BME103:T130 Group 12 l2
| Home People Lab Write-Up 1 Lab Write-Up 2 Lab Write-Up 3 Course Logistics For Instructors Photos Wiki Editing Help | ||||||||||||||||||||||||||||||||||||||||||||
OUR TEAM
LAB 2 WRITE-UPThermal Cycler EngineeringOur re-design is based upon the Open PCR system originally designed by Josh Perfetto and Tito Jankowski.
Below is the top part of the general body of the PCR machine. It will be altered so buttons can be placed next to the LED screen. Key Features Design changes on the top body part will include changing the layout so that it may fit input buttons that will be connected and programmed internally later. These buttons will allow an individual to set up cycling details and will remove the need of an external computer to run the device.
For the lid design For the top body part
ProtocolsMaterials
A polymerase chain reaction (PCR) is based on the enzyme DNA Polymerase's ability to synthesize complementary DNA strands. Through a series of steps involving polymerase breaking apart a DNA strand and then synthesizing a specified complementary piece, a PCR machine is able to isolate and amplify a desired strand of DNA. Steps to Amplify a Patient's DNA Sample 1. PCR is a process that uses controlled temperature changes to make copies of DNA. Heat (about 95°C) separates double-stranded DNA into two single strands; this process is called denaturation. 2. "Primers", or short DNA strands, binds to the very end of the complimentary sequence that is being replicated. This step is called annealing, which takes place between 40°C and 65°C. The temperature that we use for this is 57°C. 3. Once the annealing process is done, the temperature is raised to about 72°C and DNA polymerase then extends from the primers copying the DNA. 4. PCR amplifies a segment of a DNA sequence from the original DNA strand. In the end, there will be two new DNA strands identical to the original strand. Components of PCR Master Mix • A modified form of the enzyme Taq DNA polymerase that lacks 5´→3´ exonuclease activity. • dNTPs • MgCl2 • Colorless Reaction Buffer (pH 8.5)
1. With a permanent marker, the transfer pipettes were numbered at the bulbs so that one pipette was used per sample. With the permanent marker, the Eppendorf tubes were numbered at the top. 2. Each sample was transferred separately (using one pipette per sample) into an Eppendorf tube containing 400 mL of buffer. This tube was labeled with the number of the sample. The entire sample was transferred into this Eppendorf tube. The pipette with the corresponding sample number was used to place the sample onto the fluorescent measuring device. 3. The specially labeled Eppendorf tube containing SYBR Green I was transferred using the specifically labeled pipette. Only two drops were placed on the first two centered drops as seen on the video. 4. The diluted sample was then taken and two drops were placed on top of the Syber Green I solution drops. 5. The light going through the drop was aligned, as seen in the video. 6. After setting up the Flourimeter and the samples, the Smartphone’s photo settings was setting to the ones listed:
7. The flourimeter was placed into the light box. 8. The smartphone operator had taken as many pictures using the light box as he/she wants. Their goal is to take pictures clear enough so ImageJ can take data from the images. 9. Once they have taken enough photos of that sample, the flourimeter was taken back to the sample preparer to prepare the next sample. 10. Now the sample was either rerun again or that sample and its pipette was discarded. The SYBR Green I labeled pipette was kept. 11. This procedure was then repeated for all the samples. 5 samples can be run per glass slide. 12. As the last sample was run, the water from the scintillation vial as a blank was run using the same procedure as with the other samples. 13. ImageJ was used to analyze the images taken by the smartphone. To upload the image onto ImageJ, the ANALYZE tab was clicked and SET MEASUREMENTS was chosen. AREA INTEGRATED DENSITY and MEAN GREY VALUE were selected from the menu. 14. The MENU tab was selected and the COLOR tab was chosen, the function SPLIT CHANNELS was used; three separate files were then created. SYBR GREEN fluoresces green, sothe image name with "green" next to it was used. 15. The oval selection was used to draw an oval around the green drop. Then, the MEASURE tab was selected from the ANALYZE tab, and the sample number and the numbers measured from the image were recorded. 16. To get the readings from the background of the image, another oval of approximately the same size was drawn in the background green image and the MEASURE tab was selected from ANALYZE tab. The sample number and the numbers measured from the image were recorded , this data was labeled as "background". 17. The measurements were saved in an excel file by clicking SAVED AS from the FILE tab. 18. The INTDEN was collected for the positive and negative controls and the patient samples. 19. The DNA μg/mL was calculated with this equation: 2*INTDEN of sample/INTDEN of DNA Calf Thymus. Research and DevelopmentBackground on Disease Markers Human Immunodeficiency Virus, or HIV is a horrible disease and is running rampant worldwide. HIV is especially prevalent in underdeveloped countries. This virus isn't limited to undeveloped countries however, as there are also many people with HIV in developed countries such as the United States. This disease affects chromosome 17 and the genome build 36.3. After researching the SNP for HIV, which is rs1024611, the mutation in the sequence was discovered to be ATA. So then a primer to be used along side a PCR was developed. http://www.ncbi.nlm.nih.gov/projects/SNP/snp_ref.cgi?rs=1024611
The primer that can be used to detect HIV is CGTCTGTCGATAGTGAAAGG and its reverse GCAGACAGCTATCACTTTCC. A diseased allele will only give results because of the way the PCR works and how the primers will attach. If the sample has the disease then the primer will attach to the DNA and as the PCR goes through its cycles there will be a multitude of the same DNA strand with the SNP rs1024611. If the sample does not have the disease allele then there will be no interaction with the DNA and the primer, therefore there will be no change from the original and the end results.
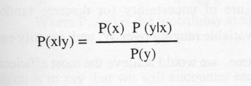
The primer will only bond to the diseases allele because of the specific genetic pattern. For each cycle the amount of binded primers will double creating an immense amount of the strips of DNA. Bayesian Stats The following equation can be used to find the Bayesian statistics:
| ||||||||||||||||||||||||||||||||||||||||||||






