Biomod/2012/TeamSendai/Simulation
<html>
<head><style>#column-one { display:none; width:0px;} .container{background-color: #f5f5f5; margin-top:50px} .OWWNBcpCurrentDateFilled {display: none;}
- content {width: 0px; margin: 0 auto auto 0; padding: 1em 1em 1em 1em; align: center;}
- column-content {width: 0px; float: left; margin: 0 0 0 0;padding: 0;}
.firstHeading {display:none; width:0px;}
- globalWrapper{width:1280px; margin:auto}
body {background: #F0F0F0 !important;}
- column-one {display:none; width:0px;background-color: #f0f0f0;}
- content{border:none;margin: 0 0 0 0; padding: 1em 1em 1em 1em; position: center; width: 800px;background-color: #f0f0f0; }
.container{ width:1280px; margin: auto; background-color: #f0f0f0; text-align:justify; font-family: helvetica, arial, sans-serif; color:#f0f0f0; margin-top:25px; }
- bodyContent{ width: 1267px; align: center; background-color: #f0f0f0;}
- column-content{width: 1280px;background-color: #f0f0f0;}
.firstHeading { display:none;width:0px;background-color: #f0f0f0;}
- header{position: center; width: 800px;background-color: #f0f0f0;}
- footer{position: center; width:1280px;}
</style><header>
</html>
<html> <head>
<title>Team Sendai Top</title> <script type="text/javascript" src="http://code.jquery.com/jquery-latest.min.js"></script> <script type="text/javascript"> $(function() { if ($.browser.msie && $.browser.version.substr(0,1)<7) {
$('li').has('ul').mouseover(function(){ $(this).children('ul').show(); }).mouseout(function(){ $(this).children('ul').hide(); })
}
});
</script>
<style>
body{ background-image:url(http://openwetware.org/images/7/78/Office.png); /*壁色と壁紙設定*/ background-repeat:repeat;/*繰り返さない場合はno-repeatに変更*/ font:"メイリオ", "MS Pゴシック", Osaka, "ヒラギノ角ゴ Pro W3"; color: #333333; margin:0px; padding:0px; }
- Container
{ Background-image: url(http://openwetware.org/images/6/62/Wall4.png); width: 960px; margin: auto; }
/* Main menu */
- menu
{ width: 100%; margin: 0; padding: 10px 0 0 0; list-style: none; background: #111; background: -moz-linear-gradient(#444, #111);
background: -webkit-gradient(linear,left bottom,left top,color-stop(0, #111),color-stop(1, #444));
background: -webkit-linear-gradient(#444, #111); background: -o-linear-gradient(#444, #111); background: -ms-linear-gradient(#444, #111); background: linear-gradient(#444, #111); -moz-border-radius: 50px; border-radius: 50px; -moz-box-shadow: 0 2px 1px #9c9c9c; -webkit-box-shadow: 0 2px 1px #9c9c9c; box-shadow: 0 2px 1px #9c9c9c; }
- menu li
{ float: left; padding: 0 0 10px 0; position: relative; line-height: 0; }
- menu a
{ float: left; height: 25px; padding: 0 25px; color: #999; text-transform: uppercase; font: bold 12px/25px Arial, Helvetica; text-decoration: none; text-shadow: 0 1px 0 #000; }
- menu li:hover > a
{ color: #fafafa; }
- html #menu li a:hover /* IE6 */
{ color: #fafafa; }
- menu li:hover > ul
{ display: block; }
/* Sub-menu */
- menu ul
{
list-style: none; margin: 0; padding: 0; display: none; position: absolute; top: 35px; left: 0; z-index: 99999; background: #444; background: -moz-linear-gradient(#444, #111); background: -webkit-gradient(linear,left bottom,left top,color-stop(0, #111),color-stop(1, #444)); background: -webkit-linear-gradient(#444, #111); background: -o-linear-gradient(#444, #111); background: -ms-linear-gradient(#444, #111); background: linear-gradient(#444, #111); -moz-box-shadow: 0 0 2px rgba(255,255,255,.5); -webkit-box-shadow: 0 0 2px rgba(255,255,255,.5); box-shadow: 0 0 2px rgba(255,255,255,.5); -moz-border-radius: 5px; border-radius: 5px;
}
- menu ul ul
{
top: 0; left: 150px;
}
- menu ul li
{
float: none; margin: 0; padding: 0; display: block; -moz-box-shadow: 0 1px 0 #111111, 0 2px 0 #777777; -webkit-box-shadow: 0 1px 0 #111111, 0 2px 0 #777777; box-shadow: 0 1px 0 #111111, 0 2px 0 #777777;
}
- menu ul li:last-child
{
-moz-box-shadow: none; -webkit-box-shadow: none; box-shadow: none;
}
- menu ul a
{
padding: 10px;
height: 10px; width: 130px; height: auto;
line-height: 1; display: block; white-space: nowrap; float: none;
text-transform: none; }
- html #menu ul a /* IE6 */
{ height: 10px; }
- first-child+html #menu ul a /* IE7 */
{ height: 10px; }
- menu ul a:hover
{
background: #0186ba;
background: -moz-linear-gradient(#04acec, #0186ba); background: -webkit-gradient(linear, left top, left bottom, from(#04acec), to(#0186ba)); background: -webkit-linear-gradient(#04acec, #0186ba); background: -o-linear-gradient(#04acec, #0186ba); background: -ms-linear-gradient(#04acec, #0186ba); background: linear-gradient(#04acec, #0186ba); }
- menu ul li:first-child > a
{
-moz-border-radius: 5px 5px 0 0; border-radius: 5px 5px 0 0;
}
- menu ul li:first-child > a:after
