File:4-30 control field.png
From OpenWetWare
Jump to navigationJump to search
Size of this preview: 770 × 600 pixels. Other resolution: 904 × 704 pixels.
Original file (904 × 704 pixels, file size: 27 KB, MIME type: image/png)
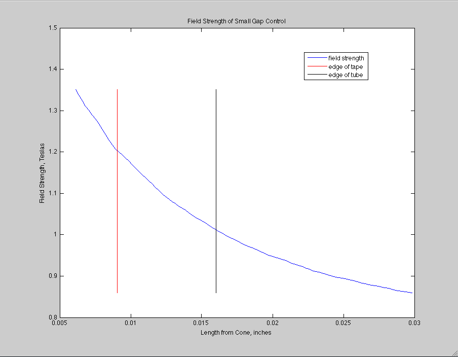
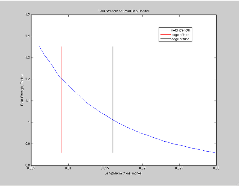
The simulated field in the neodymium magnetic yoke, measured in Tesla. The data was created by FEMM, and analyzed in MATLAB. Between the left side of the graph and the red line is the area representing where liquid would be present in a flow cell. The area to the right of the black line represents where the liquid would be in one of the thin walled micro-centrifuge tubes.
File history
Click on a date/time to view the file as it appeared at that time.
| Date/Time | Thumbnail | Dimensions | User | Comment | |
|---|---|---|---|---|---|
| current | 21:08, 30 April 2010 | 904 × 704 (27 KB) | Brian P. Josey (talk | contribs) | The simulated field in the neodymium magnetic yoke, measured in Tesla. The data was created by FEMM, and analyzed in MATLAB. Between the left side of the graph and the red line is the area representing where liquid would be present in a flow cell. The are |
You cannot overwrite this file.
File usage
The following page uses this file: