Biomod/2014/UCR/Breaking RNA/Results
<html lang=> <head>
<meta charset='utf-8'> <meta http-equiv="X-UA-Compatible" content="IE=edge"> <meta name="viewport" content="width=device-width, initial-scale=1"> <link rel="stylesheet" href="styles.css"> <script src="http://code.jquery.com/jquery-latest.min.js" type="text/javascript"></script> <script src="script.js"></script> <title>Breaking RNA</title>
<style>
- column-one,.toc {
display: none;
} body.mediawiki {
background: url(http://openwetware.org/images/8/8c/Breaking_RNA_Background.png); background-size: cover;
}
- globalWrapper{
width: 80%; margin-left: 10%; position: absolute;
}
- content{
margin: 0px; background: white;
}
h1,h2,h3,p,ul,li {
font-family: 'Open Sans', sans-serif; font-weight: 300; color: Black; text-align: justify;
} h1
{
text-align: center;
}
h3
{
font-size: 20px;
position: relative;
text-align:center;
}
p
{
font-size: 16px;
line-height: 30px;
padding: 10px 150px;
}
- objectives
{
}
- objectives ul
{
padding: 0 0 0 30%;
margin: 0 auto;
}
- objectives li
{
font-size: 18px;
list-style: none;
line-height: 30px;
}
- submenu
{
margin: 0px 40px 0px 22px;
}
- submenu a
{
color: black;
text-decoration: underline;
}
- submenu a:hover
{
color: rgba(255,255,255,0.99);
}
- submenu ul
{
text-align: center;
padding: 8px 0px;
border: 3px solid black;
background: rgba(70,150,70,0.8);
}
- submenu li
{
font-size: 18px;
color: black;
padding: 0px 20px;
display: inline-block;
}
- supplemenu
{
margin: 0px 40px 0px 22px;
}
- supplemenu a
{
color: black;
text-decoration: underline;
}
- supplemenu a:hover
{
color: rgba(255,255,255,0.99);
}
- supplemenu ul
{
text-align: center;
padding: 15px 0px;
border: 3px solid black;
background: rgba(70,150,70,0.8);
}
- supplemenu li
{
font-size: 18px;
color: black;
padding: 0px 10px;
display: inline-block;
}
- floatmenu
{
position: fixed;
bottom: 0;
width: 78%;
font-size: 18px;
color: black;
padding: 0px 10px;
background: rgba(70,150,70,1);
border: 3px solid black;
}
- floatmenu td
{
text-align: center;
height: 36px;
}
- floatmenu td:hover
{
background: white;
}
- button
{
border-left: 3px solid black;
}
- floatmenu a
{
text-decoration: none;
color: black;
}
@import url(http://fonts.googleapis.com/css?family=Open+Sans:700);
#cssmenu {
background: url(http://openwetware.org/images/8/8c/Breaking_RNA_Background.png); background-size: cover; width: auto; border: 3px solid rgba(0,0,0,0.8);
} #cssmenu ul { list-style: none; margin: 0; padding: 0; line-height: 1;
text-align:center;
display: block; zoom: 1; } #cssmenu ul:after { content: " "; display: block; font-size: 0; height: 0; clear: both; visibility: hidden; } #cssmenu ul li { display: inline-block; padding: 0; margin: 0;
line-height: 1;
} #cssmenu.align-right ul li { float: right; } #cssmenu.align-center ul { text-align: center; } #cssmenu ul li a { color: #ffffff; text-decoration: none; display: block; padding: 15px 25px; font-family: 'Open Sans', sans-serif; font-weight: 300; text-transform: uppercase; font-size: 14px; position: relative; -webkit-transition: color .25s; -moz-transition: color .25s; -ms-transition: color .25s; -o-transition: color .25s; transition: color .25s; } #cssmenu ul li a:hover { color: #f2ff00; } #cssmenu ul li a:hover:before { width: 100%; } #cssmenu ul li a:after { content: ""; display: block; position: absolute; right: -3px; top: 19px; height: 6px; width: 6px; background: #ffffff; opacity: .5; } #cssmenu ul li a:before { content: ""; display: block; position: absolute; left: 0; bottom: 0; height: 3px; width: 0; background: #f2ff00; -webkit-transition: width .25s; -moz-transition: width .25s; -ms-transition: width .25s; -o-transition: width .25s; transition: width .25s; } #cssmenu ul li.last > a:after, #cssmenu ul li:last-child > a:after { display: none; } #cssmenu ul li.active a { color: #f2ff00; } #cssmenu ul li.active a:before { width: 100%; } #cssmenu.align-right li.last > a:after, #cssmenu.align-right li:last-child > a:after { display: block; } #cssmenu.align-right li:first-child a:after { display: none; } @media screen and (max-width: 768px) {
#supplemenu ul li {
float: none; display: block; } #supplemenu ul li a { width: 100%; } #cssmenu ul li { float: none; display: block; } #cssmenu ul li a { width: 100%; -moz-box-sizing: border-box; -webkit-box-sizing: border-box; box-sizing: border-box; border-bottom: 1px solid #ffffff; } #cssmenu ul li.last > a, #cssmenu ul li:last-child > a { border: 0; } #cssmenu ul li a:after { display: none; } #cssmenu ul li a:before { display: none; } }
</style>
</head>
<body>
</body>
</html>
<html> <body>
</body> </html>
Results
| Design and Modeling | Experimental Characterization | Assembling the Circuits |