{
content: ; position: absolute; left: 30px; top: -8px; width: 0; height: 0; border-left: 5px solid transparent; border-right: 5px solid transparent; border-bottom: 8px solid #444;
}
- menu ul ul li:first-child a:after
{
left: -8px; top: 12px; width: 0; height: 0; border-left: 0; border-bottom: 5px solid transparent; border-top: 5px solid transparent; border-right: 8px solid #444;
}
- menu ul li:first-child a:hover:after
{
border-bottom-color: #04acec;
}
- menu ul ul li:first-child a:hover:after
{
border-right-color: #04acec; border-bottom-color: transparent;
}
- menu ul li:last-child > a
{
-moz-border-radius: 0 0 5px 5px; border-radius: 0 0 5px 5px;
}
/* Clear floated elements */
- menu:after
{ visibility: hidden; display: block; font-size: 0; content: " "; clear: both; height: 0; }
- html #menu { zoom: 1; } /* IE6 */
- first-child+html #menu { zoom: 1; } /* IE7 */
/* 目次 */ div#mokuji {width: 960px; margin-left: auto; margin-right: auto; background-color: #f5f5dc}
div#mokuji h2 { background-color: # f5f5dc; font-size: 1.50em; color: #000000; line-height: 45px; padding-left: 12px; margin-bottom: 0}
div#mokuji h3 {border-bottom:solid 3px #66aa66; font-size: 1.50em; line-height: 22px; padding-left: 12px; margin-top: 30px; margin-bottom: 0; clear: both}
ol#mokuji {font-size: 1.00em;
margin-left: 0;
padding-left: 0}
/*文字の設定*/
h1{ font-family: 'Times New Roman', 'Times', serif;
font-size: 2.00em;
letter-spacing: 2px;
padding-left:10px;
margin: 0px;
}
h2{ font-family: 'Times New Roman', 'Times', serif;
font-size:1.8em;
border-left: 10px solid #000066;
border-bottom:solid 1px #000099;/*文字の下に線を入れる設定*/
width:900px;
padding-left: 5px; color:#333333; margin-top: 15px; margin-bottom: 5px; }
h3{ font-family: 'Times New Roman', 'Times', serif;
font-size:1.60em;
color:# 333333;
}
p{
font-family: 'Times New Roman', 'Times', serif font-size:1.40em;/*全体の文字サイズ*/
line-height:150%;/*全体で使う、文字と文字の行間*/
margin-left:5px;
}
p img{
float:left;
margin-top:5px; /*写真の左にスペースを空ける*/
margin-left:5px; /*写真の左にスペースを空ける*/ margin-right:10px; /:写真と文字の間隔*/ }
h5{
font-size:1.60em;
border: solid 1px #111111;
color:#ffffff;
background-color:#FFA500; line-height: 30px; padding-left:10px; margin-top: 10px; margin-bottom: 1px; }
h6{
font-size:120%;
border: solid 1px #111111;
color:#ffffff;
background-color:#006400; line-height: 30px; padding-left:10px; margin-top: 10px; margin-bottom: 1px; }
- red{
font-size:120%;
border: solid 1px #111111;
color:#ffffff;
background-color:#DC143C; line-height: 40px; padding-left:10px; margin-top: 10px; margin-bottom: 1px; }
- blue{
font-size:120%;
border: solid 1px #111111;
color:#ffffff;
background-color:#191970; line-height: 40px; padding-left:10px; margin-top: 10px; margin-bottom: 1px; }
- pop {
width: 50%; margin: 0px; float: left; }
- pop h2 {
width: 90%; margin: 0px; float: left; }
- pop p {
width: 90%; margin: 0px; float: left; }
/*topに戻る*/
- ttop {position:fixed;bottom:140px;left:auto;margin:0 0 0 960px; /* マージン:上 右 下 左 */width:41px;height:390px;background:url(http://openwetware.org/images/e/ed/Cellgate.gif) no-repeat left bottom;}/* IE6以下用 */* html #ttop {margin:0 0 -390px 0;position:relative;bottom:490px; /* 上で設定した ttopの高さ390px+下100px */left:960px;}#ttop:hover {background:url(http://openwetware.org/images/a/a7/029.png) no-repeat left bottom;/* 画像の高さによって適当に調整 */}a.page_top {display:block;width:41px;height:390px;}
</style>
</head>
<body>
</body>
</html>
Aim of Simulation
Molecular robots works in meso-scale (from nm to sub-micro meter). In the meso-scale, characters of each molecule and cooperative movement of molecules could not be ignored. Without calculation of potentials or molecular dynamics simulations, it is difficult to predict the behaviors of the molecules in this scale. Thus, we calculated potentials to confirm the GATE effect, and simulated molecular dynamics of DNAs to strength reliability of our design.
Numerical Analysis of Electrostatic Potential
Electric potential of the GATE was calculated inside and outside the GATE.
The phosphate groups in the backbone of DNA are negatively-charged. Because the GATE is made by DNA origami, the GATE has the Coulomb force.
Model of DNA
A point-charge model is applied to DNA model. Each phosphate of a nucleotide was converted into one electric beads, which has elementary electoric charge (1.602176565 x 10^−19 [C]). In DNA helix, negative charges appear along the axis of the double helix every 10.4 base pairs.
Debye–Hückel equation was used to calculate electric potential. Electric potential of each point around the GATE was deduced from summation of all the Electric Potential for every phosphate presented on DNA.
Debye–Hückel equation:

reference: Debye length

Following GIF animation shows the scheme of a point-charge model and potential calculations.
(It takes about 7 seconds to watch one cycle of the GIF animation)

Results
Electric potential was calculated by using C language.
Under our conditions, the target DNA has 25 electric beads.
All calculation were performed under these condition: Temperature 298[K], Na+ 50mM.
Electric potential from the top of view of the GATE
The following figure shows electric potentials between the target DNA and the GATE from the top of view of the GATE.
The electric potentials were standardized by thermal energy, KBT (KB; Boltzmann constant).
Potential energies were shown by a heat map.

Potential energy along axis indicated by the arrows are shown as the following figure.
Together, electric potential is too high for the target DNA to enter inside the GATE.

Electric potential at the center of hole in the GATE
The difficulty to go through inside hole of the GATE was also indicated by following figures.
The next figures shows electric potential at the center of hole in the GATE.
Potentials were calculated along the axis indicated by the red arrow.
Blue lines shows electric potential in the case of 1.5 fold radius of the GATE.

By the figure, we concluded
i ) Our designed size is suitable size for the GATE function
ii) Enlarging radius of the GATE decreases electric repulsion effect
Hybridization energy of Porters overcomes electric potential of the GATE
We expected the hybridization energy of the Porters overcomes the inhibition of entrance of the GATE by electric repulsion.
The Gibbs energies of hybridization was calculated by neighbor-joining methods.
The result of Gibbs energy of the fixed Porter were defined as the maximum length of each form of Porter. For examples, Porter 1 has three forms: Stretched form, 1 loop form, and 2 loop form. In this Porter 1 case, we defined Porter 1 has three Gibbs energy according to the hybridization state. Since the maximum lengths of each form were different, the minimum energy of possible length was selected.
Gibbs energies were calculated at the center of hole in the GATE.
The following figure shows the calculated energy of Porters and Toehold DNA used as controls in our project.


The Gibbs energies by the Porters shown above were summed with electric potential of the GATE.
The summation of energies were calculated at the center of hole in the GATE.
The result was shown in the next figure.

The results of calculation indicate that the outside Porter can catch the target DNA, and inner Porter can pull in the GATE step by step. On the other hand, short DNA like the toehold DNA we called n this study cannot catch the target DNA.
MD Simulation
To further strengthen feasibility of our design, we examined the capturing mechanism and the effectiveness of our structure “CELL GATE" by molecular dynamics (MD) simulation.
DNA Model

For simplicity, a course-grained DNA model was used in our simulation. One DNA nucleotide was represented by one bead in the model and each bead can be hybridized with a complementary bead.
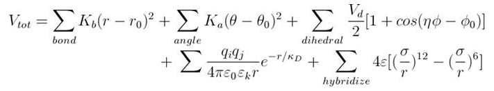
The potential energy of the system includes 5 distinct contributions.

