Chem 11. 이민수(Minsu Lee)
experiments
2015.07.30.Tur
- 테이프를 떼어내고, 기판과 박막이 증착된 곳의 depth 측정
- alpha step 500
- alpha step diamond tip sensor
- 왼쪽의 흰색 부분이 증착된 곳, 오른쪽의 회색 부분이 기판. 두 부분의 차이를 측정
- 측정 그래프
x축 왼쪽 부분이 y값(height)이 더 크게 나옴 => 증착된 부분 x축 오른쪽 부분이 height가 더 작게 나옴 => 기판 부분 두 부분의 중앙값을 설정한 후, 두 중앙값의 차이를 계산 => depth 값 (* 만약 그래프가 가파르게 증가할 경우 'level'이라는 기능을 통해 값을 비슷하게 만들어 줌)
- 6번 측정, G-TEST => 6개 실험값 모두 신뢰가능, depth 평균값
2015.07.21.Tue
- spin coating
- spin coater
- 물체를 회전시켜 물체 위에 올려진 액체를 원심력에 의해 밖으로 밀려나가게 하여 임의의 물체에 액체를 코팅하는 방법.
- 감광제를 도포-PR(photo resistor)를 코팅
- 사용되는 액체는 점도가 있어야함 -> 감광제는 유기화합물
- SiO2(무기물)---감광제(유기물) : 밀착력 향상시켜야함
->진공상태에서 HMDS(Hexamethyldisilazane)도포 - 목적 : wafer에 일정한 두께로 감광제 박막 형성 <-영향을 미치는 요인 : 점성계수(순수한 물은 X), 다중체 함량, 최종스핀속도, 가속도.
- spin coater
점성계수 : 박막 두께 결정 다중체 함량 :
daily
2015.06.29.Mon
- 금요일에 발표한 idea 구체화
- 논문을 읽고 아이디어를 생각해보면 논문 내용에 제한되어 참신한 아이디어가 떠오르지 않음
- 티셔츠제작
- 지인에게 기본 티셔츠 지원여부를 물어보니, 따로 지원되는 것은 없고 직원 할인은 가능하다고 함 / 저렴한 티셔츠를 구입 하는 것이 나을 것 같음
2015.07.13.Mon
- metallization
http://www-inst.eecs.berkeley.edu/~ee143/fa10/lectures/Lec_16.pdf
2015.07.20.Mon
- spin coating
def: 코팅할 물질의 용액이나 액체 물질을 기질 위에 떨어뜨리고 고속으로 회전시켜 얇게 퍼지게 하는 코팅 방법. 전자 제품 소자의 제조에 많이 사용한다.
caDNAano
2015.02.03
지난 팀 작품 공부
2015.05.22.Fri
Multiplexed DNA Detection with Biobarcoded Nanoparticle Probes
- DNA microarrays 한계점
1. the necessity for target amplification
2. post-amplification fluorophore labeling
3. slow binding kinetics b/n target sequence and capture strand(in the case of multiplexed analysis)
4. overlapping spectral features of the fluorophores
5. nonuniform(비균일) photobleaching rates
6. the need for multiple-laser excitation sources
7. complex
8. expensive instrumentation - Oligonucleotide-functionalized gold nanoparticles (Au NPs) 장점@ sensitivity and selectivity over conventional probes
1.cooperative binding properties
2.unique optical properties
3.catalytic properties
4.the existence of robust(튼튼한) and versatile(다목적의, 다용도의) surface-functionalization methods - biobarcode assay
based on Au NPs functionalized with a large number of oligonucleotide strands(the barcodes) and a corresponding recognition agent (an antibody in the case of protein detection and a portion of the barcode strand that can recognize the target of interest in the case of nucleic acid detection)
장점
1) rapid detection of protein targets at low-attomolar(10-18) concentrations nucleic acids at high-zeptomolar(10-21) levels under optimized conditions
2)enzymatic amplification of the target sequence prior to detection이 필요하지 않음(barcode strands가 surrogate(대리의) target으로 사용되며 amplification의 수단으로 사용되기 때문에) - biobarcode 구성
입자1 MMP(자성입자, magnetic microparticle) probes : target과 상호작용하는 생체물질(항체)가 붙어있음
입자2 Au NP : target물질을 잡아내는 입자, target물질을 잡아내는 입자인 Au NP probe는 바코드DNA를 지니고 있다. - 바코드DNA
1. 여러 가지 용액 내에서 안정
2. 마지막에 감지가 쉬운 임의의 DNA
3.감지대상 물질을 나타내는 일종의 tag
4. 디자인이 가능한 경우의 수는 매우 많음 (30base를 가진 DNA) - 이러한 probe들과 target을 섞어줌-> MMP와 AU probe가 complex를 형성(complex는 자기장을 걸어줌으로 인해 쉽게 분리O)-> complex로부터 바코드DNA분리
*바코드DNA가 thiol결합을 통해 금입자에 결합해 있는 경우 : DDT를 가해줌으로써 complex를 이루고 있는 나노입자로부터 분리해 낼 수 있다=>바코드DNA는 chip상에서 금나노입자를 통해 감지가 됨->Ag로 코팅처리를 시킨 후에 light-scattering을 통해 정량
2015.02.27.Fri
Todai nonORFEVRE Oligomeric Cell Killer
- abstract : 암세포는 비정상적으로 나누어지고 제어할수 없게 자란다. 그 결과 악성종양이 생성되고 인체에 침입한다. 항암화학요법은 암을 치료하는 데에 일반적인 의학적 방법이다. 그러나, 이것은 종종 암세포 뿐 만 아니라 정상세포를 공격하여 정상적인 조직과 기관에 해를 입힌다. cancer-specificity를 향상시키기 위해, DDS(drug delivery system)이 개발되었다. 하지만 이것은 각각의 약에 대해서 전달 시스템을 최적화하기 어렵다. Team Todai nanORFEVRE은 전달 시스템(DDS)가 필요하지 않은 cancer-specific drug를 만들려고 한다.