The scheme above summarizes the objectives of our project and the tasks we had to accomplish. The green areas of the graph indicate tasks we successfully completed, white areas indicate tasks we were not able to fully complete.
Design and Modeling
Bistable switch

The complete set of reactions to build our bistable system is shown in Figure 1. The overall positive feedback loop is created as follows: gene g1 includes the T7 promoter, thus T7 RNAP transcribes RNA species R1, which is an inhibiting aptamer for SP6 RNAP. Gene g2 includes the SP6 promoter, and SP6 transcribes RNA species R2, which is an inhibiting aptamer for T7. These two mutual inhibition steps create an overall positive loop. Re-activation of the two enzymes is mediated by DNA kleptamers D1 and D2, which peel off the aptamers from their target, creating inert complexes D1* and D2*. We add RNase H to this circuit to bind to the two complexes D1* and D2*, degrade the RNA strand, and release the DNA kleptamer in solution. The overall set of reactions (binding rates are indicated in Figure 1) and the corresponding ODEs are reported in the Supplement.

We investigated the capacity of this systems to exhibit bistable behavior, and the parameter range in which that is possible. This investigation is not trivial, because the system is nonlinear and is comprised of six differential equations. First, we found expressions for the system equilibria (reported in the Supplement) and plotted them numerically for physically plausible parameters (parameters are reported in Table 1 of the Supplement): as shown in Figure 2 A (right panel), the equilibrium conditions intersect in 3 different points. By finding the eigenvalues of the Jacobian evaluated at each equilibrium, we conclude that two equilibria are stable and one is unstable, so the system is bistable as desired. We repeated the analysis just outlined in a range of parameter values, obtaining the bistability regions shown in Figure 2 B. This plot is helpful for our experiments because it provides some indication of how to pick the concentration of enzymes, of genes (parameters K1 and K2 are the product of the concentration of each gene by the enzyme transcription rate) and the concentration of the re-activation kleptamers D1 and D2.
Oscillator

The set of reactions to build the oscillator are more complex than what we saw for the bistable switch. The main negative loop is created by genes g1, which has a T7 promoter and transcribes the SP6 aptamer, and g2, which has the SP6 promoter and transcribes a kleptamer for T7. Gene g3 includes a T7 promoter and produces R3, an inhibiting aptamer for T7, thus creating a self-inhibition loop for T7. Gene g4 includes the SP6 promoter and produces R4, an RNA kleptamer for SP6, thus creating a self-activation loop for SP6. The complexes R1R4 and R2R3 are inert, so we treat them as waste that does not participate in other reactions. We also added a DNA kleptamer D1, which titrates R1 and mediates its degradation in complex D1* by RNase H. This reinforced degradation has been added after inspection of the model revealed that in its absence the system would reach a state where both enzymes were completely inactive. The reactions and the corresponding ODEs are listed in the Supplement.

