File:Non-Dimension.jpg
From OpenWetWare
				
				
				Jump to navigationJump to search
				
				
Non-Dimension.jpg (426 × 82 pixels, file size: 12 KB, MIME type: image/jpeg)
Summary
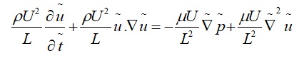
Non Dimensionalized Navier Stokes Equation
File history
Click on a date/time to view the file as it appeared at that time.
| Date/Time | Thumbnail | Dimensions | User | Comment | |
|---|---|---|---|---|---|
| current | 07:31, 24 February 2019 |  | 426 × 82 (12 KB) | Ssur (talk | contribs) | Non Dimensionalized Navier Stokes Equation | 
You cannot overwrite this file.
File usage
The following page uses this file:
