CO2 Respiration
Back to Protocols
Determination of Compost Respiration Rate
The main objective is to determine the microbial activity by measuring respiration rate in a compost sample. There are two methods to determine the compost respiration rate, Titration and OxyTop, will be discussed below.
Sample collection and Preparation for Titration and OxiTop Methods
1. Collect a composite compost sample
2. Determine the sample moisture content and volatile solids content
3. Place samples in freezer until needed
4. Take samples from the freezer to the cooler, keep them there for 24 hours until the samples are completely thawed
5. Take half of the sample in a Ziploc bag
6. Weigh the sample + tare of the container (bag, tray, etc.)
7. To adjust sample moisture content to 50% (wet basis, w.b.), calculate the adjusted total weight from the following spreadsheet
| Sample + Tare (g) | Moisture Content (%) | Tare (g) | Water Content (g) | Solid Content (g) | Final Weight of Sample + Tare (g) | 
|---|---|---|---|---|---|
| A | B | C | D | E | F | 
| A | B | C | B/100*(A-C) | A-D-C | E*2+C | 
| 368.8 | 41.33 | 4 | 150.7718 | 214.0282 | 432.0563 | 
8. In the example, add de-ionized water to bring the final weight to 432.056 g (If the initial weight is greater than the final calculated weight, then air-dry to adjust moisture)
9. Open the bag and place it into the incubator (set at 30°C) for 24 hours
10. Weigh the sample and readjust its moisture content to 50% again
11. Open the bag and place it back into the incubator (set at 30°C) for 24 more hours
12. Check the weight of the sample and readjust its moisture content to 50%
Titration Method
1.To prepare sodium hydroxide solution (2M), follow the next steps:
- Weigh 80 g of NaOH pellets
- Collect 1-L of de-ionized distilled water in a 1-L flask
- Add approximately 500-mL of the de-ionized water into a 2-L flask
- Add the sodium hydroxide pellets into the de-ionized water
- Dissolve completely, add the de-ionized water to 1-L, stopper tightly, keep to cool
 
 
2.Place twenty grams of homogenized compost sample in a 150 ml beaker
3.Place twenty ml of NaOH (2M) in another 150 ml beaker
4.Place both beakers in a wide mouth 3.7-liter jar
5.In two 3.7-liter jars, place an empty 150 ml beaker and 20 ml of NaOH (2M) in another 150 ml beaker in each.
6.Screw the jars led tightly to prevent any gas exchange
7.Place all jars in the incubator for 48 hours
8.The CO2 evolved during microbial respiration is bound by the alkaline absorbing agent according to the following chemical reaction:[math]\displaystyle{ CO_2+2NaOH--\gt Na_2CO_3+H_2O }[/math]
9.Collect the NaOH solution in small bottles. Mark the bottles and make sure they are tightly covered
10.In the Soil and Tilth Lab, follow the instructions to calibrate the titration machine and run samples including the blank
11.Calculate the carbon dioxide - carbon resulted from the titration method as follows:[math]\displaystyle{ CO_2-C=(B-V)*N*E*(Tr/A) }[/math]
- Where:
- [math]\displaystyle{ CO_2-C }[/math]is the evolved carbon dioxide-carbon [mg]
- B is the volume of acid needed to titrate blank [ml]
- V is the volume of acid needed to titrate sample [ml]
- N is the normality of acid used for titration [-]
- E is the equivalent weight to convert to mg [C = 6]
- Tr is the trapped volume (20) [ml]
- A is the aliquot titrated (1) [ml]
- Divide the [math]\displaystyle{ CO_2-C }[/math] by the volatile solids content (10 g solids x VS/100) in the sample and by the number of days (2) to calculate the [math]\displaystyle{ CO_2-C }[/math] in mg/gvs.d
 
 
OxiTop Method
Each unit consists of a 1-liter jar, a pressure sensor head, model OxiTop-C WTW, Weiheim, Germany, and a rubber capsule for NaOH pellets. A controller, model OxiTop OC 110 WTW, Weiheim, Germany, is used to collect data from the pressure sensors. Company supported Software (Achat OC, PC Communication software version 2.03) is used to download the data from the controller to a spreadsheet.
1. Place twenty grams of compost sample in a 1-liter jar.
2. Add 5 pellets of NaOH into capsule of pressure head mechanism and seal tightly.
3. Turn the controller on (The time and date should momentarily appear along with two beeps from the controller). Initialize the sensor using the following steps:
- a. Press the GLP button
- b. Highlight Maintenance and press enter
- c. Highlight reset/restore and press enter
- d. Again highlight reset/restore, point controller toward the head, and press enter
- e. If the sensor successfully released the previous data, a beep will be heard
- f. Repeat steps 3.d and 3.e for all heads
 
4. To start the new samples follow the next steps
- a. Press the upper left green button
- b. Highlight start sample, press enter
- c. Highlight I.D. number and press enter
- d. Change the sample ID number by pressing the up or down button
- e. Highlight start, point the controller towards the head and press enter
- f. If the controller reads start stopped then it was unsuccessful
- g. Highlight continue start and repeat this to all pressure heads
 
5. To call up initial data follow the next steps:
- a. Press the upper left green button
- b. Highlight Call up all data
- c. Point the controller towards the first head and enter
- d. Wave the controller around to get all heads
- e. The controller will read the number of heads it has read out of the number of heads that have been initialized
 
6. Place all jars into incubator at 30C for 48 hours.
7. After 2 days take the second reading by repeating steps 19 through 22
8. Connect the controller to the PC
9. Run program Achat OC
10. Open file, fetch sample list
11. Download data by double click on each sample and save it to the PC
Pressure in the jars will initially increase, due to the difference between room and incubator temperatures. After temperature has equilibrated in the incubator, subsequent carbon dioxide absorption by sodium hydroxide pellets creates a pressure drop measured by the sensor. The correlation between changes in number of moles of substance and pressure drop is:
[math]\displaystyle{ \triangle n =\frac{\triangle P V}{RT} }[/math]
Where:
- n is the changes of the number of moles of substance, [kmol]
- P is the pressure drop, [kPa]
- V is the gas volume, [m3]
- R is the general gas constant, [8.13 kJ/kmol. °K]
- T is the gas temperature, [°K]
 
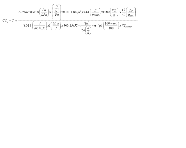
To calculate the weight of carbon dioxide evolved during the two days incubation from 20 g solids of 50% moisture content, use the following equation
Where:
- CO2-C is the evolved carbon dioxide-carbon [mg/gvs.d]
- t is the time span between the maximum and final pressure [h]
- w is the sample weight [g]
- mc is the moisture content [%]
- VS is the volatile solids content in the sample [decimal]
 
This equation can be simplified in the following form:
insert equation here
Where:
- change in P is the pressure drop (the difference between the maximum reading and the final reading (hPa)
 
