Physics307L:Labs/Balmer

From OpenWetWare
Jump to navigationJump to search
Project name Main project page

Balmer Series

It is our aim to successfully calibrate a constant deviation spectrometer with known values of the mercury spectrum and proceed to measure the spectra of hydrogen and deuterium. We will use these values to determine the Rydberg constant. Then we will use the same apparatus aimed at a sodium lamp in order to attempt to resolve the two characteristic closely spaced lines of its spectrum.

Procedure

The procedure can be found in Dr. Gould's manual

Calibration

Before calibration begins we notice that the prism looks a little dusty and has white impurity on its backside. We are afraid that cleaning it might result in a change in its surface optical properties so we try to calibrate with the prism as is (If we can not isolate a spectral line adequately we will try to clean it).

  1. Our first attempts at calibration of the constant deviation spectrometer are met with frustration at not being able to direct light through the prism to the eyepiece. Finally, after multiple attempts we "see the light".
  2. The first spectral light we see is green. The manual tells us that this wavelength of green is 546.1nm.
  3. We proceed with calibration by turning the screw drive which rotates the prism to the 546nm position while simultaneously making sure that the prism is still properly oriented such that the green light is viewed in the center. Once the green line is aligned with the cross hairs we think our calibration is complete.
  4. During our attempt to view the yellow lines at 577nm and 579nm we are dismayed to find that our scale does not read anywhere near the expected values. So something must have been wrong with our initial attempts at calibration.
  5. As I type this Darrel realizes that we read the scale wrong. So we never turned it to the 546nm mark in the first place!
  6. We set the vernier scale to 546nm and then adjusted our prism so that the green line was visible at the intersection of the cross hairs.
  7. We turned the scale to the 577/579 regime of yellow spectra and adjusted for minor misalignments.
  8. In order to see how good our calibration is we turn the scale all the way to the violet range (404.7nm-435.8nm). We are surprised to see a multitude (up to 6) of violet lines of various intensities. We try to change the focus and slit width but the multitude of lines remains. We believe this could be due to diffraction effects.
  9. We employ the help of Professor Koch and he's not so sure that single slit diffraction could be the culprit. He suggests two things: 1)maybe these are extra reflections or, even worse, 2)maybe we're not even using the right light source!
  10. Turning to the red spectrum we find that what we see does not at all match the 690.75nm line our procedure indicates . Furthermore, the procedure indicates we should see two well-defined yellow lines, but we only see one well defined yellow line, and actually, to be fully accurate, it occurs at 575nm according to our scale instead of 577nm or 579. We are acquiring reason to believe that we in fact are not using the correct lamp.
  11. The "mercury" lamp is turned off, and after we wait for it to cool down we remove it. As I look for bulbs in the lab cabinet I hear from across the room a chuckle from Darrel, followed by "it's Krypton!" (the label was only visible after the bulb was removed). So we were measuring the wrong light all along!
  12. We acquire an array of new bulbs through the agency of Prof. Koch and decide to restart with hydrogen.
  13. Using the internet we find accepted values of the H spectrum and recalibrate the spectrometer to the lowest visible wavelength (violet1) of H at 410.8nm.
  14. We check if the other spectral lines are in the ball park in reference to the vernier scale and we find that we are at most 10nm off.
  15. We decide to start making measurements of the spectra.

Measurements

Before each set of measurements (for each element) we recalibrate the spectrometer to a different color so as to minimize the systematic error of our vernier scale accuracy. For all of these measurements we determine that, due to the physical limitations of the vernier scale, we can not be sure of their certainty to within +/-1nm.

To minimize variations, all readings are taken after moving the dial in the clockwise direction. Clockwise was chosen as it is pushing against the spring. Darrell had previous experience with this type of instrument and knew that moving into the spring would provide more consistent measurements.

  • HYDROGEN

-Accepted Values of Hydrogen Spectra

  1. 410.8 Violet1
  2. 434.1 Violet2
  3. 486.0 Green/Blue
  4. 656.0 Red

-Measured Values of Hydrogen Spectra

1st Run (calibrated to violet1)

  1. 410.8
  2. 435.5
  3. 488.8
  4. 666.0

2nd Run (calibrated to violet2)

  1. 410.0
  2. 434.0
  3. 486.0
  4. 657.0

3rd Run (calibrated to green/blue): For this run Darrell narrowed the slit to obtain higher resolution lines.

  1. 412.0
  2. 436.0
  3. 489.0
  4. 666.0

4th Run (calibrated to Red)

  1. 656
  2. 486
  3. 434
  4. 410

Now we'll get some data with the same calibration to compare our repeatability in reading 4th Run (Repeat of calibrated to Red)

  1. 658
  2. 486
  3. 434
  4. 410

4th Run (Repeat of calibrated to Red)

  1. 657
  2. 486
  3. 434
  4. 410
  • DEUTERIUM DATA

Keeping the final calibration used for hydrogen as it produced decent results compared to known spectra and decent repeatability

1st Run

  1. 410.0 Violet1
  2. 434.0 Violet2
  3. 485.5 Green/Blue
  4. 657.5 Red

2nd Run

  1. 410.0
  2. 434.0
  3. 485.5
  4. 657.0

3rd Run

  1. 410.0
  2. 433.25
  3. 685.5
  4. 657.0

4th Run

  1. 685.5
  2. 485.5
  3. 434
  4. 410.5

5th Run

  1. 655
  2. 485.3
  3. 434.9
  4. 410.6
  • RESOLUTION OF SPECTROMETER

We are instructed by the manual to see if we can succesfully measure the two closely spaced yellow lines (586.0 & 586.6) characteristic of the sodium spectrum. Unfurtunately we were unable to find a sodium lamp so we decided to find another element whose sapectrum contains two closely spaced lines. After searching for spectra on the internet we saw that Krypton has fairly closely spaced lines so we decided to use this gas for our measurement of the resolution.

Within the purple region of the spectrum we found quite a few closely spaced lines. So we looked for 2 that were as close together as we could resolve. These lines were at 445.4nm and 445nm, indicating that we have a resolution well within 1nm. Repeating this procedure in the orange part of the spectrum we found two lines that were equally closely spaced together as the two purple lines, however they were at 605nm and 607nm, indicating to us that the resolution of our spectrometer at longer wavelengths was lower.

We thought to look for this difference in resolution because of the change in the scale of the vernier dial indicated that it would have a sensitivity that changed across the range of measurements. This also fits well with our understanding of the dispersion of light that the instrument depends on. The angle of difraction, as a function of wavelength, does not follow a straigt line but is curved. (see dispersion of light)

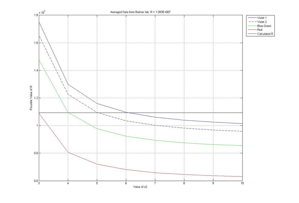
  • Data Analysis

Using matlab we calculated possible values for R with a variety of values for n2 for each frequency. Looking through these we found the closest to constant value and used this for Rydberg. The plot of the data produced by the code is below. matlab code


image from code