To check if and when this system can oscillate, we found equilibrium conditions (derived in the Supplement) and linearized the ODEs. For the parameter set we considered (Table 2 in the Supplement), the system has a unique equilibrium, and the eigenvalues of the Jacobian evaluated at that equilibrium are complex with positive real part. The example trajectory shown in Figure 2 A (left) shows that the system indeed oscillates. We iterated this linear analysis in a range of parameters around the nominal set, and found regions where the system oscillates as shown in Figure 2 B. This plot is helpful in indicating at what concentrations of enzymes, genes, and DNA kleptamer we should test the complete circuit.
Preliminary work
Prior to the official start of the BIOMOD competition, team member Claire H. Tran with graduate students C. Cuba Samaniego and V. Mardanlou and other collaborators had done some modeling and numerical analysis of a much simpler version of these two circuits [1]. That work considered the basic network topology, but reactivation mechanisms mediated by RNA or DNA kleptamers had not been identified; preliminary experimental work involved the light-up aptamer reporter systems, and reproduction of the inhibitory aptamers published in [2, 3].
Experimental Characterization
The oligonucleotide sequences are specified in the Supplementary section. At the design stage, strands were all checked with [NUPACK] to avoid undesired secondary structures and strand interactions.
Spinach and Malachite Green Reporters
For experimental characterization of inhibition and reactivation RNA polymerases, we used genes that produce fluorescent RNA aptamers. The RNA transcript from these genes bind the corresponding dyes, giving rise to fluorescence. The we can track the activity of the RNA polymerases using fluorometer. We designed a gene with SP6 promoter which produces Spinach aptamer[4] and another gene with T7 promoter which produces Malachite green aptamers[5] . In the following figure, section B illustrates increase in fluorescence with accumulation of Spinach aptamer due to activity of SP6 RNA polymerase.

These reporters while invaluable in characterization of inhibition/activation of RNA polymerases, were found not to be ideal for use as a reporter for bistable switch or oscillator circuit. Further characterization of these reporters and their disadvantages can be found in the supplementary material section.
Molecular Beacons as Reporters

In order to address the need to measure the transcription rates of our systems, we explored alternatives to Spinach and Malachite green aptamer reporter systems. Ideally, addition of a reporter system in to a dynamic circuit like an oscillator, should not overload or perturb the circuit in any way. To achieve this we designed a reporter out of one of the components of our circuits, the DNA strand D1. The original function of the strand D1 is to reactivate inhibited enzymes by removing the inhibiting RNA aptamer (can be seen in this schematic diagram). In other words, it is a 'kleptamer'. Using RNA folding prediction softwares, we found that the single strand D1 is expected to form a hairpin like structure naturally, bringing the 5' end and 3' end closer.
Based on our oscillator design and models, D1 is expected to cycle between two states (1) In double stranded form bound to RNA (R1), (2) In single stranded hairpin form. By placing a fluorophore and quencher at the 5' and 3' ends, respectively, we can monitor D1 switching from state (1) to state (2). This provides us a neat way to keep track of the RNA concentration (of R1) during operation of the oscillator. The same is true for the bistable switch circuit - 'ON' and 'OFF' states of D1 will represent the flipping between equilibrium states in the bistable switch.
The use of molecular beacons[6] such as D1 as reporters creates a simple yet effective reporter system. Other reporter systems can potentially affect or complicate the main system, such as by competing with RNAP or by requiring the use of additional genes. Molecular beacons can function successfully without many components. This minimizes the clutter and complications associated with other reporter systems.
RNA Polymerase Inhibition Reactions

The topologies of our RNA clocks and switches rely on the idea that inhibition of a module is possible, whether it is self-mediated or caused by another module. Fluorescent RNA aptamer genes, Malachite Green and Spinach, were used to characterize and quantify different components of our system. The fluorescence from these genes give us a quantitative and visual readout mechanism for activity of the RNA polymerases. Figure 7 and Figure 8 successfully illustrate the inhibition of T7 and SP6 RNA polymerases by the respective aptamers.

Self-inhibition of T7 RNA Polymerase

In our oscillator scheme, in order to reset the cycle, the activated T7 RNA polymerase needs to be turned off. We accomplish this by using a self-inhibiting component. We designed the gene g3 with a T7 promoter, coding for T7 RNAP inhibiting aptamer. So when T7 RNAP transcribes this gene, the nascent RNA transcript will bind to the enzyme and inhibit it. This can be seen using fluorometry by measuring the transcription rate of Malachite Green aptamer from a gene also has a T7 promoter. The blue trace represents our negative control in which there is no G3. The orange trace represent the solution with G3 added. The gene was added around 1 hour into the experiment at 500 nM. It’s evident that the activity has been completely inhibited.
RNA Polymerase Activation Reactions
Re-activation of inhibited SP6 RNA polymerase using a kleptamer
Tools to inhibit RNA polymerases are not sufficient for construction of RNA clocks and switches. It must also be possible to reverse this inhibition. The following experiments show unequivocally that the kleptamers can successfully re-activate aptamer inhibited RNA polymerases. Figure 10-B, shows reactivation of SP6 RNA polymerase. In this experiment a gene transcribing the fluorescent Spinach aptamer, with a SP6 promoter, is monitored. Upon addition of inhibiting aptamer 'R1', the fluorescence flattens out, suggesting inhibition of SP6 RNAP. Then upon addition of kleptamer 'D1', the fluorescence shoots up again.

