AJW Algebra

From OpenWetWare
Jump to navigationJump to search

Week 4 Work

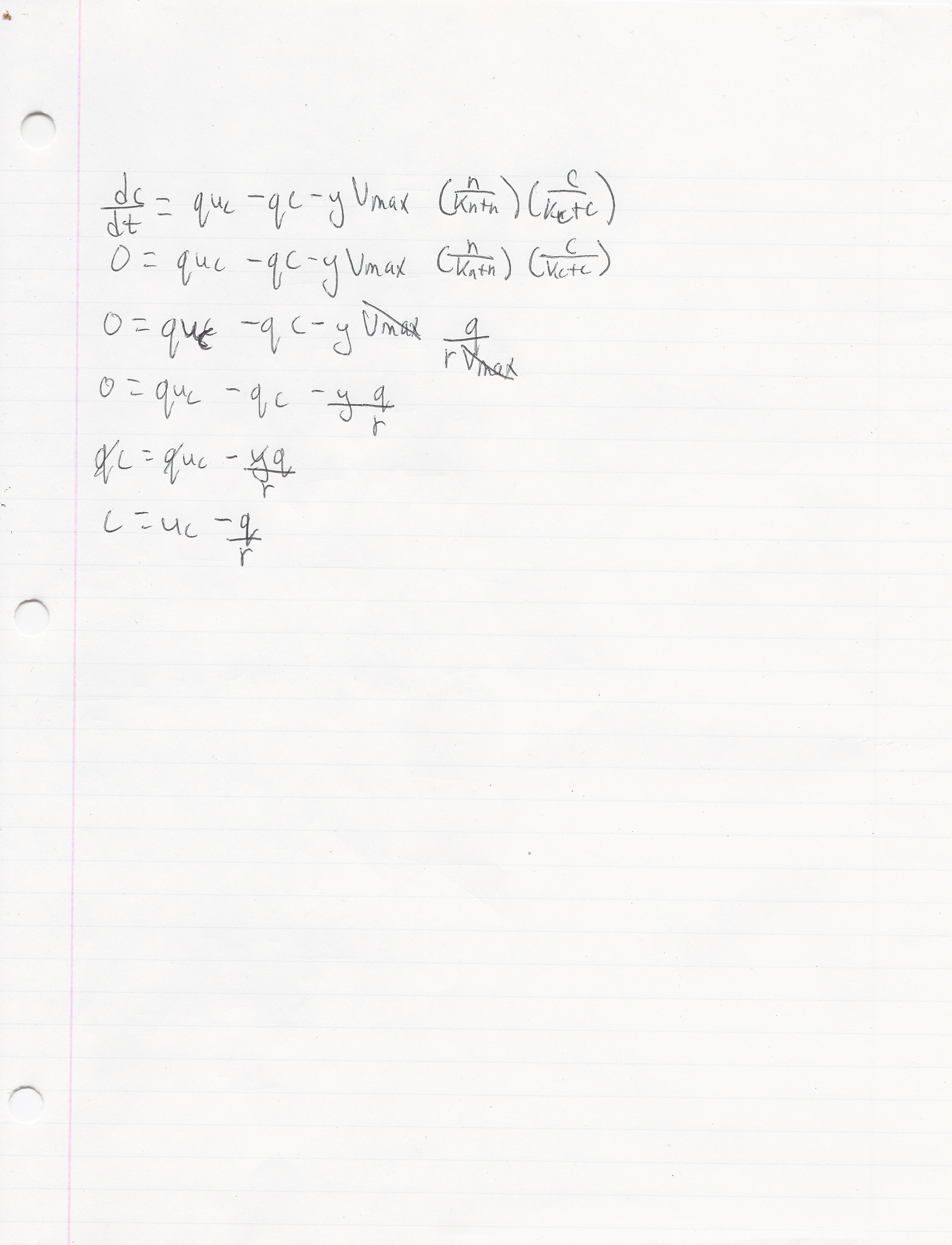
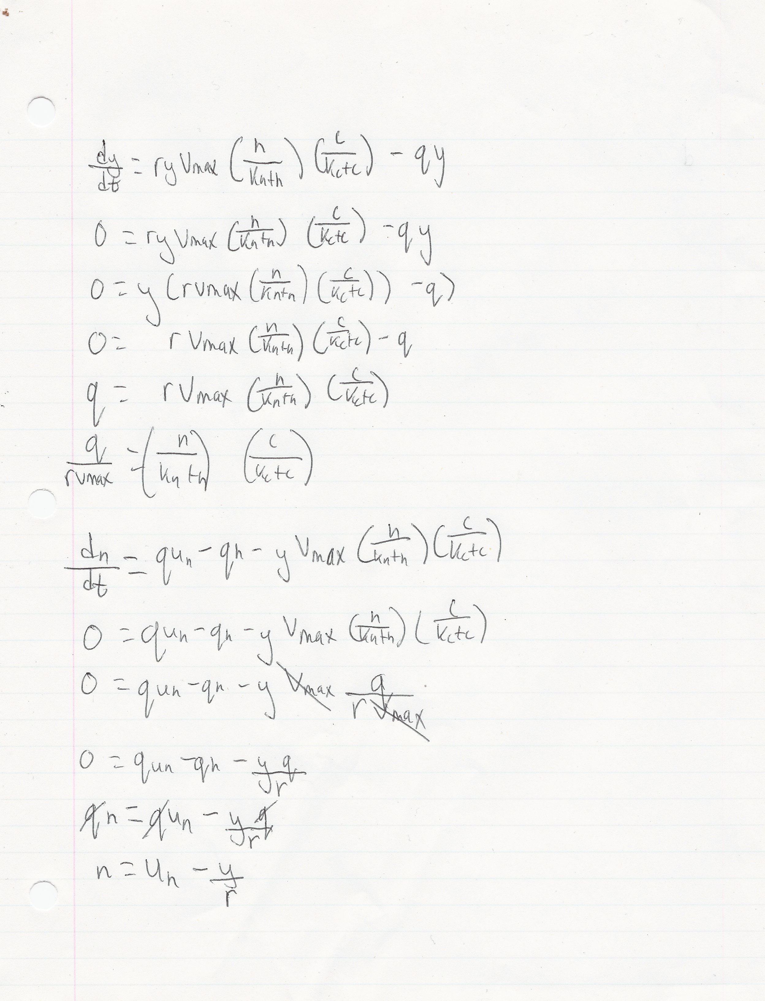
I worked out many different ways of attempting to solve for the constants. However, after multiple tries, this is the farthest I was able to get. I feel that there may be a more "clean" way of doing this because I am at an algebraic point that I do not know how to proceed.