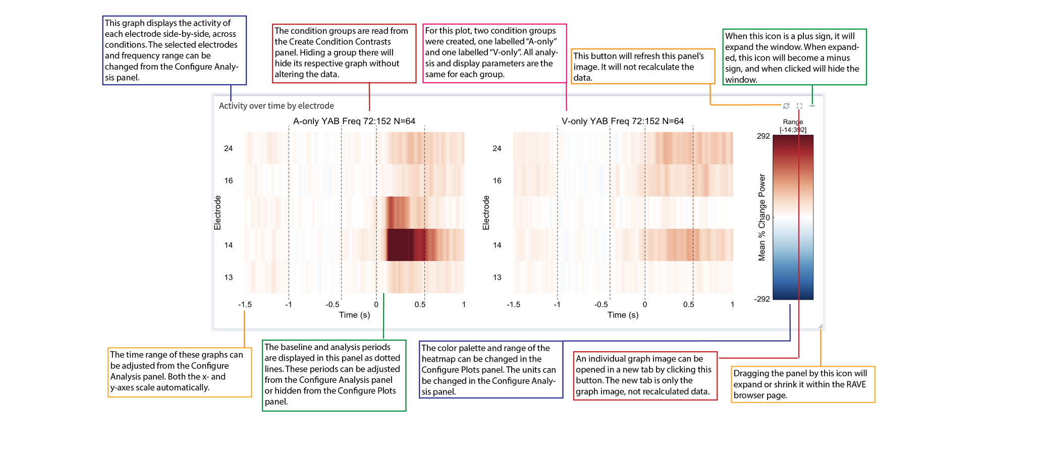
RAVE:ravebuiltins:powerexplorer:output activityovertimebyelectrode

From OpenWetWare
Jump to navigationJump to search
RAVE logo Reproducible Analysis and Visualization of iEEG

RAVE



Power Explorer (package: ravebuiltins) is a RAVE module that allows analysis of single subject iEEG data using spectral (time-frequency) analysis. This page describes the Activity over time by electrode output panel.


Activity over time by electrode