The first three terms are intramolecular interactions, bonds, bond angles, and dihedral angles. These terms are important for maintaining structure. In order to express the “tether like structure”, only bond interactions are considered in our DNA model.
And the latter two terms are non-bonded interactions. Coulomb interactions are taken into account using the Debye-Huckel approximation which enables to internalize counter-ions contribution.
Parameters of these potentials were fit to the reference literature ; Thomas A. Knotts et al. A coarse grain model of DNA .
The force on bead i is given by a Langevin equation

The first term donates a conservative force derived from the potential Vtot and the second is a viscosity dependent friction.
The third term is a white Gaussian noise and effects of collision with solvent molecules which causes brownian motion are internalized in this term.
Langevin equation is integrated using a Velocity-Verlet method.
Verification of the Coarse-grained model: Toehold displacement of dsDNA

In order to test the model, here we carried out a simulation of Toehold displacement between two strands.
Toehold strands are modeled according to designs of the experiment section.
Length of strands and simulation condition were as follows:
Target strand / Toehold A / Toehold B : 16nt / 9nt / 13nt
Temperature : 300K
Time-step / simulation length : 0.01ps / 100ns
Ion concentration : 50mM Na+
Results
|
Provided ID could not be validated. <html></html> |
|
Movie1 : MD simulation of toehold strand displacement |
Movie 1 shows the trajectory of each strand from the simulation. The target strand moves from Toehold A strand to Toehold B strand which are fixed on the field. This result agrees with the energy gradient. The result supported our coarse-grained DNA model is feasible.
Comparison of capture ability
One of constructional features of our structure ”CELL-GATE”is the use of a novel strand displacement method, called porter system.
By comparing our porter strand to toehold strand, the most popular method for strand displacement, we looked at the effectiveness of our structure in terms of it's strand capturing ability.
Model and Method
According to the design of the experiment section, we modeled the porter strand and the toehold strand as shown below.

Hex-cylinder is represented as the assembly of fixed electrically-charged mass points.

Simulation was carried out at the following condition:
Temperature : 300K
Ion concentration : Na+ 50mM
Box size : 20nm×20nm×20nm (periodic boundary condition)
Time-step / simulation length : 0.01ps / 10ns
Results and Conclusion
|
Provided ID could not be validated. <html></html> |
Provided ID could not be validated. <html></html> |
|
|
Movie2 : MD simulation of porter strand |
Movie3 : MD simulation of toehold strand |
Movie2 and 3 shows the result of each simulation, porter-target and toehold-target.
We note that this simulation was carried out under a periodic boundary condition, where the size of the simulation box is 20nm×20nm×20nm. Then, the distance between the target strand and the Hex-cylinder is maintained virtually constant.
One of the advantages of the porter strand is shrinking ability. The porter strand hybridizes to the target making a loop which makes it possible to extend the strand length without changing the final structure's length.
Results obtained from this simulation show that the porter strand can catch the target strand exists outside of the Hex-cylinder and hybridize completely while the toehold strand never hybridize to the target strand in simulation time.
We run additional 5 simulations for each capturing mechanism under the same conditions (NOTE: random seeds were different) and very similar results were obtained. Thus, the simulation results are very feasible under our model.
By considering results of electrostatic potential calculation around the hex-cylinder and MD simulation, it is clear that the electrostatic field prevents the entrance of DNA strands into the Hex-cylinder and the porter strand helps it to get into the cylinder.
Therefore, we concluded that our novel porter strand provides a high capture ability to our system “CELL-GATE”.
References
1. Thomas A. Knotts et al. A coarse grain model of DNA , J.Chem.Phys 126,084901(2007)
2. Carsten Svaneborg et al. DNA Self-Assembly and Computation Studied with a Coarse-Grained Dynamic Bonded Model, DNA 18,LNCS 7433, pp.123-134, (2012)
3. Xhuysn Guo & D.Thirumalai, Kinetics of Protein Folding: Nucleation Mechanism, Time Scales, and Pathways, Biopolymars, Vol.36, 83-102 (1995)
4. GROMACS manual ( http://www.gromacs.org/ )
5. Cafemol manual ( http://www.cafemol.org/ )