- solution
높은 specificity를 가진 cancer-cell-killing system을 이루기 위해서, 우리는 처음에 membrane attack complex(MAC)이라고 불리는 인간 면역 체계human immune system에서의 메커니즘에 관심을 가졌다. 이것은 박테리아가 우리 인체를 감염시킬 때 작동한다. MAC의 시스템에서, subunits은 membrane을 관통하고, oligomerize하고, 박테리아 membrane으로 pore을 형성한다. 그러고 나서 subunits는 인지질 이중층을 방해하여 targeted cells를 분해하고 죽음에 이르도록 한다. 이 시스템에서 중요한 점은 subunits가 pore을 형성하고 난 뒤에만 세포독성cytotoxity를 보인다는 것이다. MAC은 관통하여 단순히 cell을 죽이지 않는다 / as 해가 없는 세포의 표면 위에 있는 분자가 sticking in(and forming pores)으로부터 MAC을 보호할 때/. 그러므로, MAC은 오직 박테리아와 같은 외부 세포에 대해서만 세포독성을 보인다. 그러나, MAC의 target-recognition은 위에 언급된 것 보다 더욱 복잡하며, 많은 수의 분자가 관련되어 있다. 그러므로 전체적인 시스템을 흉내 내기 어려우며, 간단한 synthetic biological approach(합성 생물학 접근법)를 사용하도록 유도한다. 이전의 연구에서, Rausch et al.은 MAC과 같은 pore-forming proteins를 개발하는 데에 peptides를 사용하였다. 하지만 그 연구에서 그들은 specific cells를 인식하지 못했다. recognition system을 성취하기 위해서, 우리는 DNA를 사용하는 것을 생각했다. 최근에, DNA에 의한 in situ computation(제자리 계산)이 보고되었다. 그 연구에서, DNA는 logic circuits로 사용되었다 : inputs으로 surface antigens를 사용하고, outputs으로 DNA strands를 생성하였다. Rudchenko et al.은 다른 self-assembling system과 DNA machinery로 그들의 logic circuit를 사용하는 것이 가능할 것이라고 말했다. 그러므로 우리는 이것이 DNA를 사용하여 cancer-recognition system을 만드는 것이 가능할지도 모른다고 생각했다. cell recognizing molecular nano-robot study에 영감을 받아, 우리는 DNA aptamer을 cancer cells를 인식하는데에 사용하였다.
* aptamer : 그 자체로 안정된 삼차구조를 가지면서/표적분자에 높은 친화성과 특이성으로 결합할 수 있는 특징을 가진/단일가닥 핵산 (DNA, RNA 또는 변형핵산)
우리의 일반적인 아이디어는 다음과 같다.
1)subunits는 정상세포와 암세포에 비특이적으로 붙는다.
2)cancer-specific proteins가 존재하는 경우에, OCKs는 oligomerize될 수 있다.
3)그리고 나서 subunits는 oligomerize하고 pore을 형성하며, 세포독성이 암세포에 유도된다.
전반적으로, 우리의 subunits는 암세포에서만 oligomerize하고 암세포만을 죽인다. DNA는 그 자체로 서열 정보를 가지고 있다.
DNA computation과 DNA-protein hybrid system을 사용하여, <DNA=aptamer, protein=cancer specific membrane Cell Killer”이름을 가진 생체분자의biomolecular robotic system을 생각하였다.
*6가지 단계 :
1. DNA strands는 designed structures를 형성하기 위해 protein=ligand> 우리는 “Oligomeric Cell Killer”이 암과 감염과 같은 다른 질병을 다루는 데에 유망할 것이라고 믿는다. - project goal :우리는 목표에 따라 DDS가 필요 없는 cancer-specific drug의 원형을 창작하였다. 이 목표를 이루기 위해, 우리는 Design page에 설명된 “Oligomeric assemble"을 이용한다.
1. DNA strands는 designed structures를 형성하기 위해 assemble한다.
2. membrane으로 투과
3. cancer-specific proteins 인식
4. solution내에서 oligomerization
5. membrane에서 oligomerization
6. pore형성과 세포 killing - design

1.디자인된 구조의 4가지 특징
1)broad plane-like domain to anchor on the cell surface
2)stick-domain to invade into the cell membrane
3)safety lock system for cell recognition
4)connectable sites for oligomerization and pore formation
2.과정
1)Anchoring and penetration : OCKs는 닻을 내리고 그들의 콜레스테롤에 의해서 인지질 이중층을 관통한다 -> 콜레스테롤 sticking site, structure
2)recognition(safety lock system) : OCK의 DNA aptamer는 암세포 specific membrane protein을 인식하고 biotin-modified strand locked by the DNA aptamer을 방출한다 -> aptamer lock system
3)oligomerization : 활성화된 biotins는 다른 단량체의 streptavidins에 결합하고 OCKs의 trimerization의 결과를 나타낸다.
