Elizabeth Polidan Week4

From OpenWetWare
Jump to navigationJump to search
My children

Elizabeth Polidan

BIOL 398.03 / MATH 388

  • Loyola Marymount University
  • Los Angeles, CA, USA

Elizabeth Polidan Home

Course Home


Week 4 Assignment


Answers to questions in A second chemostat assignment


Plots from running Matlab

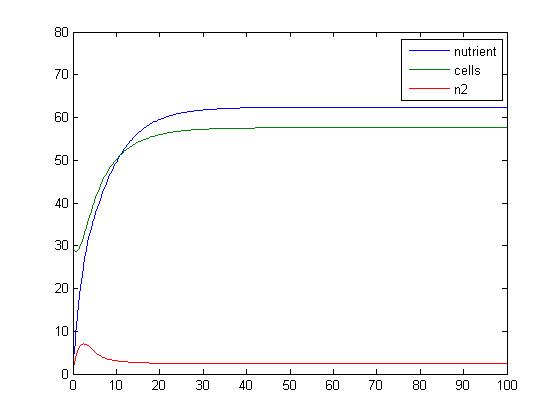
Figure 1
Original script 
t0 = 0;    % initial time
t1 = 100;  % final time
c0 = 0;    % initial nutrient conc
N0 = 30;   
c20 = 0;
S0 = [c0;N0;c20];
q = 0.15
u = 120
r = 1.0
K = 5
V = 0.5
u2 = 60
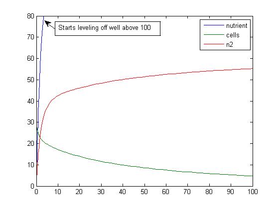
Figure 2
t0 = 0;    % initial time
t1 = 100;  % final time
c0 = 0;    % initial nutrient conc
N0 = 30;   c20 = 0;
S0 = [c0;N0;c20];
q = 0.15
u = 30
r = 1.0
K = 5
V = 0.5
u2 = 60
Figure 3
 t0 = 0;    % initial time
 t1 = 100;  % final time
 c0 = 0;    % initial nutrient conc
 N0 = 30;   
 c20 = 0;
 S0 = [c0;N0;c20];
 q = 0.15
 u = 120
 r = 1.0
 K = 5
 V = 0.25
 u2 = 60
Figure 4
 t0 = 0;    % initial time
 t1 = 100;  % final time
 c0 = 0;    % initial nutrient conc
 N0 = 30;   
 c20 = 0;
 S0 = [c0;N0;c20];
 q = 0.30
 u = 120
 r = 1.0
 K = 5
 V = 0.5
 u2 = 60
Figure 5
 t0 = 0;    % initial time
 t1 = 100;  % final time
 c0 = 0;    % initial nutrient conc
 N0 = 30;   
 c20 = 0;
 S0 = [c0;N0;c20];
 q = 0.45
 u = 120
 r = 1.0
 K = 5
 V = 0.5
 u2 = 60
Figure 6
 t0 = 0;    % initial time
 t1 = 100;  % final time
 c0 = 0;    % initial nutrient conc
 N0 = 30;   
 c20 = 0;
 S0 = [c0;N0;c20];
 q = 0.15
 u = 120
 r = 1.0
 K = 5
 V = 0.5
 u2 = 30