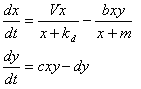
File:Theoretical Analysis 6h.PNG
From OpenWetWare
Jump to navigationJump to search
Theoretical_Analysis_6h.PNG (113 × 88 pixels, file size: 1 KB, MIME type: image/png)
File history
Click on a date/time to view the file as it appeared at that time.
| Date/Time | Thumbnail | Dimensions | User | Comment | |
|---|---|---|---|---|---|
| current | 10:00, 30 September 2006 | 113 × 88 (1 KB) | Baijiongjun (talk | contribs) | ||
| 09:57, 30 September 2006 | 141 × 89 (1 KB) | Baijiongjun (talk | contribs) |
You cannot overwrite this file.
File usage
The following page uses this file: