Endy:F2620/Latency/Data
From OpenWetWare
				
				
				Jump to navigationJump to search
				
				

Comment:
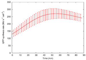
I have analyzed the data to demonstrate what kind of graphs I can have and to demonstrates that the code works, but the values are really low and I think this is because it was induced too early.
Let me know if you/when you redo the experiment I rerun the stuff.
File:LATlatency-sparse.tsv
Latency processed data (.xls)