User:Imoench
From OpenWetWare
Jump to navigationJump to search
Background
Ian Moench
Advisor:
- Dr. Howard Prentice
- Professor page
Education
Degrees:
- B.S. Microbiology
- M.S. Microbiology - Thesis: Survival and decontamination of potential bio-warfare agents on hospital surfaces.
Research
My research currently involves sudying the MSR's (Methionine Sulfoxide Reductases) in the heart after hypoxia/reoxygenation events.
Goals
- coming soon
- coming soon
- coming soon
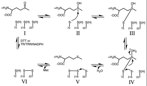
Methionine Sulfoxide Reductase
MSRA Mechanism (Source: Proc Natl Acad Sci U S A. 2000 June 6; 97(12): 6463–6468)
Protocols
Links
Contact
Email:
- imoench@fau.edu
Address:
- 777 Glades Rd
Bldg 71 Room 222
Boca Raton Fl, 33431