File:Clements H5P1varZ2.jpg
From OpenWetWare
Jump to navigationJump to search
Size of this preview: 530 × 600 pixels. Other resolution: 944 × 1,068 pixels.
Original file (944 × 1,068 pixels, file size: 64 KB, MIME type: image/jpeg)
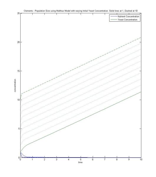
Loyola Marymount University BIOL 398 image for homework number 5
File history
Click on a date/time to view the file as it appeared at that time.
| Date/Time | Thumbnail | Dimensions | User | Comment | |
|---|---|---|---|---|---|
| current | 05:03, 14 February 2011 | 944 × 1,068 (64 KB) | James C. Clements (talk | contribs) | Loyola Marymount University BIOL 398 image for homework number 5 |
You cannot overwrite this file.
File usage
The following page uses this file: