IGEM:Melbourne/2008/BioClock/Model(SP)
From OpenWetWare
Jump to navigationJump to search
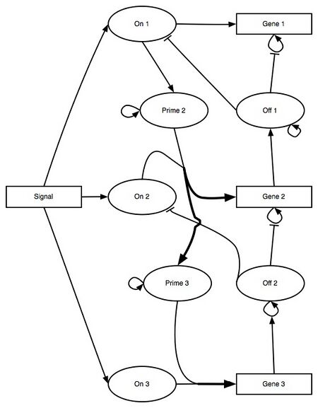
Overall System

Main Features:
- Single signal switches activation of genes in a sequential order
- Each state ensures that the previous state is switched off
- Each state 'primes' the next state to make it ready to be switched on
- Signal need only be pulsed for a short time
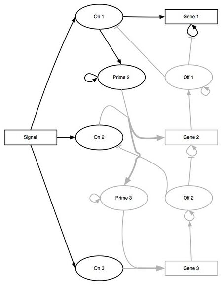
First Pulse

- First signal pulse is sent, activating On1, On2 and On3
- On2 and On3 cannot yet do anything
- On1 activates Gene1 (which maintains itself) and Prime2 (which also maintains itself)
- After the signal pulse, On1, On2 and On3 will degrade. This leaves Prime2 and Gene1 in the system
- Therefore, the system state is Gene 1 = ON, Gene 2 = OFF, Gene 3 = OFF
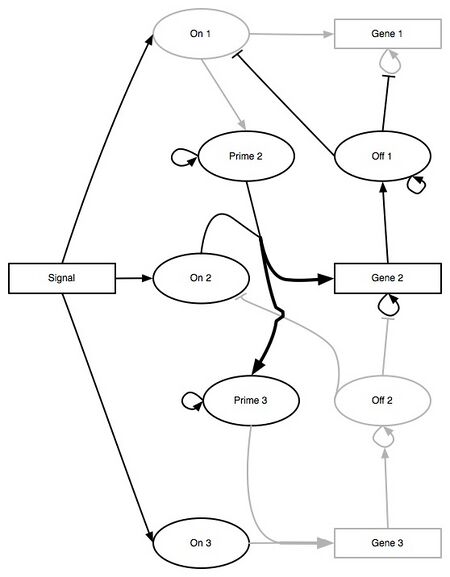
Second Pulse

- Second signal pulse is sent, activating On1, On2 and On3
- On3 cannot yet do anything
- On1 effectively does nothing because it tells Prime2 and Gene1 to switch on but they already are on
- On2 combined with Prime2 activates Gene2 (which maintains itself) and Prime3 (which maintains itself)
- Gene2 also activates Off1 (self-maintaining), which represses Gene1 and On1
- After the signal pulse, On1, On2 and On3 degrade, leaving Prime 3 and Gene2 in the system
- Therefore the system state is Gene 1 = OFF, Gene 2 ON, Gene 3 OFF
Third Pulse

- Third signal pulse is sent, activating On1, On2 and On3
- On1 is repressed
- On2 would activate Prime3 and Gene2 but they are already active
- On3 combined with Prime3 activates Gene3 (which maintains itself)
- Gene3 activates Off2 (self-maintaining), which represses Gene2 and On2
- On1, On2 and On3 degrade after the pulse is stopped, leaving Gene3 in the system
- Therefore the system state is Gene 1 = OFF, Gene 2 = OFF, Gene 3 = ON and we have a system that goes from 0→1→2→3 with a pulse of a single signal.
Thoughts
- The kinetics of this model would be very important, Prime2 cannot accumulate after the first pulse until On2 degrades
- Possible solution, make On2 be activated by Signal + Prime2
- Would it be possible to make all the On proteins the same, with just the Prime protein being the determinant of which state gets turned on next?
- Should the Off1 protein be activated directly by On2/Prime2 to decrease the time until Gene1 is switched off?
Comments/Questions
- 1. It is great to see a non-binary clock model. How modular will this design be (ie. Can it be easily recombined with other modules for functions other than telling time?)
- 2. If we want to time above 3, what is needed (this again is related to modularity and extension)?
- 3. If this is going to be implemented in a single cell, your pulsing and processing of the entire gene1,2, and 3 expression need to finish prior DNA replication (ie ~ 20mins in E.coli). This also goes to say that lloyd's model001 will encounter this problem too because it is a single cell implementation. Lloyd's model002 is currently underway and it is a B0, B1, B2 cells (ie multicells) approach. Can you explain if this will be a single cell or multicell model?
- 4. How different is your implementation to Elowitz repressilator that also did gene1 ON, gene2 OFF, gene3 OFF, AND THEN gene1 OFF, gene2 ON, gene3 OFF AND THEN gene1 OFF, gene2 OFF and gene3 ON in a cycle manner?
- 5. How does your model deal with asynchronous gene expression responses?