20.181/Lecture7
quick comment on upPass

- not necessary to find the best tree (you won't be tested on it)
- but here's the correct way to do it:
- (from Peter Beerli's website)
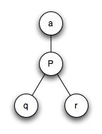
definitions
- Fx: the upPass set we want to get to
- Sx: the downpass set we got to
- ancestor = a
- parent = p, node we're looking at
- children = q,r
Revisit overall strategy
- Although up until now we've always started with a tree of known topology, a lot of times you wouldn't know the tree topology beforehand
for all possible trees:
- compute score (tree)
return best tree
Scoring functions
- max parsimony (fewest mutations)
- generalized parsimony (Sankoff: weighted mutation costs)
- Maximum Likelihood
ML intro
- examples of a ML estimator:
- for normally distributed random var X, X(bar), the mean of the data you observe, is a ML estimator of the mean of the distribution they were drawn from
- A best fit line thru data is a ML estimator.
Probability Refresher

total area of a box = 1
p(A)= 0.3 , p(B)= 0.3
p(A,B)= 0.1
p(A|B)= 0.1 / (0.1+0.2) = 1/3 = p(A,B) / p(B)
p(B|A) = 0.1 / (0.1+0.2) = p(A,B) / p(A)
With a little manipulation we can derive Bayes' Rule:
p(A|B) = p(B|A) * p(A) / p(B)
ML in trees
- We are looking for the best tree, given some data. What is the best tree T given the data D?
- p(T|D) is what we want to maximize
- Not obvious how we want to do that... use Bayes Law to rearrange into something we can intuitively understand
p(T|D) = p(D|T) * p(T) / p(D)
- p(D) is a constant ... we don't have to worry about it
- What is p(T), the a priori probability of the tree ?
- Well, without looking at the data, do we have a way of saying any tree is more likely than another one if they don't have any data associated with them ?
- No... not really
- So what we're left maximizing is just p(D|T) and that sounds like a familiar concept!
NOTE: Tree now consists of topology AND distances We ask, what is the probability of each mutation occuring along a branch of a certain length? What is the probability that they ALL occurred, to give us the sequences we see today?

p(D|T) = p(x->A|d_1) * p(x->y|d_2) * p(y->G|d_3) * p(y->G|d_4)
p(A U B) = p(A) + p(B) - p(A,B)
p(A <intersect> B) = p(A)*p(B)
- We treat all of these mutations along the different branches as independent events (that's why you multiply the probabilities, because all the events have to happen independently.)
Jukes-Cantor
- based on a simple cost "matrix"
- probability of changing from one particular nucleotide to another particular nucleotide is 'a'
- probability of any nucleotide staying the same is '1-3a'
if x == y :
- [JC eqn you'll derive in the hw]
if x != y :
- [JC eqn you'll derive in the hw]
Evolutionary Model
gives us likelihood of (D|T) (need branch lengths)
downPass for ML
- compute L(p|q,r,d)
q , r = likelihood of the two subtrees, d are the distances to them