Uploads by Ittaylor
From OpenWetWare
Jump to navigationJump to search
This special page shows all uploaded files.
| Date | Name | Thumbnail | Size | Description |
|---|---|---|---|---|
| 18:40, 31 March 2020 | Helix vs superhelix.png (file) | 3 KB | ||
| 18:27, 31 March 2020 | FolkArtWhirligig.jpg (file) | 1.23 MB | ||
| 18:26, 31 March 2020 | Cardinal Whirligig.jpg (file) | 36 KB | ||
| 18:25, 31 March 2020 | CapillaryPaperfuge.png (file) | 119 KB | ||
| 18:10, 31 March 2020 | Paperfuge.pdf (file) | 2.17 MB | ||
| 19:09, 6 March 2020 | Paperfuge Video.mp4 (file) | 21 MB | ||
| 18:58, 6 March 2020 | Button Whirligig.png (file) | 39 KB | ||
| 18:55, 6 March 2020 | Paperfuge Equations Graphed.png (file) | 83 KB | ||
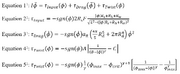
| 16:29, 6 March 2020 | Paperfuge Equations.png (file) | 44 KB | Paperfuge equations |