Alyssa N Gomes Week 4 Journal

From OpenWetWare
Jump to navigationJump to search
Alyssa N Gomes

MATH 388-01: Survey of Biomathematics Loyola Marymount University

Assignments       Individual Journal Page        Shared Journal Page            

Week 4 Assignment

This was the given assignment:
Week 4 Individual Journal Assignment

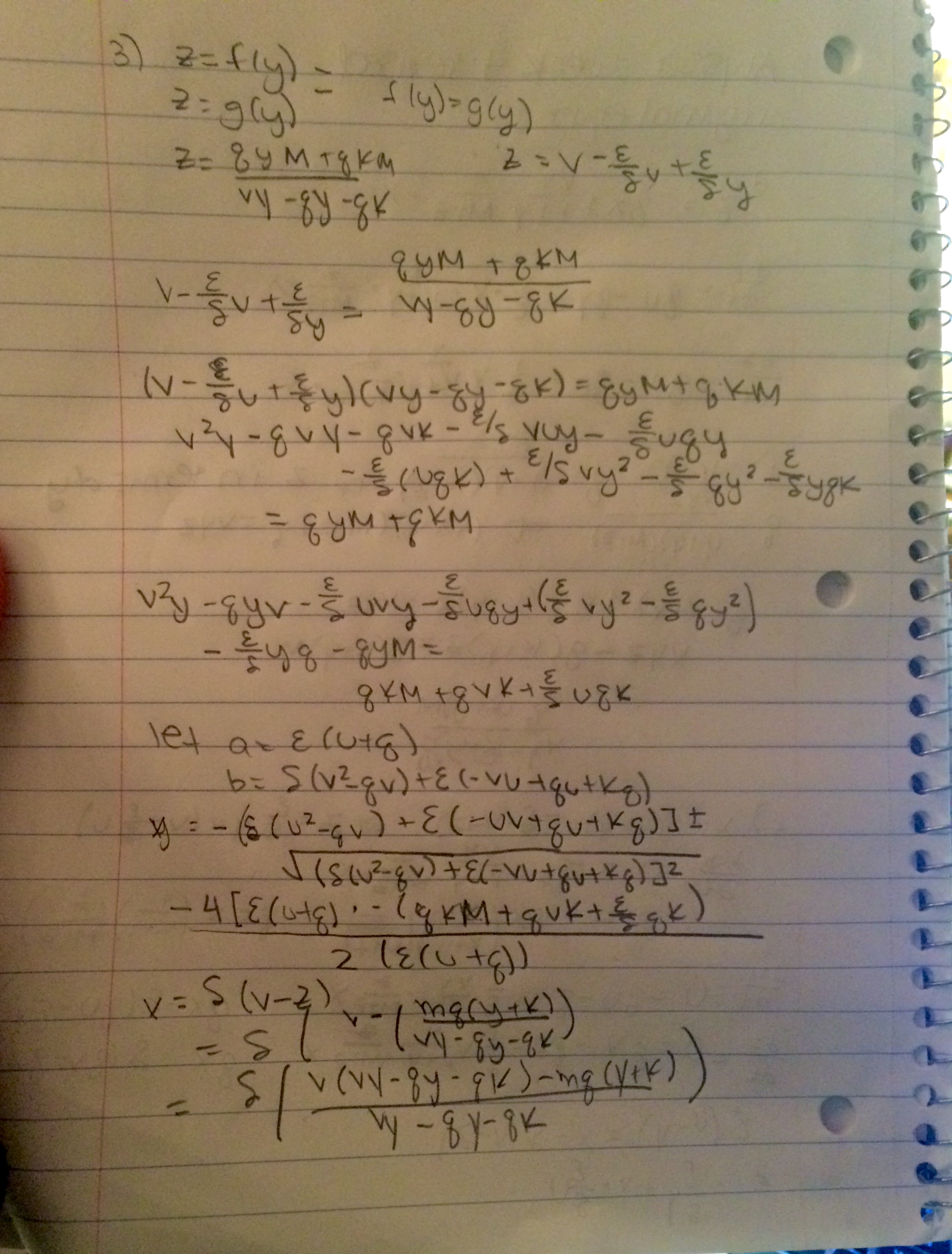
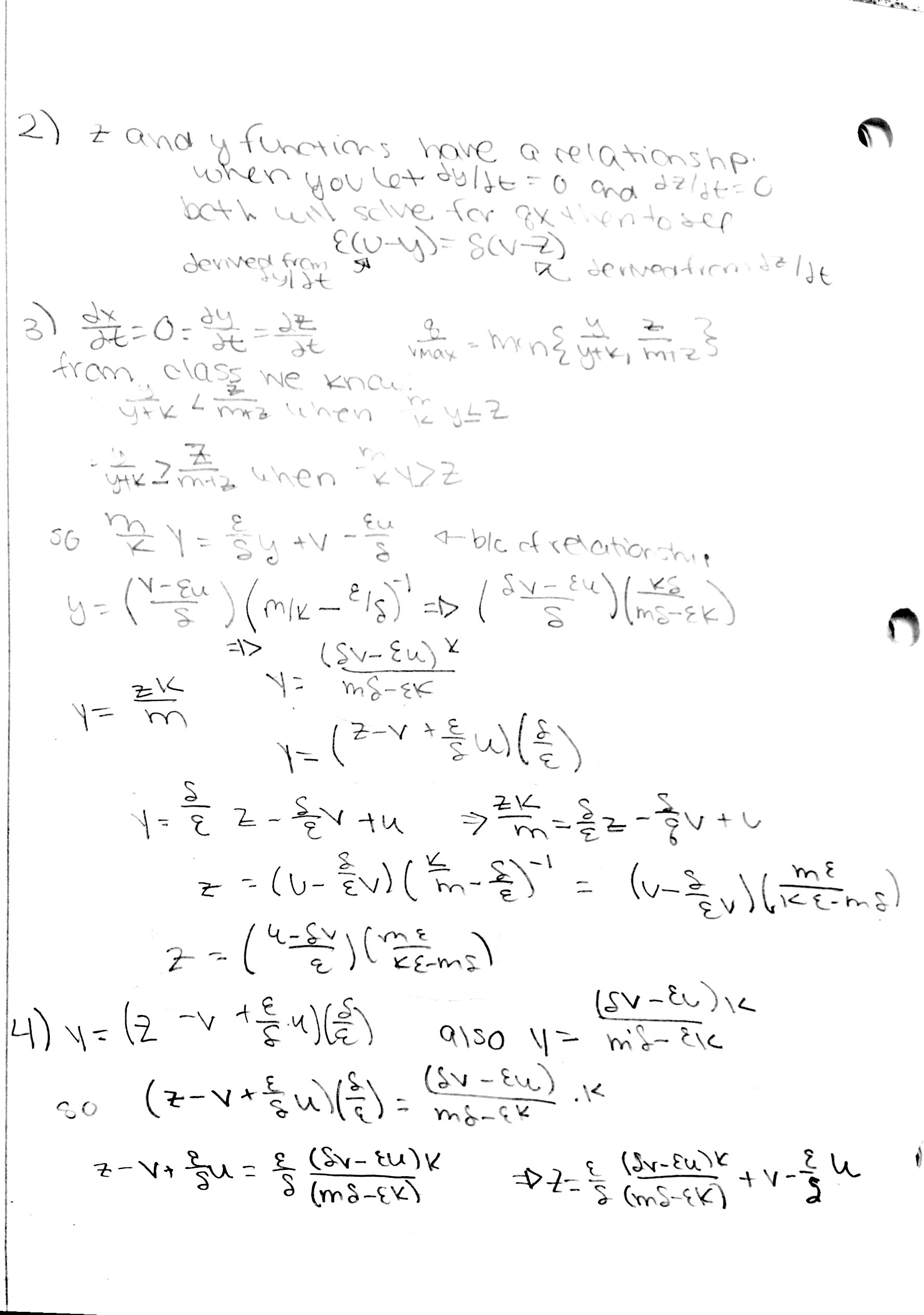