4)pore formation : oligomerization에 의해 유도된 물리적인 저항은 OCK의 azides와 alkynes 반응기를 활성화시킨다. trimeric OCKs의 각각의 subunits의 stick-domain에 공유적으로 결합하며./ 지질은 OCKs의 stick-domain에 의해 만들어진 gap으로부터 배제된다. 결과적으로, part of membrane이 구멍나고, pore형성이 이루어진다.
논문공부
2015.07.16.Thr
A Sequence‐Selective Electrochemical DNA Biosensor Based on HRP‐Labeled Probe for Colorectal Cancer DNA Detection
http://www.tandfonline.com/doi/pdf/10.1080/00032710701746873#close
- Au에 probe DNA를 달고, target DNA와 detection DNA가 sandwich
- 실험 방법에 대한 내용은 box에 업로드
2015.07.08.Wed
Seawater-driven magnesium based Janus micromotors for environmental remediation
http://pubs.rsc.org/en/content/articlelanding/2013/nr/c3nr01458d#!divAbstract
- new hydrogen-bubble-propelled Janus micromotor
- based on the Mg-water reaction : self-propelled in seawater w/o an external fuel
- Mg-based micromotors
- Mg particles
- 크기 : ~30μm
- 비대칭적으로 coated 됨 (e-beam evaporation)
- layers : Ti, Ni, Au
- Janus micoromotors형성
- Ti layer : Ni-Au layers과 Mg 표면과의 접촉이 더 잘 일어나게 함
- Mg particles
- Mg-장점
- biocompatible 'green' nutrient trace element -> vital for many bodily functions & enzymatic processes
- low cost metal, Mg2+는 바닷물과 같은 자연 환경에 존재
- Mg-water reaction
- compact hydroxide passivation surface layer 형성 -> 반응 hindered
- 여기서, 오래 계속되는 추진이 가능 - chloride-rich enviroments(seawater)[이유 : macrogalvanic corrosion + chloride pitting corrosion processes]
- compact hydroxide passivation surface layer 형성 -> 반응 hindered
- 부식원리
1)pitting corrosion
* 염소 이온에 의한 부동태 피막의 파괴
* 스테인레스강은 중성의 물에서는 거의 부식이 되지 않지만 용액속에 Cl-이 존재하면 부동태 피막이 국부적으로 파괴되어 이 부분에 구멍이 뚫리거나(Pitting),
인장 응력이 가해지는 환경 하에서는 터짐(stress corrosion crack)이 발생되는 원인이 됨
* Cl-는부동태 피막중의 피막의 구조나 두께가 다소 불안정한 부분에서 산소나 수산기와 치환됨으로써 금속 염화물의 착염을 형성하므로 이런 국부적으로 피막이 용해된 부분을 기점으로 해서 부식이 진행됨
* 처음 부식이 발생되는 데는 다소 시간이 걸리나 일단 pit가 생기면 pit내부는 small 양극(Active상태)이 되고 외부 전체는 large 음극(Noble상태)이 되어 부식이 급가속으로 진행됨
* 발생 :부동태 피막 파괴 → 부식 pit 형성 → pit내 용액 정체 발생 → 용존산소 고갈 → 양이온 과다 → 염소 이온 끌어들임(전하평형) → HCL 형성(M+Cl- + H2O + H+CL-) → 부식 가속화
2)galvanic corrosion : 전해질 내에 두개의 다른 금속이 서로 접촉될 경우, 전위차가 발생되며 이것에 의해 금속간의 전류가 흐름 / 활성이 큰 금속의 부식이 촉진됨
- 반응식
- Mg(s) + 2H2O(aq) -> Mg(OH)2(s) + H2(g)
- seawater에 들어가면 -> 자발적으로 산화환원 반응이 진행됨 (Mg surface : 산화, water이 H2로 : 환원)
- oxide passivation layer이 Mg 표면에 형성 : 반응 hindered
passivation : 부동화(부동태화)
부동화는 어떤 물질을 "부동적"으로 만드는 과정으로, 보통 금속의 표면에 들러붙는 산화물 층의 침착으로 일어난다.
부식의 과정에서 부동화는 자연스럽게 일어나는데 더 심한 부식과 오염, 습기를 방지하기 위해 화학반응을 일으키지 않는 딱딱한 표면의 막이 형성된다.
이 층은 보통 몇 나노미터 두께의 산화물이나 질화물로 되어있다.
