Biomod/2012/Titech/Nano-Jugglers/Simulation

From OpenWetWare
Jump to navigationJump to search


<html> <head> <style type="text/css"> /* ====================

  主に全体に関わるCSS

   ==================== */ body.mediawiki {

                       font-size: 14px;

background-image:url(http://openwetware.org/images/2/2d/TNJback.png); background-repeat: repeat; font-family: Calibri, Verdana, helvetica, sans-serif; }

               h1 {
                       padding: 0px 20px 5px 20px;
                       font-size: 34px;
                       line-height: 40px;
                       font-weight: bold;
               }
               h2 {
                       padding: 20px 20px 5px 20px;
                       font-size: 25px;
                       color: #000000;
                       text-decoration: none;
                       font-weight: bold; 
              }
               h2 a {
                       color: #eb8300;
               }
               h3 {
                       padding: 20px 20px 5px 20px;
                       font-size: 20px;
                       color: #000;
                       font-decoration: none;
                       font-weight: bold;
               }
               h1.firstHeading {

display: none;

               }

p { text-align: justify; } a:link { color: #00a5ea; text-decoration: none } a:visited { color:#00a5ea; text-decoration: none } a:hover {

                       color: #eb8300;

text-decoration: none } a:active { color:#f29400; text-decoration: none } #content{ margin: 0px 0 0px 0; align: center; padding: 12px 12px 12px 12px; width: 946px; background-color: #ffff; border: 0; } #bodyContent{ width: 970px; margin: 150px auto 0 auto; align: center; background-color: #ffffff; } #globalWrapper{ margin: 20px 0 0 0; width:994px; background-color: #ffffff; margin-left: auto; margin-right: auto } #biomodlink{ position:absolute;top:0px; width:970px;height:20px; background-color: #ffffff; margin:3px auto 3px auto }


/* ====================

  メニューの画像を変更できる部分
  ==================== */

#header {

                       margin: 0 auto 0 auto;
                       position:absolute;
                       top:28px; width:968px;height:189px;

background-color: #FFFFFF; background-repeat: no-repeat;

                       background-image: url(http://openwetware.org/images/7/74/Title-LOGO6.jpg); 

} /* ====================

  以下、特殊なclassに適用される
  ==================== */

#navigation { position:absolute;

                       top:120px; width:970px; height:92px;
                       background-repeat: no-repeat;

color: #0000FF; }

/* ====================

  ここからプルダウン周辺のデザイン
  ==================== */
  1. menu * {

margin: 0; padding: 0; }

  1. menu {
       position:absolute;

font-family: calibri, verdana, sans-serif;

       font-color: #000000;

background-color: transparent; float:left; display: block; }

  1. menu ul {
       position:relative;

float: left; text-align:center; list-style: none; }

  1. menu li {

background-color:yellow;

       position:relative;

float:left;

       width: 136px;

font-size: 23px;

       font-weight: bold;

border:ridge 0px #FFFFFF; }

  1. menu li.ach {

background-color:yellow;

       position:relative;

float:left;

       width: 162px;

font-size: 23px;

       font-weight: bold;

border:ridge 0px #FFFFFF; }

  1. menu li.sup {

background-color:yellow;

       position:relative;

float:left;

       width: 109px;

font-size: 17px;

       font-weight: bold;

border:ridge 0px #FFFFFF; }

  1. menu li.none {

background-color:yellow;

       position:relative;

float:left;

       width: 152px;

font-size: 17px;

       font-weight: bold;

border:ridge 0px #FFFFFF; }

  1. menu a {

color: #000000; display:block; text-decoration: none; }

  1. menu a:hover {

background-color:gold; }

  1. column-one { display:none; width:0px;}

.container{background-color: #ffffff; margin-top:0px} .OWWNBcpCurrentDateFilled {display: none;}

  1. footer{position: center; width: 994px}

@media screen {

   body { background: #F5F5F5 0 0 no-repeat;  /* changed default background */ }

} </style> </head> <BODY>

</BODY> </html>

Simulation Models

Physical principles for simulations

We confirm the movement of rocket on 2D plots in simulation.
We assumed that movement of biomolecular rocket is affected by following four forces and dynamics in simulation.

1. Driving forces from Bubble detachment

1.1. Calculation for Speed

Bubbles detachment helps Biomolecular Rocket go straightforward.
The Biomolecular Rocket is accelerated by a single bubble detachment every Δtd seconds .
Bubbles detachments occur when fixed time Δtd passed.
We defined radius changes of bubbles with time as following formula.
Δtd is defined as the time which is required bubbles to reach its detachment radius Rd.
We defined velocity vi produced by single detachment and Δtd as following formula.

1.2. Directional Calculation

Where bubbles generation occured is determined randomly on the hemisphere surface with catalytic engine.
We defined angle θ as bubbles detachment direction.
θ is determined by uniformed numbers in the area where catalytic engines are still attacched.
Bubbles detachment supply the Biomolecular Rocket velocity of opposite direciton.


2. Fluid resistance

Fluid resistance decreases speed of the Biomolecular Rocket.
Fluid resistance depends on the velocity of the Biomolecular Rocket and viscosity of solution.
Resistance is defined as
Therefore, acceleration of the Biomolecular Rocket is

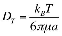
3. Translational Brownian displacement

Translational Brownian movement prevents Biomolecular Rocket from going straight forward.
This is because body of the Biomolecular Rocket is so small and smaller particles can't be controlled under Brownian Movement.
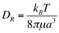
Translational displacement by Brownian movement is described as

4. Rotatory Brownian changes

Rotatory Brownian movement decreases the directional controllability of Biomolecular Rocket.
Movement of Biomolecular Rocket is also much influenced by Rotatory Brownian Movement
Rotatory changes by Brownian movement is described as
>back to Results 2.2. Numerical estimation of the speed of the Biomolecular Rocket
>back to Results 3.3 Directional control of Biomolecular Rocket by the photo-switchable DNA system

Tools

  • Scilab

References

  • J. G. Gibbs and Y.-P. Zhao (2009) Autonomously motile catalytic nanomotors by bubble propulsion. University of Georgia, Athens, Georgia 30602, USA, American Institute of Physics.
  • V. A. KiriUov and V. P. Patskov (1979) SOME REGULARITIES OF BUBBLE GROWTH UNDER CHEMICAL REACTION. Institute of Catalysis, Novosibirsk, USSR, React. Kinet. Catal. Lett., Vol. 11, No. 1, 15-19 (1979)