Endy:F2620/Transfer Curve/Data

From OpenWetWare
Revision as of 21:55, 16 August 2006 by Barry Canton (talk | contribs)
Jump to navigationJump to search
Figure - Average time evolution of the transfer curve of F2620 on pSB3k3 in MG1655. The surface shown is the mean of 6 clones. With +10min offset axis


time evolution of the transfer curve of F2620 on pSB3k3 in MG1655 for six different colonies - not recalibrated nor updated yet
Average time evolution of the transfer curve of F2620 on pSB3k3 in MG1655. The surface shown is the mean of 6 clones.
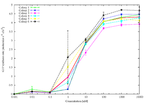
Individual transfer curves of the 6 clones at a single time point. Low/High Error bars
Individual transfer curves of the 6 clones at a single time point. Standard Deviation Error bars