- gold layer과 Cl-가 있으면 반응이 계속 되도록 할 수 있다.(계속적으로 H2 bubble 생성, micromotor 추친)
- gold의 역할
- Mg-based micromotor의 self-propulsion을 가능하게 함
- macrogalvanic corrosion mechanism
- anodic index
Au : -0.0V (Ag : -0.15V)
Mg : -1.75V =>Au-Mg have larger electrochemical potential difference, compared to the Ag-Mg
- anodic index
- co-existing anions
- chloride-induced pitting corrosion on the Mg surface[metal Mg + passivation layer Mg(OH)2]
- Cl-
- chloride-induced pitting corrosion on the Mg surface[metal Mg + passivation layer Mg(OH)2]
1)promote the corrosion of Mg in aq solution 2)penetrate the pasivation layer 3)electrostatically transported into the pit => 전하 균형을 맞춤(pit내부에 Mg+농도)
- Mg 부식이 계속됨
=> pit내부에 OH-고갈 : pit 표면의 부동태화 방지
pit은 약한 산성을 띤다 <- Mg+, Cl- 증가
pit표면에 있는 Mg+중간체 반응[반응식: 2Mg+(aq) + 2H2O(aq) -> 2Mg2+(aq) + 2OH-(aq) + H2(g)]
위 반응은 autocatalytic - life time
- Janus Au-Ti-Ni-Mg micromotors : over one min. in seawater
- pH 영향
- 강산(pH<2)=>faser, 강염기(pH>12)=>hinder
2015.07.07.Tue
Base dependent DNA–carbon nanotube interactions: activation enthalpies and assembly–disassembly control
http://iopscience.iop.org/0957-4484/20/39/395101
- ssDNA <----(interact)----> SWNTs(single walled carbon nanotubes) (in solution, under sonication)
=>form a charged hybrid structure DNA/SWNT- The aromatic nucleobases : π-stack with the nanotube's graphene side walls
- DNA는 자발적으로 nanotubes주위를 감싼다
- 하지만 DNA molecule에 있는 모든 bases가 π-stacked 하지 않을 가능성도 생각
- simple helical 구조를 하지 않을 가능성도 생각
2015.07.04~05
Seawater-driven magnesium based Janus micromotors for environmental remediation
http://pubs.rsc.org/en/content/articlelanding/2013/nr/c3nr01458d#!divAbstract
- 논문 point
- describe the use of seawater as fuel to propel Janus micromotors
- magnesium microparticles and a nickel-gold bilayer patch : biodegradable and enviromentally friendly
- macrogalvanic corrosion, chloride pitting corrosion process 사용
- galvanic corrosion : refers to corrosion damage induced when two dissimilar materials are coupled in a corrosive electrolyte.
When a galvanic couple forms, one of the metals in the couple becomes the anode and corrodes faster than it would all by itself, while the other becomes the cathode and corrodes slower than it would alone.[1] - chloride pitting corrosion : is a form of extremely localized corrosion that leads to the creation of small holes in the metal. The driving power for pitting corrosion is the depassivation of a small area, which becomes anodic while an unknown but potentially vast area becomes cathodic, leading to very localized galvanic corrosion. The corrosion penetrates the mass of the metal, with limited diffusion of ions.[2]
cf.passivation : 표면 부동상태 , 표면이 잘 부식되지 않게 되는 상태
- galvanic corrosion : refers to corrosion damage induced when two dissimilar materials are coupled in a corrosive electrolyte.
- 원리
- Mg particles have an average size of ~30μm, asymmetrically coated by e-beam evaporation with Ti, Ni and Au layers => Janus micromotors
- immersion into seawater -> 자발적인 산화 환원 반응이 일어남 : 산화=Mg 표면, 환원=H2O->H2기체
- gold layer과 chloride ions에 의해 반응이 진행 : H2 bubble이 계속적으로 만들어져서 microparticles을 나아가게함
- self-propelled , speed = 90μm/s
- magnetic guidance가 micromotor 조종 => sharp and rapid turns , travels in a square pattern
2015.07.04.Sat
Catalytic Iridium-Based Janus Micromotors Powered by Ultralow Levels of Chemical Fuels
http://pubs.acs.org/doi/abs/10.1021/ja413002e
![]()
- Janus micromotor @ppb level of N2H4(hydrazine) alone propulsion due to the oxygen product gradient
- Janus micromotor : consist of plain particles with one hemisphere coated with iridium metal (diameter = 1.2μm)
- Ir(iridium) : decompose hydrazine fuel in monopropellant rocket
- Ir 촉매하에서 hydrazine 분해 -> N2, H2, NH3 생성 : high local concentration of product is formed around tte Ir surface (=osmotic gradient)
- The diffusionphoretic mechanism causes water to flow from regions of low to high solute concentrations
- diffusionphoresis : The movement of particles in a fluid caused by diffusion of the fluid
- diffusionphoresis : The movement of particles in a fluid caused by diffusion of the fluid
=>이 원리를 동력원으로 사용하려고 했으나, hydrazine이 인체에 유해하고 발암물질로 분류됨을 알게 됨
2015.07.03.Fri
Synthesis, properties and applications of Janus nanoparticles
http://www.sciencedirect.com/science/article/pii/S1748013211000491
![]()
- Janus nanoparticle 만드는 방법
1) masking : 일반적으로 가장 많이 쓰임 2) self-assembly 3) phase separation
2015.07.01.wed
A Polymerization-Powered Motor
http://onlinelibrary.wiley.com/doi/10.1002/anie.201103565/abstract
![]()
1.원리
-motor is powered by ROMP(ring opening metathesis polymerization) of norbornene

