User:Augusto Tentori
Augusto Tentori
Augusto and Jessica's research proposal work can be found here.
Department of Biological Engineering
450 memorial drive
Cambridge, MA
atentoriatmitdotedu
Neuroengineering and neuromedia group at MIT.
DNA ligation and bacterial transformation
Genome Engineering
| Gene | Location | Function | Notes | Ideas |
|---|---|---|---|---|
| I | 3196-4242 | Phage assembly | Overlap with gene IV and shares stop codon with XI | Modify to allow for assembly of different size phage |
| II | 8268-831 | Double-stranded DNA replication | Overlap with gene X | Use stronger promoter to enhace virus production |
| III | 1579-2856 | Structural proteins. 5 copies in tail. | BamHI site is in gene III | Engineer to increase binding. Modify to allow binding to other organisms or surfaces. |
| IV | 4220-5500 | Phage assembly | Overlap with gene I and XI | Modify to allow for assembly of different size phage |
| V | 843-1106 | Helix-destabilizing in single-stranded viral DNA synthesis | Alter to understand specific purpose and function. | |
| VI | 2856-3194 | Small hydrophobic protein (probably part of capsid). 5 copies in tail | Engineer to increase binding. Modify to allow binding to other organisms or surfaces. | |
| VII | 1108-1209 | Structural proteins. 5 copies in head | Overlap with gene IX start codon | Allow for easy insertion of sequences. Allow easy insertion of a GFP protein for example. |
| VIII | 1301-1522 | Structural proteins. Capsid coat. | Overlap with gene IX stop codon | Allow for easy insertion of sequences. Allow easy insertion of a GFP protein for example. |
| IX | 1206-1304 | Structural proteins. 5 copies in head | Overlap with gene VIII start codon and gene VII start codon | Allow for easy insertion of sequences. Allow easy insertion of a GFP protein for example. |
| X | 496-831 | DNA replication | Overlap with gene II | Engineer to allow easy modification of viral production quantities. |
| XI | 3916-4242 | Assembly | Overlap with IV, inside gene I, share stop with I | Modify to allow for assembly of different size phage |
Nature often preserves functionally critical genomic elements, and evolutionary cousins can help us identify which genetic elements are disposable, which are interchangeable, and which are essential. Who are M13's closest evolutionary relatives and how do they differ from the phage you're working with?
F1 Fd and M13 are all filamentous ssDNA bacteriophages that belong to the virus family Inoviridae. F1 does not need/have gene 11. Phage F1 DNA differs from phage M13 by 52 nucleotides, and from phage Fd by 186 nucleotides. The overall charges of their protein coats sometimes differ, for example, Fd has a lot more positive amino acids.
Look up part BBa_M1307 and write a response to the following criticism: "BBa_M1307 is not a standard biological part and does not belong in the registry.
BBa_M1307 represents the genome of the M13 virus. If we define a part as something that performs a very specific function then indeed BBaM1307 should not be considered a standard part as it itself is made up of several parts. Some parts encode for an outer coat, others for binding to the bacteria, etc.
Gel Electrophoresis
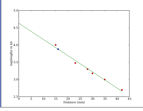
| Length kb | Distance mm | Log(length) |
|---|---|---|
| 10 | 15 | 4 |
| 3 | 23 | 3.47712 |
| 2 | 28 | 3.30103 |
| 1.5 | 30 | 3.17609 |
| 1 | 35 | 3 |
| 0.5 | 42 | 2.69897 |
The equation for the line is log(length)= -0.0470008069791*distance+ 4.63072535356 When we plug in the distance traveled by our digested sample (15mm), the equation yields 8427.78113873 base pairs, which is really close to the expected 8669bp.
If we have 10ul of a 10^-8 dilution of 10^12 PFU/ml how many plaques will we form? 10ul*10^12PFU/10^3ul*1/10^8=10^2PFU = 100 plaque forming units. How many plaques would you expect if you tested the phage stock on strain DH5? Some versions of DH5 bacteria are resistant to some virus infections so maybe we wouldn't see any.
"synthetic biology is about engineering while genetic engineering is about biology."
Synthetic biology and genetic engineering are intrinsically related. In order to have the field known as synthetic biology, genetic engineering is necessary. Synthetic biology is one of the many applications possible of genetic engineering. The modification of genomes allows organisms to be studied and understand them better, but it also allows for the creation of synthetic materials. Genetic engineering is both a tool for science and for engineering. While synthetic biology focuses on the engineering of materials using biological tools, genetic engineering focuses on engineering the very tools themselves.
