Biomod/2015/UTokyo-Komaba:DESIGn
Design
 
Generally, the battery produces electromotive by the difference of  potential between the electric poles. 
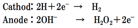
Oxidation reaction occurs in the cathode and reduction reaction occurs in the anode. These reactions cause the transfer of electrons,and electric current flows.
In our project, we propose that kind of device made of liposome. Two spheres (liposome) are touched, and in its junction, there is a hall made by α-hemolysin.
Between these two spheres, we want to produce electromotive force. In one sphere, there are an anionic fluorescence and calcium ions (Ca2+: cation), while there is nothing in the other sphere. 
The molar weight of the anionic fluorescence is very high and so its size is too large to get through the hall. 
On the other hand, Ca+ ions are much smaller than the hall, so they can easily get through the hall. 
According to the difference of concentration in two spheres, only cations selectively flow from one to the other sphere. 
This makes electromotive force and such oxidation-reduction reaction occurs.
 
This device can be a "battery".
 
 
