Switch.
Parameter Sensitivity
The lumped Parameters alpha2 and alpha2 are defined as:
For the parameters in these:
- k1 depends on the promoter which is difficult to modify because promoter engineering is very complicated and there is no forward model to predict it.
- k2 depends on the Ribosome Binding Site(RBS), which is a short sequence in the mRNA that can be tuned and behaviour can be predicted via RBS calculators.
- d1 is the mRNA degradation rate which cannot be modified easily or rationally.
- d2 is the protein degradation rate which depends on the dilution rate and cannot be modified.
Therefore, it is sensible to modify alpha1 and alpha2 as they can also be modified practically, via RBS engineering with fixed Promoters.
The bifurcation diagrams below illustrate how changing alpha1 and alpha2 impacts the system for given values of the hill coefficient. They visualise what set of parameters give a toggle switch with bistability and which do not.
The yellow area represents the set of parameters that define a toggle switch and purple area is the set of parameters that do not.
Some conclusions that can be made from these plots are:
- No cooperativity in the promotors does not define a Toggle switch.
- Higher cooperativity gives a higher range of alpha1 and alpha2 values that define a toggle switch.
Flow Diagrams
The steady state the toggle switch system reaches, and how quickly it does this, depends on the initial conditions (concentrations of repressors).
Thus to further understand the behaviour around the steady points, different plots to describe the flow of the system have been computed.
The flow lines as well as the nullclines and fixed points are plotted in the diagrams below.
(a) shows the flow with parameters that lead to bistability and define a toggle switch. Symmetry in the parameters leads to symmetrical flow. This diagrams allows identification of the basin of attractions of each of the fixed points.
(b) shows the flow of the system with parameters that lead to monostablity and do not define a toggle switch.
Another diagram can be plotted that describes the flow magnitude as well as the flow of the system around the fixed points:
This diagram gives the vector fields for different initial concentrations of U and a V. A red colour means higher flow magnitude and the system returns to steady state faster whilst blue is smaller flow magnitudes. When concentrations are further away from steady state the system returns faster to a possible steady state and conversely for concentrations closer to the steady points the system takes longer to reach the steady state.
The flow diagrams for different values of parameters alpha1 and alpha2 are given below.
(a) alpha1 = 10, alpha2 = 10, beta = 2, gamma = 2
(b) alpha1 = 6, alpha2 = 6, beta = 2, gamma = 2
For equal alpha1 and alpha2 values, the higher values of alpha1 and alpha2 cause increased flow magnitude and seperation of the steady states- which means the system generally returns to steady states faster and the steady points are further apart.
The flow diagrams for different values of the hill coefficients are given below.
(a) alpha1 = 10, alpha2 = 10, beta = 2, gamma = 2
(b) alpha1 = 10, alpha2 = 10, beta = 4, gamma = 4
Increasing the hill coefficients leads to increased seperation of the nullclines which gives a larger magnitude of flow and time taken to reach steady state decreases.

