Biomod/2011/Caltech/DeoxyriboNucleicAwesome/SPEX Results: Difference between revisions
| Line 85: | Line 85: | ||
| 27 | | 27 | ||
|} | |} | ||
Both models fit well with each other in estimating the average rate of branch migration on the origami. An interesting fact is that shorter tracks seemed to 'slow down' branch migration, which could be attributed to the differences in branch migration kinetics among different strands. As both models did not involve kinetics of branch migration, we are currently in the process of refining our models using chemical reaction networks (CRN). | |||
=References= | =References= | ||
Revision as of 06:06, 3 November 2011
|
Saturday, February 14, 2026
|
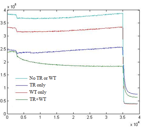
SPEX ResultsAs discussed in SPEX Experimental Design, two sets of experiments were conducted to verify the random walking mechanism. The first set was performed to detect potential leak reactions in the system, while the second set of experiments were used to verify the random walking mechanism. Detection of Potential Leak ReactionsTo verify that the walker walks on the origami using the intended mechanisms, we set up control groups where either tracks (TR), except for the one that the walker is bound to, or walker triggers (WT), or both, were missing in the reactions. Walkers are not expected to perform random walking under such conditions. As shown in Figure 1, no decrease in fluorescent signals were observed unless both tracks and walker triggers were added into the system. Hence potential leak reactions are negligible. Random Walking with Different Starting PositionsFigure 1 shows the original unnormalized SPEX data. The walkers reached their destinations faster on shorter tracks.But this is not enough to show that the walkers were randomly walking on the surface of origami, because there was 5-fold excess of tracks in solution that the walker can strand displace onto from origami. We refer to this hypothetical process as 'space walking'. To test for this we designed a playground without any probes except for the one on the starting position of the walker (SP10) and that of the walker goal,but with 5-fold excess of tracks in solution, and we compared this to results of the walker on the regular playground at different starting positions. As can be seen from the graph, space walking was the slowest process. As the rate of SW depends on the concentration of free floating tracks as well as the concentration of origami, the effect of SW on the overall rate of fluorophore quenching can be reduced by diluting free floating tracks and origami (data not shown). It was shown that the random walks all went to around 50% completion instead of 100%. This phenomenon could be attributed to malformed origami, misplanted tracks on the origami, or failure in planting walkers/walker goals. This graph was normalized so the point at which the walker trigger was released starts at 1, and the point at where the fluorophores are assumed to be fully quenched is 0 (Figure 2). A similar trend was obtained: the rate of quenching was higher when the distance between starting point and walker goal was decreased (Figure 3). This is characteristic of a two dimensional random walk, but could not be used to confirm random walk, as a random walk is defined to be unbiased. Hence Matlab simulation and a mathematical model were employed to verify the occurrence of random walking on the origami. Data AnalysisMatlab SimulationWe used a stochastic MATLAB simulation to estimate half-completion times for walkers starting on truncated tracks of varying lengths:
This data, along with the completion time formula generated via mathematical analysis of the track, can serve as controls for the random walk SPEX data. Mathematical Formulae
Normalized SPEX data for three different lengths of tracks was fitted to their respective random walk formula (Figure 2-4) by varying the time taken from one column to the adjacent one. It was found that experimental data can fit well with the theoretical curves within the range of fluorescent noises. Since the model proposed an unbiased random walk with equal forward and backward movement, it is highly likely that DNA walkers can walk on the origami in a truly random manner. Furthermore, the rate of random walk (time per step) was estimated using the half completion time in each situation. It was found that walkers needed 10 seconds to take one branch migration on the origami with longest track, 16 seconds on origami with medium length track and 27 seconds on origami with shortest track. However, the rate of branch migration should be the same regardless of the length of tracks. We are in the progress of collecting more data for further analysis. Taking the average of these three values ,the rate of branch migration in our case is calculated to be 18 seconds per branch migration, or 0.3 nm/s. This fits with the reported average speed, which was of the order of 0.1 nm/s [1]. ConclusionWe made a comparison between the models from Matlab simulation and random walk formulae. Results are summarized in the table below.
Both models fit well with each other in estimating the average rate of branch migration on the origami. An interesting fact is that shorter tracks seemed to 'slow down' branch migration, which could be attributed to the differences in branch migration kinetics among different strands. As both models did not involve kinetics of branch migration, we are currently in the process of refining our models using chemical reaction networks (CRN). References[1] Wickham, S. F. J., Endo, M., Katsuda, Y., Hidaka, K., Bath, J., Sugiyama, H., & Tuberfield, A. J. (2010). Direct observation of stepwise movement of a synthetic molecular transporter. Nature Nanotechnology, 6, 166–169.
|