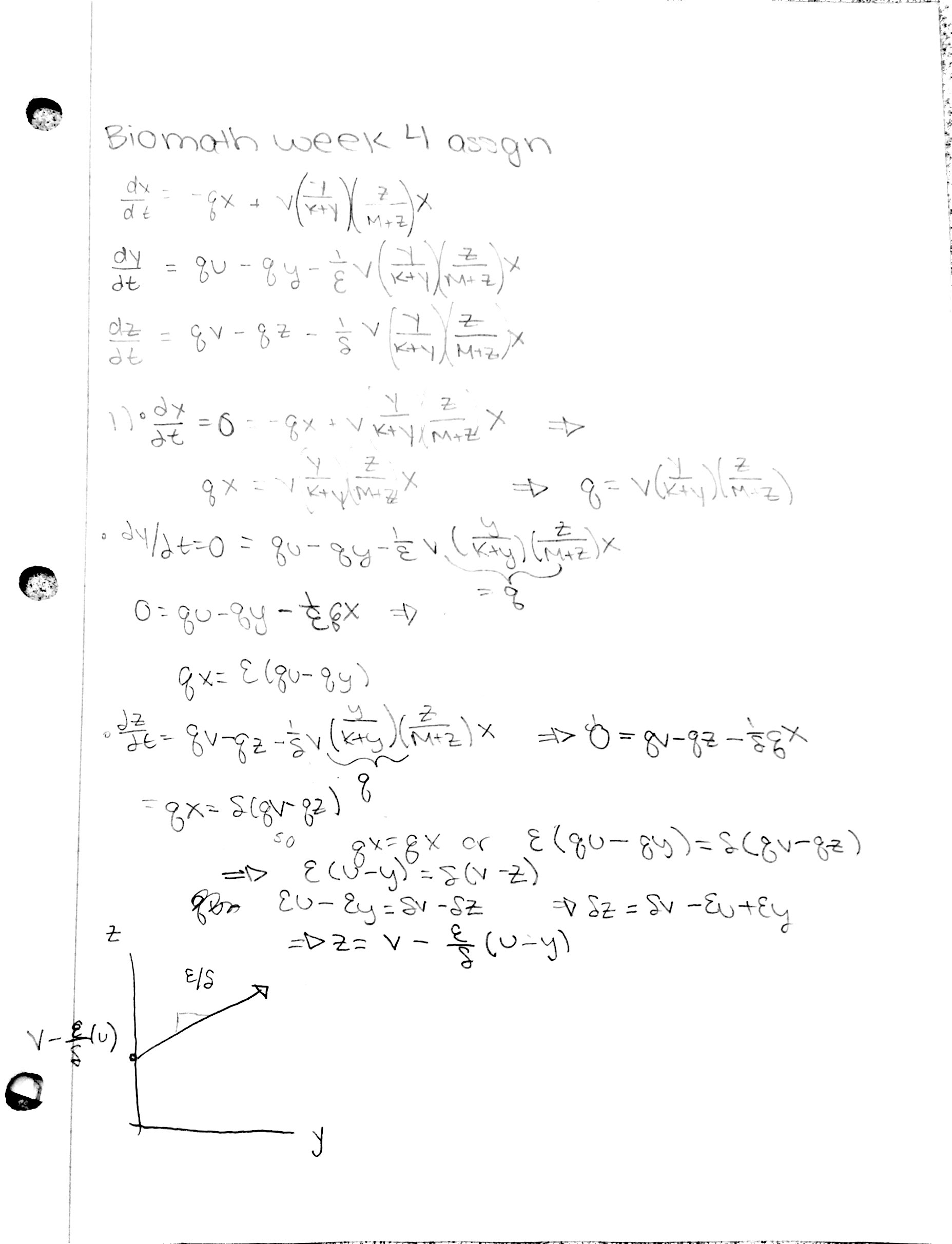
The 3 links below link to my hand-written responses to the assignment:
File 1/3
File 2/3
File 3/3


The 3 links below link to my REVISED hand-written responses to the assignment
File 1/2

File 2/2