Synthetic Biology:BioBricks/Standardization/Functional composition

From OpenWetWare
Jump to navigationJump to search
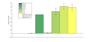
plate reader measuremnt of some promoter strengths

Experiment

  • Registry/Measurement_kit/Protocols/Plate_reader_experiment

Resources

  • Synthetic_Biology:BioBricks/Standardization
  • SynBERC:Devices/Standards
Retrieved from "https://openwetware.org/mediawiki/index.php?title=Synthetic_Biology:BioBricks/Standardization/Functional_composition&oldid=183386"

Navigation menu

Page actions

  • Page
  • Talk
  • Read
  • View source
  • History
  • Refresh

Page actions

  • Page
  • Talk
  • More
  • Tools

Personal tools

  • Log in
  • Request account

Navigation

  • Main Page
  • Recent changes
  • Help
  • Contact OWW
  • Add a Lab Notebook
  • Special pages

research

  • Materials
  • Protocols
  • Resources

Tools

  • What links here
  • Related changes
  • Printable version
  • Permanent link
  • Page information
  • Cite this page
  • Browse properties
Powered by MediaWiki
Powered by Semantic MediaWiki
  • This page was last edited on 20 November 2025, at 00:41.
  • Content is available under GNU FDL or Creative Commons BY-SA unless otherwise noted.
  • About OpenWetWare
  • Disclaimers
  • Mobile view