BME100 s2015:Group1 12pmL5

From OpenWetWare
Jump to navigationJump to search
BME 100 Spring 2015 Home
People
Lab Write-Up 1 | Lab Write-Up 2 | Lab Write-Up 3
Lab Write-Up 4 | Lab Write-Up 5 | Lab Write-Up 6
Course Logistics For Instructors
Photos
Wiki Editing Help


OUR TEAM

Name: Andre Nguyen
Name: Jake Packer
Name: Kaylena Conklin
Name: Jorge Hernandez
Name: student
Name: student


LAB 5 WRITE-UP

Procedure

Smart Phone Camera Settings

  • Type of Smartphone: IPhone 6 plus
    • Flash: off
    • ISO setting: automatic
    • White Balance: automatic
    • Exposure: automatic
    • Saturation: automatic
    • Contrast: automatic


Calibration
For this lab, the phone that was used was placed in a horizontal fashion. The camera was on the right side facing the drop of fluid. In an attempt to keep the phone perpendicular to the table, tape was applied to the phone and then attached to the cradle. Earphones were attached to the phone for the purpose of timing the pictures being taken. This was especially helpful since we did not have to continue to close and open the black box to pressure the capture button on the smartphone. It also mitigated any movement of the smartphone from its original position.

  • Distance between the smart phone cradle and drop = 7.5 cm


Solutions Used for Calibration


Placing Samples onto the Fluorimeter

  1. Set the micropipette to 80 microliters
  2. Collect the CYBER green in the micropipette
  3. The light from the Fluorimeter should be shining on the first two rows of dots
  4. Place the CYBER green in between the two dots so that the light beam goes straight through the center of the bubble of fluid
  5. Eject tip from micropipette and put a new one on
  6. While still on the 80 microliter setting, collect the pcr product that has been mixed with the buffer solution
  7. Place the PCR solution inside of the CYBER green that is already on the slide
  8. Close the box and take pictures


Web Page Results




Data Analysis

Representative Images of Negative and Positive Samples


Negative



Positive


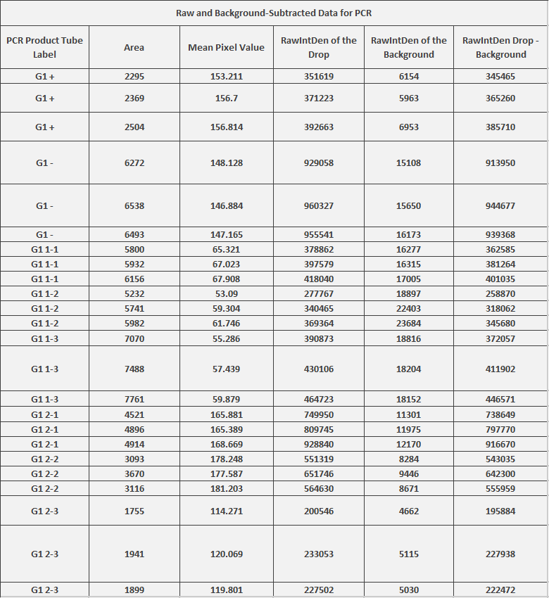
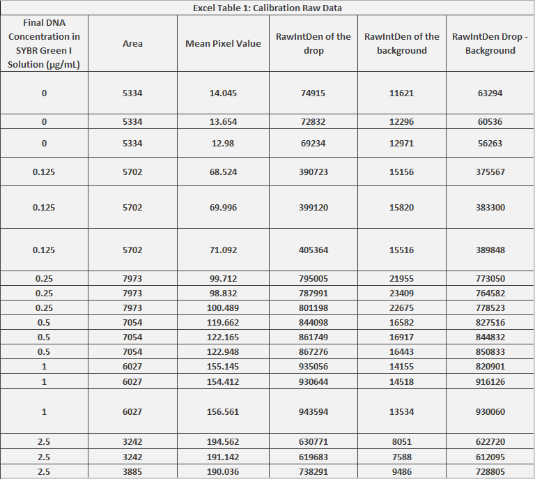
Image J Values for All Calibrator Samples


Calibration curve

PCR Results Summary

  • Our positive control PCR result was 2.5 μg/mL
  • Our negative control PCR result was 0 μg/mL

Observed results

  • Patient 96837 : The droplet did not have a green shade that correlated with the positive control.
  • Patient 39617 : The droplet glowed green. This was a similar shade to that of the positive control.

Conclusions

  • Patient 96837 : Negative. This patient's sample did not contain enough mutated DNA for the SYBR Green I to react and therefore it was concluded that the sample was negative.
  • Patient 39617 : Inconclusive. This sample did not fully correlate with either the positive or negative control and therefore, it was determined to be inconclusive.




SNP Information & Primer Design

Background: About the Disease SNP Disease SNP's is a mutation in the DNA that causes a higher risk factor for certain diseases. The acronym SNP stands for single nucleotide polymorphism, and refers to the body's tendency and ability to change a single base pair, morphing an entire section of the genome. The specific SNP that was tested in this lab was a SNP for for cardiovascular disease. A normal sequence in the 8:19956018 region looks like AATCTGGGCTATGAGATCAA. However, in this particular mutation, AATCTGGGCTATGAGATCAA changes to AGTCTGGGCTATGAGATCAA. As a result, the organism with this new, morphed sequence is at risk of cardiovascular disease, specifically (in our case) coronary heart disease.

Primer Design and Testing The primer test showed that there was a mutation that occurred in the patients DNA sequence.