Re-activation of inhibited T7 RNA polymerase using a kleptamer
Figure 11-B, shows reactivation of T7 RNA polymerase. In this experiment a gene transcribing the fluorescent Malachite Green aptamer, with a T7 promoter, is monitored. Upon addition of inhibiting aptamer 'R3', the fluorescence flattens out, suggesting inhibition of T7 RNAP. Then upon addition of kleptamer 'R2', the fluorescence starts to increase again. The increase in fluorescence after re-activation is not as clear as SP6 polymerase, but there is certainly an increase in fluorescence after kleptamer addition.

Assembling the Circuits
Oscillator Preliminary Data
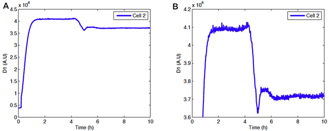
We attempted a few experiments with the full oscillator circuit. The concentrations of each component were chosen based on the results of our numerical analysis (Fig. 4 B). The Molecular Beacon D1 is used as a reporter, to keep track of increase and decrease in concentration of the strand R1. Cyclic increase and decrease in fluorescence will indicate the rise and fall in concentration levels of R1 as one would expect in a functional oscillator.
Oscillator experiment 1
The figure below shows one of our first experiments that suggests the system oscillates experimentally.

The initial increase in D1 reporter fluorescence points to production of R1. Then the fluorescence flattens out suggesting self-inhibition of T7 RNAP through gene g3. Thus, the R1 production has slowed down and RNAseH degradation of R1 is balancing out the any remaining production of R1. After 4 hours of reaction, the fluorescence starts to go down drastically suggesting a higher rate of R1 degradation than R1 production. Around 5 hours the fluorescence goes back up again, to start the next oscillatory cycle, though this time the oscillation has damped down considerably. To firmly conclude that what we are seeing is the cyclic oscillation of the circuit, we realized we had to run further experiments showing that such changes in fluorescence do not happen naturally. So we did the following experiment with a negative control which just has the molecular beacon in the reaction buffer.
Oscillator experiment 2: Effect of titration of RNaseH on oscillations
In this experiment, we varied the concentration of RNAse H (which drives degradation of R1) to test its effect on the dynamics of the system. This experiment includes a control sample (Cell 4, green line) that only includes R1 and D1 beacon in transcription mix. This control is needed to rule out the possibility that observed fluorescence fluctuations are due to the instrument.
The fluorescence profile over time is very similar to that observed in experiment 1, even though we had to switch to a fresh batch of RNase H (different batches may have different activity). Specifically, cell 3 (red line) is a sample identical to that shown in experiment 1; the RNase H volume added is 1µL. Cells 1 and 2 differ in the RNase H volume added, which is 0.7 µL and 0.8 µL respectively.

Experiments on Bistable Switch Assembly
While we did attempt a few tests on the full bistable switch circuit, we do not feel confident about the significance of the data we collected and we are not reporting them here.
References
-
Mardanlou, V. et al. and Blanchini, F. et al. To appear, IEEE Conference on Decision and Control, December 2014
- Ohuchi S, Mori Y, and Nakamura Y. Evolution of an inhibitory RNA aptamer against T7 RNA polymerase. FEBS Open Bio. 2012;2:203-7. DOI:10.1016/j.fob.2012.07.004 |
- Mori Y, Nakamura Y, and Ohuchi S. Inhibitory RNA aptamer against SP6 RNA polymerase. Biochem Biophys Res Commun. 2012 Apr 6;420(2):440-3. DOI:10.1016/j.bbrc.2012.03.014 |
- Paige JS, Wu KY, and Jaffrey SR. RNA mimics of green fluorescent protein. Science. 2011 Jul 29;333(6042):642-6. DOI:10.1126/science.1207339 |
- Babendure JR, Adams SR, and Tsien RY. Aptamers switch on fluorescence of triphenylmethane dyes. J Am Chem Soc. 2003 Dec 3;125(48):14716-7. DOI:10.1021/ja037994o |
- Tyagi S and Kramer FR. Molecular beacons: probes that fluoresce upon hybridization. Nat Biotechnol. 1996 Mar;14(3):303-8. DOI:10.1038/nbt0396-303 |
<html> <body>
</body> </html>