Uploads by Jessie Liang
From OpenWetWare
Jump to navigationJump to search
This special page shows all uploaded files.
| Date | Name | Thumbnail | Size | Description |
|---|---|---|---|---|
| 03:08, 3 November 2011 | TeamBlueGenesMovie.swf (file) | 707 KB | ||
| 21:11, 2 November 2011 | BG11Steve.jpg (file) | ![]() |
7 KB | |
| 21:02, 2 November 2011 | Slantedbx color.jpg (file) | 53 KB | ||
| 20:53, 2 November 2011 | Dropletmove.gif (file) | 21 KB | ||
| 20:41, 2 November 2011 | Slantbox surface.jpg (file) | 11 KB | ||
| 20:38, 2 November 2011 | Slantbox.jpg (file) | 6 KB | ||
| 01:59, 2 November 2011 | 307d.png (file) | 60 KB | ||
| 01:51, 2 November 2011 | Hiv1protease.png (file) | 85 KB | ||
| 01:42, 2 November 2011 | BG11Will.png (file) | 10 KB | ||
| 01:41, 2 November 2011 | BG11mcd.gif (file) | ![]() |
30 KB | |
| 01:40, 2 November 2011 | BG11Jess.jpg (file) | 13 KB | ||
| 01:37, 2 November 2011 | BG11Runkun.jpg (file) | 19 KB | ||
| 01:31, 2 November 2011 | Bluegenes.jpg (file) | 60 KB | ||
| 01:29, 2 November 2011 | Gnm.png (file) | 22 KB | ||
| 01:20, 2 November 2011 | Feedback prism.png (file) | 63 KB | ||
| 01:18, 2 November 2011 | Feedback 1leg.png (file) | 19 KB | ||
| 01:16, 2 November 2011 | Feedback1.png (file) | 96 KB | ||
| 01:13, 2 November 2011 | Compare gnm.png (file) | 28 KB | ||
| 01:11, 2 November 2011 | Structures.png (file) | 58 KB | ||
| 01:06, 2 November 2011 | Steps.png (file) | 39 KB | ||
| 02:04, 1 November 2011 | NE1 structures.rar (file) | 44 KB | ||
| 01:52, 1 November 2011 | NE1.jpg (file) | 59 KB | ||
| 00:37, 1 November 2011 | Steps.txt (file) | 582 bytes | ||
| 00:36, 1 November 2011 | Fluctuations.m (file) | 1 KB | ||
| 00:35, 1 November 2011 | Colorgraph.m (file) | 2 KB | ||
| 00:31, 1 November 2011 | Fluctuations.txt (file) | 1 KB | ||
| 00:26, 28 October 2011 | Feedback2.png (file) | ![]() |
557 bytes | Reverted to version as of 19:16, 16 April 2008 |
| 22:46, 27 October 2011 | Nanoevo.png (file) | 230 KB | ||
| 19:31, 18 October 2011 | Matrix.png (file) | 5 KB | ||
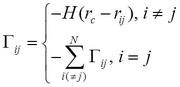
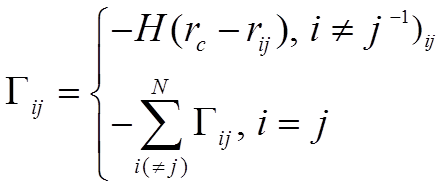
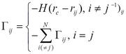
| 19:30, 18 October 2011 | Kirchoff.png (file) | 9 KB | ||
| 19:28, 18 October 2011 | Covar.png (file) | 3 KB | ||
| 19:10, 18 October 2011 | Nodes.png (file) | 153 KB | ||
| 19:45, 9 October 2011 | Eastview.jpg (file) | 87 KB |