-monomer 농도기울기가 있을때, motor는 chemotaxis현상을 보인다.[*chemotaxis(주화성):화학 물질의 농도차를 감수하여 이동하는 생리기능, 화학 주성이라고도 함]
2.gold-silica Janus particles 합성하기(0.96μm silica partricle 사용)
- 금입자에 SiO2 코팅
http://nanocomposix.com/collections/silica-coated-gold
1) 0.96μm silica partricles : These particles were deposited as thin films
2) gold was deposited onto the monolayers -> asymmetric Janus particles
3) particles were modified with the Grubb's catalyst on the silica side
(*Grubb's catalyst :relatively high stability and high polymerization activity with norbornene)
3.motor 이동
![]()
- motor particle------(exposure to a monomer solution)------>polymer deposition on the motor surface
- Janus particle는 비대칭 -> 이것은 방향성을 증가시킴 (in directionality leading to the higher overall increase in diffusion)
- 농도차로 이동하는 원리
1) 비대칭적인 촉매 : particle의 한 쪽에서만 기질(substrate)을 소비함, 낮은 농도의 products와 더 느리게 확산하는 product를 모두 방출
2) 비대칭적인 촉매는 particle을 가로질러 osmotic force(삼투력)를 만듬
3) 이 힘은 유체의 흐름을 발생시킴 : 낮은 기질 농도(the catalytic side)에서 더 높은 기질 농도(the noncatalytic side) 쪽으로
=> particle은 유체의 흐름과 반대방향으로 움직임
2015.06.24.Wed
A Precisely Controlled DNA Biped Walking Device
1.구성
1)footpath:triple crossover, 3 end쪽에 single strand=>foot hold
2)linker:flexible 9 nt(not complementary to any of the other strands)
3)foot:two double helical domains
4)set strand:8 base overhang=>toehold(not complementary to any of the feet or foothold, allows the set strand to be removed by the unset strand)
5)unset strand : 5 end에 biotin
=>unset-set(pair) can be removed from the solution![]()
2.과정
1)foot2 is released from foothold B:unset strand 2B is introduced into the solution->it binds to the toehold of set strand 2B=>branch migration:result in the complete hybridization of set strand 2B&unset strand 2B
->unset complex : removed with Streptavidin beads
2)foot2-foot hold B(pair):flexible linker(짧게는 2nm) need to extend across foothold B to reach from foothold A to foothold C
3)psoralen cross-linking efficiency : (foot)3'-CA-5' [psoralen] 3'-TG-5'(foothold)
2015.06.23.Tue
A DNA-fuelledmolecularmachine made of DNA
<molecular tweezer structure>
:formed by hybridization of oligonucleotide strand A,B,C
1.구성
1)A,B,C strand
*strand A : 5 end, 3 end에 TET, TAMRA가 달려있음
*strnad B, C : dangling ends를 가지고 있음 => A는 B,C와 hybridize하고 B,C의 unhybridized portions는 펄럭인다(dangle floppily)
<tweezer의 open & closed state>
1)open state에서 F strand가 들어감 : B,C의 dangling end와 결합(=closed state), hybridize 할 때 free energy는 -1.8kcal/mol로 자발적임
2)F'를 화학양론적으로 add : machine에서 F를 제거함, FF'가닥 생성
*FF' strand : closing strand로 24+24+8 bp(56base)로 구성, 각각의 24base는 B,C strand의 dangling strand와 상보적임
3)FF' strnad방출 : open state로 되돌아옴
2015.06.22.Mon
An Autonomous DNA Nanomotor Powered by a DNA Enzyme
1.구성
1)2 strand (E and F)
*E strand : contains RNA-cleaving 10-23 DNA enzyme
*F strand : 2개의 fluorophores (fluorescein, tetramethylrhodamine)
2)substrate(S) : DNA-RNA chimera, binds to motor, 소모됨(enzyme substrate가 있을 때 까지 cycle 진행)
2.과정
1)S가 E strand(catalytic domain of the DNA)에 bind -> E strand의 conformational change(bulged duplex)
2)DNA enzyme:cleaves the substrate(DNA-RNA chimera substrate)=>S1, S2생성=>lower affinity for the DNA enzyme
3)bulged duplex pushes the two helical domains of the DNA motor apart & leads the motor to adopt an "open state"
4)S1, S2 해리
5)원래 상태(colsed state), 1 cycle
A Free-Running DNA Motor Powered by a Nicking Enzyme
1. 각 구성의 역할
1)track: rigid self-assembled structure with many identical single-stranded stators attached periodically along its length
2)restriction endonuclease(N.BbvC IB):binds to dsDNA @ specific 7bp recognition sequence, catalyze cleavage of the DNA backbone of one strand
3)cargo:oligonucleotide->hybridize to any one of the stators
4)stator:24nt sequence
2.원리
1)motion is driven by cleavage of the stators by the restriction endonuclease(N.BbvC IB)
2)cutting by N.BbvC IB -> cargo가 옆의 stators로 이동
:이 과정에서 stator 8nt 조각이 방출됨 -> cargo의 single-stranded overhangs(돌출부, 8nt)가 노출 -> bind to the intact stator S(i+1)
2015.02.17.Tue
Single-Molecule Kinetics and Super-Resolution Microscopy by Fluorescence Imaging of Transient Binding on DNA Origami
(a-c)DNA origami 구조 (LRO=Long Rectangular Origami)
-(a)solution AFM image : high yield of correctly formed structures
-(b)zoom-in on one of the LROs:underlying double crossover substructures(bridged seam in the middle)
-(c)fluorescently labeled staple strand:green frame 2(접힌 구조에 포함됨), red2:single-stranded extension of a different staple strand
(d-f)LROs를 형성하고 정제한 후, 구조는 biotinylated strands to a BSA/biotin/streptavidin 을 통해 고정되었다, 650nm laser를 이용하면 LROs-imager strands의 일시적인 결합이 관찰된다.
