ESSCOSMOS/2009:Diversity
Overview
Humans substantially impact the functioning of ecosystems that we manage. Lawns are a ubiquitous component of suburban development in the United States that was popularized by Frederick Olmstead. Presently, lawns account for the largest area of irrigated crop in the United States (See "NASA: Looking for lawns"). As southern California (and other regions) enter into future climates, residents may no longer be able to provide the large amount of water that is required to maintain lawns in such arid environments.
In the arid climate of southern California, the difference between unmanaged and managed ecosystems is easily observed: the grasses in lawns remain green and growing year-round despite the hot dry summer. Meanwhile, the surrounding grassland ecosystems thrive during the wet winter months and become brown and dormant during the summer.
In this activity, we will investigate the impact of lawn management on the abundance and diversity of plants and insects.
Objectives
The objectives of this activity are to:
- Learn how to measure diversity and calculate diversity indices
- Develop a hypothesis about which ecosystem will have the highest diversity and abundance
- Determine the ratio of diversity and abundance in managed to unmanaged ecosystem
- Test the hypothesis using an unpaired t-test with n=5 plots per site
Materials
- Data Sheet
- GPS Device
- TDR probe for measuring soil moisture
- Thermometer for measuring soil temperature
- Trowel
- plastic tubs
- paper plates
- 0.5 x 0.5 m frame for measuring plant diversity
- Data entry form
- Underground Adventure Soil Critter Field Guide
- forceps
- tubes for collecting insects
Methods
Class will be divided into five groups of four, and each group will be responsible for taking data from a single plot at each of the two sites. One pair will collect plant data and the other pair will collect insect data. A total of five plots, one per group, will be studied at each site.

Sites
We will be comparing biodiversity of plants and insects at two sites. The first is an unmanaged grassland, and the second is a lawn within a nearby residential neighborhood.
Measuring Biodiversity
Percent Cover
- toss the 0.5 m x 0.5 m quadrat to a randomly selected location
- record the identity and percent cover of each plant species
- for any unknown species, keep a sample to compare with other groups
Insect Diversity
- Using a trowel, remove a 10 x 10 x 10 cm cube of soil and place it in a bin
- mix the core well
- count the number insects in each morphological group
- replace soil, insects, and grass
Data Collection
- Record the latitude and longitude at each site.
- Record the total number of plant species and the percent cover of each species.
- Count the total number of insect groups represented and the number of individuals found in each group.
Data Summary
Calculate the Shannon Weiner Index ([math]\displaystyle{ H^\prime }[/math]) of diversity for both plants and animals. Enter this number in the results form.
- [math]\displaystyle{ H^\prime = -\sum_{i=1}^S p_i \ln p_i }[/math]
- [math]\displaystyle{ S }[/math] The number of species. Also called species richness.
- [math]\displaystyle{ p_i }[/math] The proportional abundance of each species or group, calculated as the proportion of individuals of a given species divided by the total number of individuals in the community: [math]\displaystyle{ n_i\over N }[/math]
Results
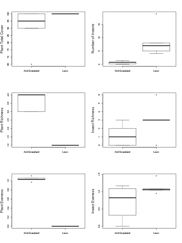
Figure 1. Comparison of plant and insect communities in an arid grassland and a neighboring lawn. Total plant cover was similar at both sites, but there were significantly more insects in the lawn compared to the arid grassland (P=0.04). Plant species richness and evenness were greater in the arid grassland than in the lawns(P=0.0004 and P<0.0001, respectively). Insect richness and evenness were not significantly different at the two sites. n= 5 plots at each of two sites)
Homework assignment
Interpret results in a single five-sentence paragraph. Due Thursday July 2 before lab.
