Uploads by Nmhatre
From OpenWetWare
Jump to navigationJump to search
This special page shows all uploaded files.
| Date | Name | Thumbnail | Size | Description |
|---|---|---|---|---|
| 01:55, 29 April 2024 | Nonlineargradientmodel.jpeg (file) | 406 KB | ||
| 01:24, 29 April 2024 | Nonlinear Gradient Tree with Varying Horizontal Channel Width.png (file) | 1.39 MB | ||
| 01:34, 15 April 2024 | NonlinearGradientDevice VaryingHorizontalChannelWidth.jpg (file) | 17 KB | Device made by Abe et al. which creates a nonlinear gradient by varying the horizonatal channel widths. "Reprinted with permission from Abe, Y., Kamiya, K., Osaki, T., Sasaki, H., Kawano, R., Mikia, N., Takeuchi, S. Nonlinear concentration gradients regulated by the width of channels for observation of half maximal inhibitory concentration (IC50) of transporter protein. Royal Society of Chemistry. 2015,140. DOI: https://doi.org/10.1039/C4AN02201G. Copyright 2015Royal Society of Chemistry." | |
| 01:17, 15 April 2024 | NonlinearGradientDevice.jpg (file) | 134 KB | A nonlinear gradient device created Selemovic et al. "Reprinted with permission from Šeila Selimović, Woo Young Sim, Sang Bok Kim, Yun Ho Jang, Won Gu Lee, Masoud Khabiry, Hojae Bae, Sachin Jambovane, Jong Wook Hong, and Ali Khademhosseini Analytical Chemistry 2011 83 (6), 2020-2028 DOI: 10.1021/ac2001737 . Copyright 2011 American Chemical Society." | |
| 01:12, 15 April 2024 | NonlinearGradientDevice.webp (file) | 43 KB | A nonlinear gradient device created Selemovic et al. "Reprinted with permission from Šeila Selimović, Woo Young Sim, Sang Bok Kim, Yun Ho Jang, Won Gu Lee, Masoud Khabiry, Hojae Bae, Sachin Jambovane, Jong Wook Hong, and Ali Khademhosseini Analytical Chemistry 2011 83 (6), 2020-2028 DOI: 10.1021/ac2001737 . Copyright 2011 American Chemical Society." | |
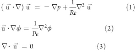
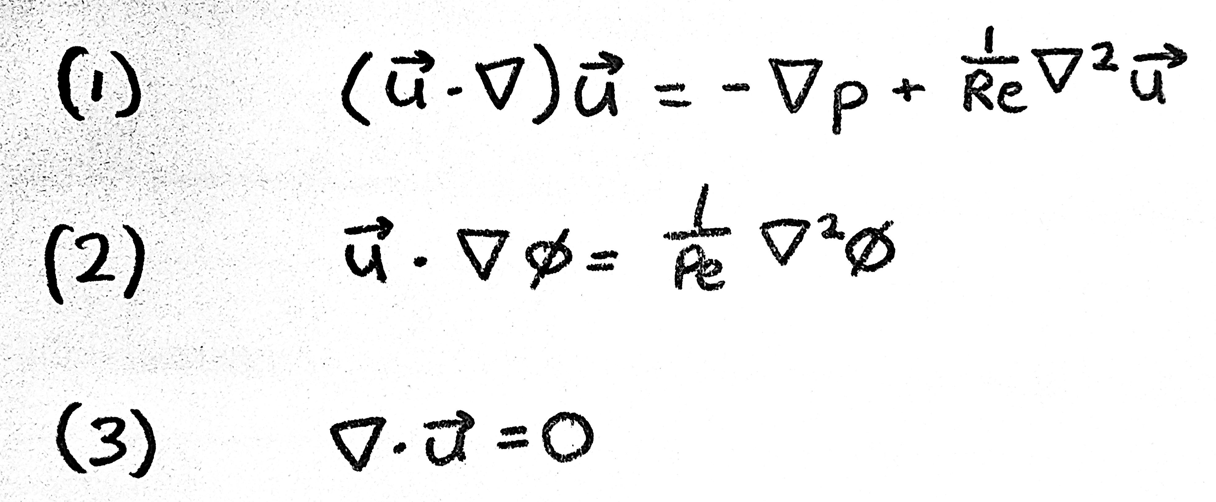
| 00:23, 15 April 2024 | NonlinearGradient GeneralEquations.jpg (file) | 9 KB | Governing equation for modeling non-linear gradients. |