-(d)DNA origami 구조+ATTO532 dye(green)+red ATTO655 imager strands
:imager strand가 docking trand on the LRO에 결합하지 않으면->형광이 관찰되지 않음:fluorescent OFF-state
-(e)imager strand가 docking trand on the LRO에 결합->밝은 형광이 관찰됨
-(f)typical intensity vs time (τd:time for the dissociated state, τb:time for the bound state)
- Abstract
DNA origami는 나노크기 분자구조의 programmable assembly에서 강력한 방법이다. 이런 구조를 기능적인 생체재료로서의 응용에서 보면, 반응 동역학과 동적경과의 연구는 점점 더 중요해지고 있다. 우리는 DNA origami에 binding과 unbinding kinetics의 연구에 대한 단일분자 assay를 나타내었다. 우리는 [the kinetics of hybridization to single-stranded extensions on DNA origami가 isolated substrateimmobilized DNA with a slight position dependence on the origami와 유사하다]는 것을 조사하였다. 동역학 지식에 기초하여, PAINT(points accumulation for imaging in nanoscale topography)를 위해 DNA structures에 대한 reversible specific binding of labled oligonucleotides를 활용한다. - 본문
1. DNA origami technique은 long ssDNA scaffold 분자에 대해 short synthetic DNA staple strands의 sequence-specific binding에 기초하고 있다.
2.single-stranded docking strands protruding에 대한 형광 표지된 짧은 DNA oligomucleotides의 dynamic binding and dissociation에 대한 single-molecule assay를 소개한다.
-이 assay를 kinetic rates를 결정하는데 사용.
-docking strands의 길이, 농도, 온도, nanostructures에 결합하는 자리와 같은 parameters을 바꿈.
3.PAINT(points accumulation for imaging in nanoscale topography)는 diffusing molecules에 의해 imaged되는 objects를 계속적으로 targeting하는 것을 사용한다.
4.diffusing DNA probes로 가역적인 labeling의 방법으로 PAINT의 개념을 사용=>이것을 논문에서 DNA-PAINT라고 사용
5.DNA-PAINT의 장점(labeling of nanostructures와 비교하여)
-photobleaching되기 쉽지않다.
-형광물질의 선택에 있어서 자유롭다.
-labeling errors나 inactive fluorophores가능성이 낮다.
-probe hybridization/dissociation kinetics에 있어서 전체적인 조절이 가능하다. - Single-Molecule Binding Kinetics
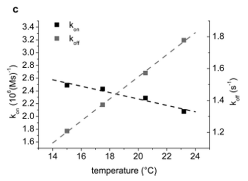
1.결합상수 kon 계산 : 1/τd = kon*c (τd:dissociation time, c:imager strand concentration)
2. imager strands의 해리상수 koff결정(koff=1/τb)
-koff와 c는 독립적이다.
-koff는 duplex길이에 의존한다. 반면에 kon은 duplex길이에 약하게 의존한다.
3.온도에 따른 증가/감소 : koff는 온도에 따라서 증가하며, kon은 온도에 따라서 약간 감소한다.
- Positional Dependence of Binding Kinetics on DNA Origami
1.목적:binding kinetics에 대한 DNA nanostructure의 영향을 확인하고 위치상의 영향을 조사하기 위해서.
2.실행:imager strands를 origami의 중앙이나 가장자리에 위치하고 있는 docking strands에 hybridized했다.(LROs, RRO(regular rectangle origami)로 수행함)
3.결과:
1)LROs에 대한 kinetic rate constants는 biotin-streptavidin linkage를 통해 표면에 고정된 control strand와 매우 유사했음. 중요한 위치 의존성을 보이지 않음.
2)RROs에 대해:control과 비교하여 kon은 약간 감소, 중심위치는 가장자리 위치와 비교하여 koff의 30%증가가 나타남.
=>DNA origami의 conformational state는 locally varying electric fields보다 hybridizaiton kinetics에 더 강한 영향을 미치기 쉽다. - Super-Resolution Imaging of DNA Origami Structures
1.그림설명:
(a)
|.LRO oligomers with DNA attachment points every 21.6nm imaged with AFM
||.LRO oligomers with DNA attachment points every 21.6nm imaged with DNA-PAINT
|||.LRO oligomers with DNA attachment points every 21.6nm imaged with diffraction-limited standard deviation imaging
(b)diffraction-limited TIRF and super-resolved DNA-PAINT images of triple labeled oligomers with connection strands every 129.5 and 32nm. 1D histogram of a region of interest containing several attachment sites
(c)distance distribution histogram of triple labeled LRO mononers
2.SR microscopy에 대한 test structures:micrometer-long DNA ribbons을 LRO monomers의 다합체를 이용하여 만들었다.
=>figure.a.|에서와 같이 multimerization결과는 enlongated ribbons and circularized structures이다.
figure.a.||:circular structures은 7nt long docking sequences를 사용하여 DNA-PAINT로 잘 resolved 될 수 있다.
figure.a.|||:conventional diffraction-limited light microscopy로 circularized structures를 resolve하는 것은 불가능하다. - Imaging Efficiency
1.문제제기:What fraction of docking strand positions present could actually be imaged?
2.수행:AFM과 DNA-PAINT measurements를 사용하여 특정 장소에서 staple strands의 presence사이의 비교를 수행.
3.연구:처음에 3개의 biotinylated staple strands의 RROs로의 결합 수득률을 연구하였다.
1)AFM images에서 staple strands로 강조된 3개나 2개의 streptavidin을 가진 구조의 수를 count했다. =>61% of the structures가 3개의 streptavidin proteins를 carried하고 39%가 2개를 carried한다.
2)DNA-PAINT:58%에서 3개의 points를, 42%에서 2개의 point를 resolve할 수 있었다.
=>의미:high overall imaging efficiency of ≈95%(functionalized origami nanoarrays에서 individual staple strands의 존재를 testing하는 유용한 특징이다. staple의 하나의 끝이 modification of interest로 labeled될 수 있는 반면에, 다른 끝은 imaging just those positions of interest를 위해 PAINT sequence를 carries한다.) - Discussion
1.fluorescence microscopy를 사용하여 DNA 나노구조에 대한 dynamic processes를 연구하기 위하여 single-molecule assay를 소개함.
2.응용:몇몇 DNA origami substrates에 대한 binding kinetics의 위치 의존도를 조사함.
3.이전의 PAINT approaches와 비교하여 장점:sequence specificity, wide adjustability of ON and OFF times의 이점
2015.02.10.Tue
DNA Nanotubes as Combinatorial Vehicles for Cellular Delivery
- Drug delivery system
부작용이 심한 약물은 혈중 농도 조절보다는 특수한 기술을 이용하여 표적부위로의 약물 전달로 극대화시킬 필요가 있다. 즉, 약물의 부작용을 줄이고 효능 및 효과를 극대화시켜 필요한 양의 약물을 효율적으로 전달할 수 있도록 설계한 제형을 말한다. - folate targeting
folate을 molecule/drug에 붙여 "folate conjugate"를 형성하는 것이다. folate가 folate receptor protein에 높은 친화도를 가지는 것에 기초한다. 이것은 human cancers의 표면에 보통 발현된다. folate-drug conjugates도 또한 강하게 FR에 결합하고 endocytosis(내포작용)을 통하여 cellular uptake(세포 흡수)를 방해한다. - Cy3-DNA-NTs를 암세포에 targeting하기
NTs를 화학적으로 변형:folate 이용
folate 사용한 이유:folate receptors(FRs)는 다양한 암세포 표면에 보통 발현되며, 암세포에 대해 biomarkers로 사용되어 왔음 - DNA-Nanotubes
1.single strand DNA(52-base 길이의 단일가닥 DNA)에 Cy3, folate는 각각 DNA 5번 말단에 conjugated됨->화학적 변형이 있는 DNA와 없는 DNA는 섞이고 모이게 되어 Cy3과 folate로 변형된 DNA-NTs를 형성한다.
2.KB cell에서 incubated 될 때 dual-functionalized DNA-NTs가 folate receptors에 붙게 된다(folate-FR interaction) - drug model로 Cy3을 사용:Cy3의 빨간색 형광 염색제 => DNA-NTs의 직접적인 시각화가 가능함
- self-assembled DNA nanostructure 의 중요성
1.Cy3을 암세포에 delivering 하는데 중요하다.
2.열적 변성과정을 진행:DNA-NTs는 95도에서 5분 동안 가열되었고, ice에 냉각되었다. 냉각과정은 DNA strands가 NT구조에 제대로 결합하기 위해서, 서로 만나는 것을 막는다.
3. 이 과정은 NT구조를 분리된 단일 가닥 DNA로 파괴한다. 그러므로 Cy3과 folate 부분은 같은 complexes 내에 있지 않다.
4.변성된 DNA samples로 세포를 incubating할 때, 형광이 관찰되지 않는다. 이것은 self-assembled DNA nanostructure가 Cy3의 cellular uptake에 필수적인 것을 말해준다. - result and discussion
1.이중으로 작용기가 부착된 DNA-NTs를 1시간 incubation 한 것과 untreated cells와 비교=>incubation이 증가한 형광을 보여준다, 형광 강도는 DNA 농도와 정비례한다.
2.incubation time이 1시간이 될 때까지는 형광이 증가하나, 그 이상 시간이 지나면 증가하지 않는다.=>cell 내부에 들어갈 수 있는 DNA 양에 제한이 있다는 것을 알 수 있다.
3.folate 함량이 증가할수록 형광이 증가(=더 높은 cellular DNA uptake)/folate가 10% 증가할 때, uptake가 최대치에 도달하며, folate 함량이 그 이상 증가하게 되면 DNA의 cellular uptake가 증가하지 않는다.=>세포 표면에서 FR의 양이 제한되어 있기 때문에, FR에 의존하는 DNA uptake에 제한이 있게 된다.
2015.01.26.Tue
Controlling Binding Affinities for Anions by a Photoswitchable Foldamer
- Abstract
azobenzene과 triazole motif를 포함한 Photoswitchable Foldamer는 음이온의 존재여부와 상관없이 조절가능하고 가역적인 방법으로 photochemical/dark 이성질화를 나타내었다. foldamer 구조의 변화는/크기와 음이온의 기하하적 모양에 따른 범위까지/음이온의 결합 친화도 변화를 유도한다. - 논문요약
-UV light가 조사되는 동안 안정한 trans form이지만 compact하고 twisted 기하구조의 cis form으로 확장되고 평면의 구조를 나타낸다.
-Scheme1:1이 trans구조를 하고 있는 동안, azobenzene core의 확장된 구조 때문에, 음이온에 대한 결합 친화도는 약할 것이다. 하지만 UV 빛이 조사된 후, 1이 cis구조를 하고 있는 동안, 음이온과 receptors사이의 공간적인 선호도 때문에, 음이온에 결합하는 것이 강해질 것이다.
-azobenzene과 1의 대칭적인 구조의 특성 때문에, 1cis는 용액에서 scissor-like 구조를 취한다.
-trans 구조는 재생되었다(reproduced)./주위 온도에서 10일 동안 dark한 상태로 유지될 때. 이것은 1tran와 1cis사이에 가역적인 변화를 나타낸다.
-1trans가 anions에 결합할 때 Cl- > HSO4- > Br- > I- ≈ NO3 순서의 선호도를 가진다./이것은 수소결합 상호작용의 정전기적 성질의 결과이다.
-1의 구조가 trans에서 cis로 변하는 동안 이런 anions에 대한 결합친화도가 증가한다.
-작은 크기의 anions의 경우 증가가 더 민감하다.(Cl->Br->I-) - 결론
azobenzene-triazole based photoswitchable foldamer는 anions에 대한 결합 친화도의 조절가능한 변화를 나타낸다. 이것은 anions의 크기와 모양에 달려있다. 비록 present system의 anion 결합 친화도의 변화가 그렇게 중요하지 않지만, 이 연구는 아직도 anion receptors[trigger로써 light를 사용함으로써 그들의 binding behavior to anions를 완전히 바꿀 수 있는]를 얻는 유용한 방법을 제공한다. 그러므로, 빛으로 조절되는 anion transport and separation에 potential(유망한, 잠재적인) 응용이 가능하다.
2015.01.17.Sat
pH-Reponsive Quantum Dots via an Albumin Polymer Surface Coating
- Quantum Dots : 나노물질은 크게 0, 1, 2 및 3차원으로 분류된다. 그 중에 0차원의 반도체 결정을 양자점이라고 한다. 양자점은 모든 방향에 대한 양자구속효과(quantum confinement effect)에 의해 엑시톤(exciton) 들이 양자점에 공간적으로 제한되어 벌크 형태에서 보이는 물질의 고유한 특성과 비교해 전기적·광학적 특성이 크게 변하게 된다.
논문에서 소개하고 있는 양자점(Quantum Dots)의 특징/특성
- photobleaching(광퇴색, 색을 가진 물체에 빛이 닿아서 퇴색하는 현상)에 대한 높은 저항
- 생물의학 진단에 활용하는 형광단으로써 촉망되는 넓은 들뜸 범위
- 소수성 - 논문에서 소개하고 있는 'peptide-polymer hybrid material'합성에 대해서
-사람혈청알부민(BSA)에서 유래되었고, 변성된 HSA(dHSA)의 안정화를 촉진하는 반응 sequences를 이용함
-QDs(Quantum Dots)에 생체적합한 표면 코팅을 하는 쉬운 방법을 소개하고 있음
-이것으로, QD에 기초한 pH sensonrs의 발전에 기여할 수 있음 / 이 sensor는 더 나은 형광 신호를 줌 - 합성과정
1) HSA->dHSA
urea/phosphate buffer(pH7.4)에서 용해됨
환원제로 TECP 사용 : HSA의 3차구조 내에서 34개의 disulfide bridges를 줄이기 위해 사용
2) dHSA->dHSA-PEO hybrids
3번 분자 : 남아 있는 thiol groups와 반응하기 위해 사용됨
3) dHSA-PEO hybrids->dHSA-PEO-TA hybrids
4의 lysine side chain과 5의 thiotic acid groups의 축합반응
4) dHSA-PEO-TA hybrids->dHSA-PEO-TA hybrids coated quantum dots
6으로 코팅된 QD의 특징 : 방출 스펙트럼에서 약간의 batochromic shift(red shift, 더 긴 파장대로 이동)를 나타냄
2015.01.03.Sat
Unidirectional molecular motor on a gold surface
- Abstract
:기계적 장치의 다양한 범위의 기능을 흉내 낼 수 있는 분자들이 제작되어지고 있다. 이 분자들은 기계적 운동을 유도할 수 있는 motor를 가진다. 그러한 분자 motor는 빛이나 화학에너지를 방향성 있는 회전/선형 운동으로 전환한다. 그리고 보통 용액 내에서 준비되고 작동된다. 하지만 만약 그들이(분자 motor) 유용한 일을 할 수 있는 nano-machines으로 사용된다면, surface에서 작동할 수 있는 system을 세우는 것이 중요하다. 최근에 보고된 linear artificial muscle과 같이.
surface-mounted rotors는 예측되어지는 운동의 방향성이 인식되고, 제한되었다. 여기서 우리는 반복적으로 한 방향으로 회전하는 운동이 가능한, 빛으로 유도되는(light-driven) 분자 motor가 gold nano particles의 표면에 mount될 수 있다는 것을 증명한다. motor 디자인은 propeller역할을 하는 위쪽 절반에 chiral helical alkene을 사용한다. 그리고 이것은 탄소-탄소 이중결합을 통해서 stator역할을 하는 아래쪽 절반과 연결되어있다.
stator은 두 개의 thiol 작용기를 가진 ‘legs’를 가지며, 이것은 전체 motor 분자를 gold표면에 묶는다.
NMR spectroscopy는 중심 이중결합의 cis-trans 이성질화를 나타낸다. 이 이성질화는 빛으로 유도되며, 각각은 열의 helix 반전이 따른다. 이 반전은 역-회전을 방지하기 위함이다. 시스템의 아래쪽 절반에 대해 프로펠러의 완전한, 한 방향의 360도 회전을 유도한다.







